令和2年2月23日
[流れ星]
第382回数学的な応募解答
<解答募集期間:1月19日〜2月16日>
[2020年の問題]
「ジョーカー」さんから、前回、西暦2020年に因んだ問題が寄せられました。

NO1「早起きのおじさん」 01/23 18時28分 受信 更新 2/23
2020年に因んだ問題 解答 早起きのおじさん
●先ず、準備をします。
無理関数
を整関数に展開します。
![]()
とすると、
![]()
![]()
・・・
よって、
![]()
さて、
とします。
![]()
![]()
・・・
よって、
![]()
![]()
すると、

![]()
●44×44=1936、45×45=2025です。
(1)
![]()

小数部分を調べます。

![]()
なので、小数部分は、
![]()


![]()
![]()
![]()
![]()

黄色の部分の小数に、青の部分の小数は大きな影響を与えないので、答えは、2019です。
(2)

の小数部分は、
です。

![]()
![]()
![]()
![]()
一方

の小数部分は、
です。

![]()
![]()
![]()
![]()
以上から、
の小数部分の方が大きいです。
(3)
2重根号は、次のように外します。
![]()
(このときの大小は逆でも)
です。
さて、
![]()


2020と2021は、そんなに変わらないので、積が
となる等しい2数を小さめに見積もると、
44・2020です
和は、2×44・2020=88・2020(>4・2020) なので実数の範囲では外せません。
(4)
場所を表すのに、1の位から(何)桁目で表すことにします。

掛け算の復習をします。
![]()
次の桁に繰り上がる場合は、{1、2、3}の3通りです。
●元の数の(2020)桁のところは、繰上りがないので{1、2}のどちらかです。
・元の数の(2020)は、1ではありません。
1だとすると、答えの(2020)は、{4、5、6、7}のどれかです。
4のとき、元の数の(1)が4となり、4×4=16、で不適です。
5のとき、元の数の(1)が5となり、5×4=20、で不適です。
6のとき、元の数の(1)が6となり、6×4=24、で不適です。
7のとき、元の数の(1)が7となり、7×4=28、で不適です。
以上からです。
・元の数の(2020)は、2です。
2のとき、答えの(2020)は、{8、9}のどれかです。
8のとき、元の数の(1)が8となり、8×4=32、で適します。
9のとき、元の数の(1)が9となり、9×4=36、で不適です。

■元の数の(2020)は、2です。
●元の数の(2019)は、繰上りがないので{1、2}のどちらかです。
・2ではありません。
2だとすると、答えの(2019)は、{8、9}のどれかです。
8のとき、元の数の(2)が8となり、8×4+3=35、で不適です。
9のとき、元の数の(2)が9となり、9×4+3=39、で不適です。
・元の数の(2019)は、1です。
1のとき、答えの(2019)は、{4、5、6、7}のどれかです。
4のとき、元の数の(2)が4となり、4×4+3=19、で不適です。
5のとき、元の数の(2)が5となり、5×4+3=23、で不適です。
6のとき、元の数の(2)が6となり、6×4+3=27、で適します。
7のとき、元の数の(2)が7となり、7×4+3=31、で適します。

■元の数の(2019)は、1です。
●元の数の(2018)は、3繰り上がりがあるので{7、8、9}のどれかです。
・7だとすると、答えの(2018)は、下から3繰り上がりがあって{1}です。
1のとき、元の数の(3)が1となり、1×4+3=7、で適します。

・このとき、元の(2017)は3繰り上がるので{7、8、9}のどれかです。
7だとすると、答えの(2017)は、下から3繰り上がりの場合も入れて{8、9、0、1}です。
8のとき、元の数の(4)が8となり、8×4=32、で不適です。
9のとき、元の数の(4)が9となり、9×4=36、で不適です。
0のとき、元の数の(4)が0となり、0×4=0、で不適です。
1のとき、元の数の(4)が1となり、1×4=4、で不適です。
8だとすると、答えの(2017)は、下から3繰り上がりの場合も入れて{2、3、4、5}です。
2のとき、元の数の(4)が2となり、2×4=8、で適します。
3のとき、元の数の(4)が3となり、3×4=12、で不適です。
4のとき、元の数の(4)が4となり、4×4=16、で不適です。
5のとき、元の数の(4)が5となり、5×4=20、で不適です。

