ßaQNTP0ú
[ŹęŻ]
@@@@ć385ńwIČĺđ
@@@@đĺWúÔF412ú`T10ú
mě{ĺĐň[Zz2n
@ć384ńŠçą˘Ä˘Üˇ
ćTâč
@
ŮČéTÂĚÔŠ~ÍݢÉOÚľÄPÂĚ~ÉŕھĢéBAÔAÂĚRÂĚ~ĚźađmÁÄŠ~ĚźađßćB

ĚŹęFťÝ˘đČĚĹAłŚÄžł˘

ćUâč
@ˇű`ÉlÂĚŮČéłű`AÔAÂAŠđüęéBˇű`̡Ó̡łđmÁÄZÓ̡łđßćB
@
ĚŹęFăĚ}ÍuW[J[vłńěŹĚ}šAŠFĚłű`̸_Şˇű`ĚÓÉھĢéć¤ÉůłľÜˇB14úé
pśij
ˇű`̡Ó̡łđĆľAßéZÓ̡łđ
ơéĆAR/TE@
ćVâč
ĺ~ŕÉľ˘RÂĚČ~ĆAľ˘SÂĚÔ~đüęéBĺ~OÉľ˘ZÂĚ~đA~üĆČ~üÍÚľĺ~üĹOÚˇéć¤ÉB~ađmÁÄĺ~ađßćB


ĚŹęÍ
ĆČčApśĚÔá˘ĹȢŠB



oT@ň§ĚZzĚđŕ@űüŘdV@@ŠďoĹ@
NO1uW[J[v @
04/18 1535Ş@óM XV 5/10
W[J[łńŠçńšçę˝đšB
uW[J[v @@05/24 2146Ş@óM XV 5/25
ć6âčĚu
ĚŹęvĚđđľčźľľÜľ˝B
đĚ}iXYĚĆąëjŞ˛żá˛żáľÄ˘éĚĆ
ćčÍŢłű`đlŚéĆ2pC2qÍgíČġÝܡB
@čźľĚđÍążçšB
NO2ućÓŠľĚÂ碨śłńv 04/29 2125Ş@óM XV 5/10
385đ@ćÓŠľĚÂ碨śłńiuNŤĚ¨śłńvđ ç˝ßܡj
âč5
ąĚâčÍ˝]ľÄlŚÜˇB
_AACABAXAYÍAťęźęAÂAÔAŠAĚ~ĚSđ\ľÜˇB
ťęźęĚ~ĚźađaAcAbAxAyƾܡB
OÚ~ĚźađRƾܡB
˝]ĚSđ~(A)ĆOÚ~ĚÚ_OƾܡB
_Pđ˝]ˇéĆŤĚ[đA
ƾܡB
ť¤ˇéĆAłĚ}ÍăA˝]ăĚ}ͺɝęܡB
OÚ~Ć~Í˝]ăA˝sČźüÉČčܡB
ÂĆŠFĚ~Í˝sČźüÉÚˇé~ÉČčܡB
ÔĆĚ~Í}Ěć¤Č~ÉČčܡB

GBfHYftƨŤÜˇB
˝]ăĚÔĆĚ~ĚźaÍAÂĆŠFĚ~ĚźaĚ4ŞĚ1ČĚĹA
![]()
![]()
![]()
˘OQBä˘OQfBfšB
![]()
tđĆÁÄA
![]()
ćÁÄA

˘OPYä˘OPfYfšB
![]()
tđĆÁÄA
![]()
ćÁÄA

ąąĹA(A)|(B)ćčA

ގéĆA
![]()
ŻlÉA˝]ĚSđÂ~(C)ĆOÚ~ĚÚ_OơéĆA
![]()
(C)|(D)ćčA
![]()
äŚÉA
![]()

âč6
ˇű`OXYZĚÉA4FĚłű`đüęܡB
eFĚłű`ÉOÚˇéłű`đlŚAe_đĚć¤É\ľÜˇB

eFĚłű`Ě1Ó̡łđĚć¤É\ľÜˇB
ŠFaAbAÔcAÂdB
eFĚłű`Ě1ÓŞĄüĆȡpĚ即đĚć¤É\ľÜˇB
ŠFżAŔAÔÁAÂÂB
OÚˇéłű`Ě1Ó̡łđlŚÜˇB
ŠFĚęAOÚˇéłű`Ě1ÓÍAOA{APšB
˘DAOƢABPĚÎÓ̡łÍaČĚĹAOpäđp˘ÄA
ŠFĚłű`ÉOÚˇéłű`Ě1ÓÍ ![]()
ŻlÉA
FĚłű`ÉOÚˇéłű`Ě1ÓÍ ![]()
ÔFĚłű`ÉOÚˇéłű`Ě1ÓÍ ![]()
ÂFĚłű`ÉOÚˇéłű`Ě1ÓÍ ![]()
ˇű`Ě1ÓZY̡łÍAZL{LK(ÔĚOÚłű`Ě1Ó){KYšB
ZLRCAKYSJČĚĹA
![]()
Ü˝Aˇű`Ě1ÓOX̡łÍA(ŠĚOÚłű`Ě1Ó){(ĚOÚłű`Ě1Ó){(ÂĚOÚłű`Ě1Ó)šB
ąąĹAOABPEFAPEFHXGđĽÜŚéĆA
![]()
![]()
ZYOXČĚĹärľÄA![]()
ÂÜčAÔĚOÚłű`Ě1ÓÍAĚOÚłű`Ě2{šB
ŠĚOÚłű`Ě1Ó̡łROCV{(ĚOÚłű`Ě1Ó)šB
![]()
ÂĚOÚłű`Ě1Ó̡łJXST{(ĚOÚłű`Ě1Ó)šB
![]()
ńÂĚŽđvľÜˇB
![]()
Ž(A)đăüˇéĆ
![]()
(ŠĚOÚłű`Ě1Ó)Ć(ÂĚOÚłű`Ě1Ó)ĚaÍA(ŠĚOÚłű`)Ě4{ÉČčܡB
ˇű`ĚĄOXÍA(ŠĚOÚłű`Ě1Ó)Ě5{šB
ˇű`Ěc̡łOZđĚć¤ÉvZľÜˇB
![]()
![]()
![]()
Ž(A)A(B)đăüˇéĆA
![]()
ÂÜčAˇű`Ěc̡łOZÍA(ŠĚOÚłű`Ě1Ó)Ě3{šB
ČăŠçAˇű`ĚcÍĄĚR^TšB
âč7

