ßaQNPOQTú
[ŹęŻ]
@@ć391ńwIČAąĺđ
@@@@đĺWúÔF927ú`1025ú
mĺ_ŞŚ{ň[ZzPn

@@@@@ň§ĺ_sÉ éŞŚ_Đ
]ËăúAJźÎiHÖjÍĺ_ËmĹvšŮuŻĹ Á˝
쯝ÉwŃAŠçmđJ˘ÄaZđłŚÄ˘Üľ˝B
ŢĚĺlBŞĺ_sĚŞŚ_ĐÉVŰNÔÉZziGnjđň[ľÄ˘ÜˇB
ąĚZzÍcOČŞçćĚž˝míĹ_вĆÁ¸ľ˝ąĆđmčAň[łę˝ZzÍłđľAă˘ÉcľÄ¨Ť˝˘ĆM]ľ˝ćšB
ČşĚň[łę˝âčĚđ@đ¨č˘ľÜˇB
ćęâ
rä`Ébł2~đüęéBťĚÔɸEEEiźÉ~Ĺ~ßéjđüęéBbaĆaĆđmÁÄä`ŕÉ éĹར~ĚđßćB
Furä`Ébł2~đüęéBťĚÔɸEEEiźÉ~Ĺ~ßéjđüęéBbaĆaĆđp˘Ä~ĚÂđ\švƢ¤ÓĄĹˇ@
1019úLü
pś@ij@@ßé~ĚÂ[ăibaaj]@@@102úůł
˝žľA[@@]ÍKEXL
FW[J[łńŠç¸˘˝}šB104úLü

ćńâ
@niśEĚĘ͡×ÄĚ~ÉOھĢéjŕÉbł2~đ`ŤAťĚÔɸ~đüęéBłađmÁĸađßćB
pś@ij@¸~aiUQRj~ił~aj
FW[J[łńŠç˛wEŞ čÜľ˝B104úLü
uśEĚĘÍź~ĹCťĚźaÍC2ÂĚb~ĚSŁĆľ˘v
ş}ÍąęđlśľÄ čܡB

ćOâ
SÂĚłű`Abł¸Ĺ2ÂĚłű`čČđÍŢBčłű`ĚśĚăşĆČłű`ĚEĚăşÍbłłű`ĚęÓÉÚˇéB¸čĚęÓđťęźęmÁÄČÓđßćB
pś@ij@@Čoi¸jQi¸\čjč{Pp
Ql@ \ąÍbEłE¸EEči{jEČEMEhEpEáĄĚ10íŢ

ćlâ
~ĆńÓOp`Şđíči~ÍęÓÉÚˇéjťĚÖbłĚQ~đüęéBťĚÔɸ~SÂđüęéBbađmÁÄłađßćB
pś@ij@łaiăR{Pj~ba

ćÜâ
ˇű`ŕÉQÂĚÎüđěčťĚăşÉbł¸ĚXÂĚ~đüęéBˇű`Ěc̡łđmÁĥ̡łđßćB
pś@ij@ĄăiRDXQj~c

uW[J[v @
10/14 1014Ş@óM XV 10/25
uW[J[v @
10/14 1250Ş@óM XV 10/25
ćPâĚâŤiRjɢĚB


ućÓŠľĚÂ碨śłńv 10/16 2101Ş@óM
XV 10/25
ćńâ
}Ěć¤ÉA~bĚźađsAĘĚźađtA~łĚźađaA~¸ĚźađbƾܡB

~bł¸ĆʪݢÉھĢéĚĹAfJgĚ~čđg˘ÜˇB
![]()
źÓÉ
đ|ŻÜˇB
![]()
![]()
![]()
![]()
![]()
}ĚźpOp`ŠçA
![]()
Ü˝AâčśĚÇÁĚqguśEĚĘÍź~ĹCťĚźaÍC2ÂĚb~ĚSŁĆľ˘vćčA
![]()
ąęđăĚŽÉăüˇéĆA
![]()
sÍłČĚĹAs2a
ćÁÄAt3a
ąĚĘđ(*)ÉăüˇéĆA
![]()
![]()
![]()
![]()
![]()
![]()
aAbÍłČĚĹA6a23b
ÂÜčA23~¸6~b
ćOâ
ć¸AcbĄaĚźpOp`ĚÉłű`đÂéąĆđlŚÜˇB
}Ěć¤ÉAxŘĐaAyŘĐbĚźüĆyxĆĚđ_đ˛×ܡB
![]()
ćčA
![]()

Op`ĚęÓĆłŞŞŠęÎAłű`ĚęÓ̡łŞÜčܡB
}Ěć¤ÉA_Ćłű`ĚęÓ̡łđßܡB

˘OABĚęÓđABĆľ˝ĆŤĚłđpơéĆA
![]()
˘OCDĚęÓđCDĆľ˝ĆŤĚłđqơéĆAłű`uČvĚęÓkÍA
![]()
![]()
ČĚĹA˘OABƢOCDĚĘĎÍľČéĚĹA
![]()
(32)É(33)A(31)đüęéĆA


