平成31年2月17日

[流れ星]

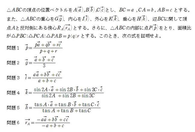
    第370数学的な応募問題

    <解答募集期間:2月17日〜3月17日>

[三角形の五心]

  高校の総合学習で扱った問題です。

zu370

 

皆さん、問題や質問に答えてください。一部でも構いませんから、解答とペンネームを添えて、メールで送ってください。待っています。