令和2年4月12日
[流れ星]
第385回数学的な応募問題
<解答募集期間:4月12日〜5月10日>
[南宮大社奉納算額2]
第384回から続いています
第5問題
相異なる5個の黒赤青黄円は互いに外接して1つの円に内接している。黒、赤、青の3個の円の直径を知って黄円の直径を求めよ。

<水の流れ:現在未解決なので、教えてください>

第6問題
長方形に四個の異なる正方形黒、赤、青、黄を入れる。長方形の長辺の長さを知って短辺の長さを求めよ。
<水の流れ:上の図は「ジョーカー」さん作成の図です、黄色の正方形の頂点が長方形の辺に接しているように訂正します。14日夜>
術文(答)
長方形の長辺の長さをyとし、求める短辺の長さをx
とすると、x=3/5・y
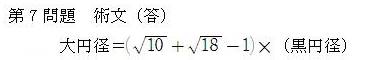
第7問題
大円内に相等しい3個の楕円と、相等しい4個の赤円を入れる。大円外に相等しい六個の黒円を、黒円周と楕円周は相接し大円周で外接するように書く。黒円径を知って大円径を求めよ。


<水の流れは
となり、術文の間違いでないか。



出典 岐阜県の算額の解説 木重之 著 自費出版
皆さん、問題や質問に答えてください。一部でも構いませんから、解答とペンネームを添えて、メールで送ってください。待っています。