ćlâ
~ĚSđQiźarjA~bĚSđSiźasjA~łĚSđTiźatjAEăĚ~¸ĚSđH1iźahjAEşĚ~¸ĚSđH2iźahjƾܡB
ńÓOp`ĚEĚÓđABƾܡB
~łĚSÍAÚBAOĚńŞüăÉ čܡB
OAaAOBbƾܡB
pĚńŞüĚčćčA
![]()
![]()
~bĚSSĚŔWÍAi0C2t{sjAźasČĚĹA
![]()
źüABĚxŘĐÍaAyŘĐÍbČĚĹA
![]()
ąęđ~ĚŽÉüęÄAťĘŽđ˛×éĆA
![]()
![]()
![]()
![]()
![]()
![]()
![]()
![]()

¢ĹÉA~Ěźaŕ˛×ĨŤÜˇB

![]()
ąąĹAłĆbĚ即đä×ܡB

ÂÜčAaĆbĚäĚlŞŞŠęÎ梹ĆÉČčܡB
É~¸ŞăşĹŻśĺŤłĹ éąĆđlŚÜˇB
˘BQCä˘BAOČĚĹABQFQCBAFAOćčA
![]()
ćÁÄAEăĚ~¸Ěźa2hÍA
![]()
ÉEşĚ~¸É¢ÄlŚÜˇB
źüTAÍA
![]()
yhĆľÄASH2đ˛×ܡB
![]()
ćÁÄA![]()
TH2r{h ČĚĹA

![]()
![]()


äŚÉA


źÓ2ćľÄގéĆA
![]()
rđaAbĹ\ľ˝ŽđăüľÄގéĆA
![]()
źÓđ
ĹÁÄŽˇéĆA

ąąĹA
ƨĆA
![]()
![]()
![]()
łĚ˝űŞđĆÁÄA
![]()
WJľÄގéĆA
![]()
äŚÉA
![]()
![]()
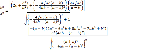
ąĚlđ(*)ÉüęéĆA



![]()
ćÜâ

}Ĺ~AĚźađaA~BĚźađbĆľA˘ABHÉO˝űĚčđp˘ÄA
![]()
ÂÜčAń~ŞÝ˘ÉÚÁľA¤ĘĚźüÉÚˇéĆŤAÚ_ÔĚŁÍAźaĚć˝ĎĚ2{ĆČčܡB
}śĹbAłA¸AAEEEĚ~ÍݢÉĚÖWÉ čܡB
bAłĚ~ĚźađťęźęaAbơéĆAĚäÍAb^ašB
ćÁÄAobAłA¸AAEEEpĚźaÍAťęźęoaAbAb2^aAb3^a2Ab4^a3AEEEpšB
Ü˝AÚ_ÔĚŁÍAĚäđlŚÄA
![]()
ąęÍA
Aöä
ĚłŔäČĚĹAaWÍA
B
ćÁÄAˇű`ĚĄÍA
B

}EĹA~bĚăĚ~ĚźaÍ
AťĚăĚ~čĚźaÍA
šB
ťęçĚaXÍA2aAöä
ĚłŔäČĚĹA
B
~¸ĚźaÍ
AşĚ~ČĚźaÍ
AťĚşĚ~pĚźaÍA
šB
ťęçĚaYÍA
Aöä
ĚłŔäČĚĹA
B
ćÁÄAcÍA
B
ČăŠçAĄ^cÍA


ćÁÄAaĆbĚäĚlŞŞŠęÎ梹ĆÉČčܡB
~bAłA¸AAEEEĚÚüđlŚÜˇB

ÚüÍXŤmAxŘĐpƾܡB![]()
pÍA
šŞA\LđČPɡé˝ßÉp˘ÜˇB
~bÍA
B
![]()
![]()
![]()
![]()
ąąĹApđăüľÜˇB

ąĚÚüŞAbĚăĚ~ÉÚˇéć¤ÉlŚÜˇB
~ĚSÍA
šB
ÚüÍA![]()
~ĚSŠçÚüÜĹĚŁÍAźaĆŻśČĚĹA

mĆpđăüľÄA

![]()
äŚÉA
![]()
źÓđb4ĹÁÄŽˇéĆA
![]()
![]()
![]()
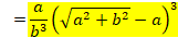
ąęŠçA
B
ąęđ(*)ÉăüˇéĆA

FłńAâčâżâÉŚÄžł˘BęĹŕ\˘ÜšńŠçAđĆyl[đYŚÄA[ĹÁÄžł˘BŇÁĢܡB