ßaQNPQPRú
[ŹęŻ]
@@ć394ńwIČAąĺđ
@@@@đĺWúÔF1115ú`1213ú
mŠq^T@ň[Zz2n

ň§äŹÉ é^T@@OdĚidvśťŕj
]ËăúAJźÎiHÖjÍĺ_ËmĹvšŮuŻĹ Á˝
쯝ÉwŃAŠçmđJ˘ÄaZđłŚÄ˘Üľ˝B
ŢĚĺlBŞVŰ12Ni1841jÉSČę˝JHÖćśđĂńĹäŹ{ăĚě{ĺĐÉOť2Ni1845jÉň[ZzńŇđň[ľÄ˘ÜˇB
ąĚZzÍcOČŞçĆ´¸ľ˝ąĆđmčAň[łę˝ZzÍłđľAă˘ÉcľÄ¨Ť˝˘ĆM]ľ˝ćšB
ČşĚň[łę˝âčĚđ@đ¨č˘ľÜˇBĺđÍăúAň[ZzĚđűqÉpłšÄ˘˝žŤÜˇB

ůłFpśijđCłľÜľ˝B16úéÉ



Ql}




ĚŹęFź~đČ~ĹiČ~ĚZaÍ~ĘÉ˝sjŘč˛ĆŤAČ~̡aAZaĆ~ĚźađmÁÄŘčćÁ˝\ĘĎđßćB
@qgF\ĘĎđßéĚÉ2dĎŞđp˘éBťľÄAÉć2íČ~ĎŞđp˘ÄAłŔÉÄßĢܡB@mMŞEEE

ĚŹęâŤFćVâč͡ĹÉAąâčć375ńĹočľÄ˘Üľ˝B
NO1uW[J[v @
11/28 0949Ş@óM XV 12/13
NO2ućÓŠľĚÂ碨śłńv 12/07 2110Ş@óM XV 12/13
394đ@ćÓŠľĚÂ碨śłń
ć6âč
}Ěć¤ÉČ~đĄˇÉuŤÜˇB
_AđĘčy˛É˝sČÔüđřŤÜˇB
Č~É~đŕÚłšAťĚÚ_TÉÚľÔüăÉSKŞ é~đŤÜˇB

Č~ĚűöŽđ ![]()
~ĚűöŽđ
ƾܡB
~ĚŽćč ![]()
Č~ĚŽÉüęÄ ![]()
![]()
Č~Ć~ŞÚˇéĚĹA
![]()
![]()
(*)ÍdđđŕÂĚĹA



~ĚSPĚŔWÍA![]()
Č~Ć~ĚÚ_TĚŔWÍA![]()
OÚ~ĚSKÍAźüPTĆÔüĚđ_šB
źüPTÍA![]()
ÔüÍA![]()

![]()
ćÁÄKĚŔWÍA
![]()
ćÁÄOÚ~ĚźaĚ˝ű
ÍA

![]()
![]()
![]()
![]()
![]()



ćÁÄA

ć7âč
Ql}ĆľđόܡB
˘ABEĚĘĎSđńĘčÉvZľAärľÜˇB
![]()
˘ABEä˘ECFĹAECa|xČĚĹAäÍA(a|x)^ašB
ćÁÄA
![]()

źaĚaŞĹĺÍźaĚaŞĹĺĆŻśĆŤČĚĹAźaĹlŚÜˇB
![]()
![]()
ąĚÖÍA
ĹlŚÜˇB
![]()
ąĚÖĚŠFĚŞđlŚÜˇB

@Í1ÖAAÍxĹ1ÖABÍx¨Ĺy¨xACÍ@|BĹăÉĘĚOtšBiś}j
ÎĚDy2a|xÍA0xaĹłĚlđĆčܡBiE}j
ąĚÍÍĹÍAŽCÉŽD|ŻÄŕOtĚĘÉĎíčÍ čÜšńBiE}ĚÂj
(**)Íx0C2aĹlŞ0ÉČčܡB
ा˛×ܡB
![]()
![]()
![]()

![]()
ąąĹ
ĆľÄÝܡB

![]()

![]()
ąąĹAŠFĚŞÍżĚlÉŠŠíç¸ĚlđĆčܡB
WâŞęÍłÉeżđ^ŚČ˘ĚĹAÎĚŞÍA
ĚÍÍĹAĚlđĆčܡB
i2ÜĹÍšŞj
ćÁÄAČĆŕąĚÍÍĹąĚÖÍăÉĘÉČčܡB
˘ÂŠlđüęÄÝܡB


ąĚĘAx(3a^4)ĚĆŤŞs[NžĆíŠčܡB
ćÁÄAˇű`ĚńÓÍA

![]()
ć8âč
}Ěć¤ÉđtŻÜˇB

~lĚSđT(s,t)AźađpƾܡB
źüBCF![]()
źüBAF![]()
TŠçBCÜĹĚŁpÍA![]()
TŠçBAÜĹĚŁpÍA![]()
äŚÉA
![]()
![]()

![]()
ąęđpĚŽÉüęܡB

ąęđsĚÖĆľÄ÷ŞľÜˇB
![]()


![]()
EEE
ąĚâčÍđŻÄ˘ÜšńB
sŞÜęÎAnĆVĚaÍÜčܡBađĎŚÄŕnĆVÍĎíčÜšńB
ľŠľAađ卡ęÎlÍĺŤČčܡB
aAbĚlŞ^ŚçęÄsĚlđ˘ë˘ëĎŚÄlĚ~ŞĹĺĚĆŤĚnĆVĚ~ĚađgÁÄlĚ~ĚađßéĆľÄlŚÜľ˝ŞAdp^ds0đđŻÜšńĹľ˝B
sĚlđĹ辽ƍAaĚlđ卡ęÎ卡éŮÇlĚaÍĺŤČčܡB
ađĹ辽ƍs𬳷ęÎÎIÉAađ卾˝ąĆÉČčܡŞA éĆąëŠçlĚaÍtÉŹłČčܡB
ťĚ éĆąëđß˝˘íŻĹˇŞEEE