これをみると、答えは「2178」が同じなので、2020÷4=505 回繰り返す数です。
![]()
9だとすると、答えの(2017)は、下から3繰り上がりの場合も入れて{6、7、8、9}です。
6のとき、元の数の(4)が6となり、6×4=24、で不適です。
7のとき、元の数の(4)が7となり、7×4=28、で不適です。
8のとき、元の数の(4)が8となり、8×4=32、で不適です。
9のとき、元の数の(4)が9となり、9×4=36、で不適です。
・8だとすると、答えの(2018)は、下から3繰り上がりの場合も入れて{2、3、4、5}です。
2のとき、元の数の(3)が2となり、2×4+3=11、で不適です。
3のとき、元の数の(3)が3となり、3×4+3=15、で不適です。
4のとき、元の数の(3)が4となり、4×4+3=19、で不適です。
5のとき、元の数の(3)が5となり、5×4+3=23、で不適です。
・9だとすると、答えの(2018)は、下から3繰り上がりの場合も入れて{6、7、8、9}です。
6のとき、元の数の(3)が6となり、6×4+3=27、で不適です。
7のとき、元の数の(3)が7となり、7×4+3=31、で不適です。
8のとき、元の数の(3)が8となり、8×4+3=35、で不適です。
9のとき、元の数の(3)が9となり、9×4+3=39、で適します。

答えは、(2020)が2、(2019)が1、(2)が7、(1)が8で、なかの2016桁がすべて9の数です。
![]()
二つのパターンがあるようです。
(5)
![]()
![]()
のように、2数の奇数乗の和は因数分解できます。
2021=47×43です。
さて、これらの数を2行に並べます。
1行目は小さい順に、2行目は大きい順に並べます。
![]()
そして、上下の2数を加えます。
例えば、2列目は、
![]()
![]()
![]()
![]()
どの列も、47を因数にもつので、余りは0です。
「早起きのおじさん」
03/20 23時50分 受信 更新 3/21
2020年に因んだ問題(4)について 早起きのおじさん
解を求められたのではありませんが、考え方を書きます。

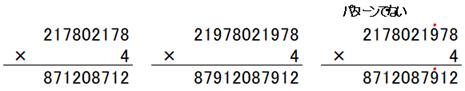
●右の計算のように、4をかけて並びが逆になる数をパターン
ということにします。
パターンは中央に9を入れてもやはりパターンです。
パターンの並んでいる数字の個数を長さということにします。
パターン2178の長さは4、
パターン2199978の長さは7です。
同じ長さのパターンの間に
0を入れてもパターンになります。
パターンに0をいくつかつなげたものをブロックということにします。
21780、21978000、・・・などがブロックです。
ブロックの数字の個数もやはり、長さということにします。
同じパターンに、右に0をつなげたもの、左に0をつなげたものをつなげてもパターンです。
例えば、21780と02178をつなげて、2178002178としたものは、パターンです。
●2020桁は計算が大変なので、32桁で具体的にみてみます。
〇パターンが1個のときは、2199・・・9978の1通りです。
21と78の中に、28個の9が並びます。
〇パターンが2個のときは、2199・・7800・・・|・・・002199・・78 の形をしています。
|は中央を表しています。
中央の左と右では、同じパターンで0が右につくブロックと左につくブロックがつながっています。
左右対称なので、左の16桁で考えます。

長さ16のブロックの種類を数えます。
8の位置を考えると、13通りあります。
ブロックが何通りあるかは、長さから3を引けば求まります。
〇パターンが3個のときは、 (2199・・7800・・)(2199・・|・・9978)(・・・002199・・78)の形をしています。
長さkのブロックが2個、長さ2nのブロックが1個です。
nは、2から12の値をとります。(kの最小値は4です)
kの長さは、16−nです。
よって、長さkのブロックの種類は、16−n−3=13−n

〇パターンが4個のときは、(2199・・7800・・)(2199・・78)|(2199・・78)(・・・002199・・78)の形をしています。
中央から左で考えます。
1番目のブロックの長さがnとすると、2番目のブロックの長さは16−nです。
nは、4から12の値をとります。
1番目のブロックの種類はn−3通り、2番目のブロックの種類は16−n−3=13−n通りです。

![]()
〇パターンが5個のときは、
(2199・・7800・・)(2199・・7800・・)(2199・・|・・9978)(・・002199・・78)(・・・002199・・78)の形をしています。
長さkのブロックが2個、長さmのブロックが2個、長さ2nのブロックが1個です。
nは、2から8の値をとります。(k、mの最小値は4です)
1番目のブロックの長さをkとすると、kは4から16−n−4=12−nの値をとります。
2番目のブロックの長さは16−k−n=16−k−nです。
中央のブロックの長さは、nです。
1番目のブロックの種類はk−3通りです。
2番目のブロックの種類は16−k−n−3=13−k−n通りです。





〇パターンが6個のときは、
(2199・・7800・・)(2199・・78)(2199・・78)|(2199・・78)(2199・・78)(・・・002199・・78)の形をしています。
中央から左で考えます。
1番目のブロックの長さをkとすると、kは4から8の値をとります。
2番目のブロックの長さをmとすると、mは4から16−k−4=12−kの値をとります。
3番目のブロックはの長さは、16−k−mです。
1番目のブロックの種類はk−3通りです。
それぞれに対して、2番目のブロックの種類はm−3通り、
3番目のブロックは16−k−m−3=13−k−m通りです。






