平成14年2月10日
[流れ星]
第91回数学的な応募問題解答
<解答募集期間:1月16日〜2月10日>
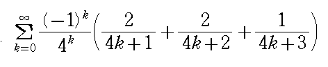
[交代級数の和(2)]
前回に続き、次のような無限級数の和を求めています。
今回は、必要な関数は見つけて、考えてください。

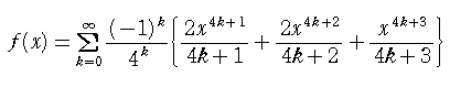
今日は、1月23日です。ここで、ヒントになる関数を言います。微分してください。

皆さん、考え方がわかったら、全部でなくていいですから、とペンネームを添えて、メールで送ってください。待っています。
今回、募集期間を長くしたのは、月末に修学旅行で、2泊3日、東京市内見物とディズニーシーへの予定だからです。
NO1<KASHIWAGI>さんからの解答 1月26日18時01分 受信 2月10日更新
16日から5日間程考えたのですが、関数を見つけることができませんでした。
それであきらめておりました。ところが本日開くとヒントがあるではないですか。
誘導に素直に従い解いてみると、うーん意外と簡単なのですね。しかし、自分の
数学的センスのなさを痛感させられました。
f(x)をヒントのように置き、微分し、kに数値を代入すると、
f’(x)=(x2+2x+2){1−x4/4+x8/42−x12/43+―――}
後ろの括弧内は公比−x4/4の無限級数であるから、以下の様に書ける。
f’(x)=(x2+2x+2){1/(1+x4/4)
}
ところで1/(1+x4/4)=4/(x4+4)=4/(x2+2x+2)
(x2−2x+2)
であるから、
f’(x)=4/(x2−2x+2)=4/{(x−1)2+1}
f(x)はf’(x)を積分したものであり、求めるものはf(1)であるから、
f(1)=∫104/{(x−1)2+1}dx
ここでx−1=Xとおくと、Xは−1から0の値をとるから、
f(1)=∫0−14/{X2+1}dX=4〔tan−1X〕0−1=4〔0− (−π/4)〕=π
以 上.
<水の流れ:コメント>全くこちらの予定していた解法と同じです。ありがとうございます。
![]()