ÂČ~(1)Aĺ~(2)A~(3)AźüCD(4)ĚűöŽđĚć¤ÉľÜˇB
![]()
![]()
![]()
![]()
ÂČ~(1)ĆźüCD(4)ŞÚˇéąĆđlŚÜˇB
(4)ćčA![]()
ąęđ(1)ÉăüľÄގéĆA
![]()
ťĘŽDđ0ĆľÄA
![]()
ćčA![]()
ąęđăüˇéĆăĚ2űöŽÍA
![]()
Ú_ĚxŔWÍA

ÂČ~(1)Ćĺ~(2)ŞÚˇéąĆđlŚÜˇB
(2)ćčA![]()
ąęđ(1)ÉăüľÄގéĆA
![]()
đăüˇéĆA
![]()
![]()
ťĘŽDđ0ĆľÄA
![]()
![]()
ćčA
![]()
ąęđăüˇéĆăĚ2űöŽÍA
![]()
Ú_ĚŔWÍA
![]()
![]()
~ĚSđĘéźüCO1ĚűöŽđlŚÜˇB
2_
A
đĘéĚĹA

![]()
~ĚS(cCd)ÍA
![]()
ĺ~ĚSĆ~ĚSĆĚŁpÍA

~ĚźaÍA

źüCDĆ~ĚSĆĚŁkđlŚÜˇB
ąĚŁŞăĚrĆŻśÉČęÎć˘íŻĹˇB

ąęĆăĚlđľuĆA

CÉ¢ÄđĆA![]()
ăĚrÉăüˇéĆA

R^rĚäđvZľÜˇB

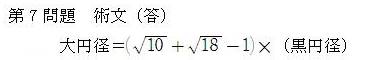
âč8
ć¸Č~ĆĐľ`ÉÚˇéĹĺĚ~(źar)đlŚAÉ~ĆČ~ĚÚ_ÉÚľŠÂO~ÉÚˇé~(źaR)đlŚÜˇB
ťľÄA~Ěźa2RđßܡB

Č~(1)ĆźüAB(2)ĚűöŽđĚć¤É¨ŤÜˇB
![]()
~ĆČ~ĚÚ_DÍA
šB
(1)đ÷ŞľÄAąĚŔWđăüˇéĆA

ĆČčAźüABĚXŤĆľČéŠçšB
_DđĘčźüABɟȟüđ˛×ܡB
ąĚźüĚXŤÍAa^bšB
![]()
![]()
(3)Ćx˛ĆĚđ_FÍA
šB
DF̡łđßܡB

![]()
É(3)Ć´_ĆĚŁOHđßܡB

˘OO1FĚĘĎSđvZľÜˇB
ęÓđO1FAłđOHƾܡB
![]()
~ĚűöŽÍA
šB
źÓđxĹ÷ŞľÄyfđßܡB
![]()
_DɨŻéyfđlŚÄA

ŽľÄA
![]()
ąąĹA
ƾܡB
![]()


ŞĚđvZľÜˇB

![]()
![]()
ćÁÄA

˘OO1FĚĘĎSđvZľÜˇB
ęÓđOFAłđOO1sinĆƾܡB
![]()

(4)A(5)đľu˘ÄAގéĆA



![]()
![]()
![]()
![]()

E|E|E|E|E|E|E|E|E|E|E|E|E|E|E|E|E|E|E|E
ŚÉÍArŞ čAaŞČ˘ĚĹÇÁľÜˇB
(3)ĆźüABĆĚđ_Eđ˛×ܡB
(2)A(3)đA§łšÄA
![]()
DE(2r)̡łđ˛×ܡB



ćÁÄA
![]()
ČăŠçA

ćÁÄA



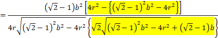
ąąĹAŠFĚŞđćčoľÜˇB



![]()
ąęđߡĆA



ĚŹęFđ



ĚŹęFućÓŠľĚÂ碨śłńvÉćéĆApśĚŚŞłđĹľ˝



FłńAâčâżâÉŚÄžł˘BęĹŕ\˘ÜšńŠçAđĆyl[đYŚÄA[ĹÁÄžł˘BŇÁĢܡB