![]()
〇以下はやっていません。
●このように計算はだんだん面倒になっていきます。
これらの計算をまとめて扱うような方法は見当がつきません。
<水の流れ:随分と多大な時間を費やされたことに感謝申し上げます。応募者あってのサイトです。ありがたいことです。3月21日記>
NO2「スモークマン」
01/25 17時44分 受信
更新 2/23
(1)
明らかに、
-1<√2019-√2020<0
2019<√(2019*2020)<2020
√(2019*2020)-2019=√2019*(√2020-√2019)
so…√2019*(√2020-√2019)-(√2020-√2019)= (√2020-√2019)(√2019-1)>0
つまり、√(2019*2020)の小数部分よりも、√2020-√2019の少数部分の方が小さいので、結局、与式の整数部分は2019
(2)
8<√80<9
√80=9-r(80)・・・実際は(1-r(80))が√80の小数部分
44^2=1936<√2020<45^2=2025
so…
√2020=45-r(2020)
80*5^2=2000
so…
r(2020)>5*r(80)
so…
r(2020)>r(80)
so…
√80の小数の方が大きい
(3)
√2020*√(2*√2020+2021)
=√2020*(√2020+1)
=2020+√2020
と外せる。
(4)
2020=4*5*101
桁上がりがないので…
2?...?8 になるものを探すと…
21978
So…これが404回繰り返されるもの
(5)
2021=47*43
so…
(2021-1)^2019≡2020^2019≡-1^2019
(2021-2)^2019≡2019^2019≡-2^2019
…
(2021-1010)^2019≡1011^2019≡-1010^2019
から、与式≡0 (mod 47)
「スモークマン」 01/31 21時40分 受信
更新 2/16
2020年に因んだ問題
(3)再考…
(4)は友人からのものです…
(3)与式=√{(2020+√2020)+√2020(2020+√2020)}
=√{(2020+√2020)*(√2020+1)}
=(2020+√2020)/(2020)^(1/4)
=(2020)^(3/4)+(2020)^(1/4)
(4) X00……………00X とする
X*4 がXと
逆順になっていれば条件を満たす。
Xが1、2、3桁ではなし 4桁では2178 5桁では21978 でOK
(21780000……00002178)
もちろんこれらが繰り返したり混在していてもOKで、そのほか
5万とあると思いますが。
NO3「浜田明巳」
02/10 10時02分 受信 更新 2/23
2020年問題
(1)1936=442<2019<2020<2025=452より,
44<√2019<√2020<45
20192<2019・2020<20202より,2019<(2019・2020)1/2<2020
√2019,√2020,(2019・2020)1/2の小数部分をそれぞれa,b,cとすると,
√2019=44+a,√2020=44+b,(2019・2020)1/2=2019+c,
0<a<b<1,0<c<1
∴√2019−√2020+(2019・2020)1/2=(44+a)−(44+b)+(2019+c)
=2019+(a−b+c)・・・(1)
ここで,
a−b+c=(√2019−44)−(√2020−44)+{(2019・2020)1/2−2019}
=(√2019−√2020)+√2019・(√2020−√2019)
=(√2020−√2019)(√2019−1)>0
1−(a−b+c)=1+(√2019−√2020)(√2019−1)
=1+2019−(√2020+1)√2019+√2020
=√2020・(√2020+1)−(√2020+1)√2019
=(√2020−√2019)(√2020+1)>0
∴0<a−b+c<1
(1)より,与式の整数部分は,2019である.
(2)1936<2020<2025より,44<√2020<45
64=82<80<81=92より,8<√80<9
√2020,√80の小数部分をそれぞれa,bとすると,
√2020=44+a,√80=8+b,0<a<1,0<b<1
∴a=√2020−44,b=√80−8
∴a−b=(√2020−44)−(√80−8)=2√505−4√5−36
=2{√505−2(√5+9)}・・・(1)
ここで,
(√505)2−{2(√5+9)}2=505−4(5+18√5+81)
=161−72√5=√25921−√25920>0
∴(√505)2>{2(√5+9)}2
∴√505>2(√5+9)
(1)より,a−b=2{√505−2(√5+9)}>0
∴a>b
故に√2020の小数部分の方が大きい.
(3)(2020+2020+√2020+2020√2020)1/2
={√2020・(2√2020+1+2020)}1/2
=20201/4・{(√2020+1)2}1/2
=20201/4・(√2020+1)
=20203/4+20201/4
故に二重根号を外すことができる.
(4)2桁の数の場合で計算する.
4(10a+b)=10b+a(a,bは整数,1≦a≦9,1≦b≦9)とすると,
39a=6b
∴13a=2b・・・(1)
13,2は互いに素なので,bは13の倍数.
これは1≦b≦9に矛盾する.
4桁の数の場合で計算する.
4(1000a+100b+10c+d)=1000d+100c+10b+a,
a,b,c,dは整数,1≦a≦9,0≦b≦9,0≦c≦9,1≦d≦9
とすると,
3999a+390b=60c+996d
∴1333a=20c+332d−130b=2(10c+166d−65b)・・・(2)
1333,2は互いに素なので,aは2の倍数.
c≦9,d≦9,−b≦0から,
1333a=2(10c+166d−65b)≦2(10・9+166・9−65・0)=3168
∴a≦3168/1333=2+502/1333
以上より,a=2
(2)より,1333=10c+166d−65b・・・(3)
∴65b=2(5c+83d)−1333
故に65bは奇数であり,bは奇数である.
(3)より,
65b=10c+166d−1333≦10・9+166・9−1333=251
∴b≦251/65=3+56/65
以上より,b=1,3
i). b=1のとき,(3)より,1398=10c+166d
∴699=5c+83d・・・(4)
∴5c≡4−3d≡0(mod 5)
∴d=3,8
5c=699−83d≦5・9=45より,
d≧654/83=7+53/83
∴d≧8
以上より,d=8
(4)より,5c=699−83・8=35
∴c=7
故に4桁の整数は,2178
故に2020桁の整数では,この2178を,この順で505回繰り返せばよい.
ii). b=3のとき,(3)より,1528=10c+166d
∴764=5c+83d・・・(4)
∴5c≡4−3d≡0(mod 5)
∴d=3,8
5c=764−83d≦45より,d≧719/83=8+55/83
これはd=3,8に矛盾する.
また,この2178を利用して,
21978,219978,2199978,・・・
も,この性質を持っていることが分かる.
故に,21の次に,9を2016回繰り返して,最後に78を付けた数も答である.
以上より,
2178を,この順で505回繰り返した2020桁の整数
21の次に,9を2016回繰り返して,最後に78を付けた2020桁の整数
が答である.
「浜田明巳」
02/10 10時20分 受信 更新 2/16
2020年問題(4)(別解)
8桁の場合をVBSCRIPTのプログラムで解いてみる.
dim a(9)
a(0)=0:a(9)=""
call saiki(1,a)
msgbox a(9)
'
sub saiki(n,a())
if n=1 or n=8 then
a(n)=1
else
a(n)=0
end if
while a(n)<=9
if n<8 then
call saiki(n+1,a)
else
call check(a)
end if
a(n)=a(n)+1
wend
end sub
sub check(a())
dim b(8),c(8)
for j=1 to 8
b(j)=a(j)*4:c(j)=a(8+1-j)
next
for j=1 to (8-1)
b(j+1)=b(j+1)+b(j)\10:b(j)=b(j) mod 10
next
dame=0
for j=1 to 8
if b(j)>
end if
next
if dame=0 then
a(0)=a(0)+1
if a(0)>1 then a(9)=a(9)&chr(13)
for j=8 to 1 step -1
a(9)=a(9)&a(j)
next
end if
end sub
この結果より,4桁の数2178,8桁の数21782178が,この性質を有し,21999978もこの性質を有することが分かる.
以上により
,
2178を,この順で505回繰り返した2020桁の整数
21の次に,9を2016回繰り返して,最後に78を付けた2020桁の整数
が答である.
「浜田明巳」
02/12 10時17分 受信 更新 2/16



「浜田明巳」
02/17 08時57分 受信 更新 2/23
2020年問題(5)
以下mod 47で計算する.
12019+22019+32019+・・・+20202019
={(47・0+1)2019+(47・0+2)2019+(47・0+3)2019+・・・+(47・0+46)2019}
+{(47・1+1)2019+(47・1+2)2019+(47・1+3)2019+・・・+(47・1+46)2019}
+{(47・2+1)2019+(47・2+2)2019+(47・2+3)2019+・・・+(47・2+46)2019}
+・・・
+{(47・42+1)2019+(47・42+2)2019+(47・42+3)2019+・・・+(47・42+46)2019}
≡43(12019+22019+32019+・・・+462019)
≡43[(12019+22019+32019+・・・+232019)
+{(−23)2019+(−22)2019+(−21)2019+・・・+(−1)2019}]
=43{(12019+22019+32019+・・・+232019)−(232019+222019+212019+・・・+12019)}
=43・0=0・・・(答)
NO3「ジョーカー」
02/12 17時42分 受信 更新 2/23






NO3「ジョーカー」
02/22 10時47分 受信 更新 2/23





皆さん、問題や質問に答えてください。一部でも構いませんから、解答とペンネームを添えて、メールで送ってください。待っています。