ĚŹęFćăâčĚđ@AŔŃÉaZâčĚđÇĚĆŤÉ׾˝ąĆ
QlT@§Ě}`ĚâčĹQlÉČéöŽ
ČşÍuú{Ěw@˝čđŻÜˇŠHyăzvXkoĹ@[ěprŠçĄĘľÜľ˝B


QlU@şLĚöŽđŘžľ˝ăA2dĎŞđp˘Ä
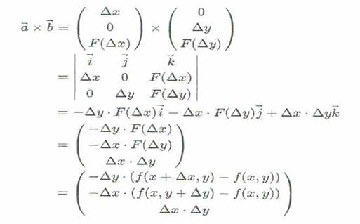
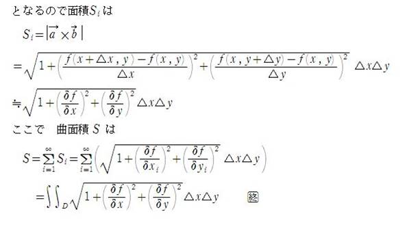
Ě\ĘĎđßܡB





OqĚźđŔWŠçÉŔWÖϡľARrAJđpľÄA2dĎŞđˇéďĚáđŤÜˇB


ĘđĆľÄA
ĚĚĎđmÁĢéĆ\ĘĎđČPÉßéąĆŞĹŤÜˇB
đ˝Ě÷ŹČlĘĚĹăYíɢ¤ąĆɾܡB
ˇéĆA
ĚĚĎđuCźađC˝ĚlĘĚĚęĘĚĘĎĚađrơéBlpĚĚĎĚöŽŠç@ur^R@ŞŹč§Â
ćÁÄArRu^RiSYR^Rj^SYQ@@@@
@@@@@@@@@@@@@@@@@@@@@@@@@@@@@@@@@@@@@@@@@@@@@@@
QlV@aZĚâčâđÉĹÄéŽâgpľÄ˘épę
OpEÎ@FłOp`ĚąĆ@@@@@
OÎ@FsÓOp`ĚąĆ
cĄ˝Fˇű`ĚąĆ@@@@@@@@@
źˇ@Fˇű`Ě卢Ó
ź˝@Fˇű`ĚŹłÓ@@@@@@@@
ű@@Fłű`ĚęÓ̡ł
~@@F~Ěźa@@@@@@@@@@@
@@F~Ěźa
¤˘@FČ~@@@@@@@@@@@@@
~ăliŚńŻÂŻ˘jF|`
~ü@@F~üŚÎĚąĆ@@@@@@@
ĐipĚŞjF2ć
~čiŚńŻÂjF|`ĚĘĎ
~ĎŚF@~ĚĘĎđÜéĚčBźaPĚ~ĚĘĎĚč@Î/S
bAŇAˇF@bҡ͟pOp`ĚąĆĹAbEŇEˇÍA
ťęźęZÓEˇÓEÎÓĚąĆ
bҡĚčF@O˝űĚč
éFŽđˇľřŤOĆČéŽ@@
ĎF@@ĘĎ
ĘĎŚFźaPĚ
ĚĚĎĚčÍ@Î/U
ę
F@ęÂĚąĆ@@@@@@@@@
ę{F@ń{ĚąĆ
lpűÎŚF@łű`ĚÎpüĆęÓĚäBăQ@
bŇią¤ąjF@źpOp`@@@@@
~KF@RpX
ŠVF@ąęđńćˇé@@@@@@@
ÄŠćF@OćˇéąĆ
JűF@˝űÉJąĆ@@@@@@@@
J§F@§űŞĚąĆ
îiľjF|`ĚĘĚ_ơĚ_đńžüŞĚąĆ
EÎ@F@}`đńÂÉŞŻéÎü
ĄL@F@ĄAEEEŞLéBâčĚßÉp˘éB
áąFâčĚđĆľÄ élđ^ŚéĆŤAćęđĚlđáąĆ˘¤
ô˝i˘ÎjFÇęŮÇŠ@@@@
âčF éâčĚđđă̢ăÉvˇéąĆ

QlW@ZŘĚ\ť@
ZŘiłńŹjÜ˝ÍZâÔiłńżă¤jĆÍwâaZĹp˘çę˝vZpďĹ éBcܽͥÉuąĆĹđ\ľ˝B
ZŘ͡ł 3〜14cm Ě؝ܽÍ|ťĚס˘źűĚĹAcܽͥÉŔ×Äđ\ľAzń𮩷ąĆĹlĽZAJ˝AJ§ČÇĚvZđľ˝B1Šç5ÜĹ̞͝ŻZŘđŔ×A6ČăÍŮČéüŤĚ1{Ĺ5đ\ľ˝B
@ZŘÍ2FÉ
FłęAÔĚZŘÍłĚđAĚZŘÍĚđ\ľ˝B
0 ÍťĚęÉZŘđuЏóŻÄ¨ąĆĹŚľ˝B
@]ËăĚú{ĚwŇÍťëÎńĆŔńĹZŘđp˘AwĚWÉvŁľ˝B

ĹăÉA
JHÖćśĚâíŞA1841NÉSČę˝ćśđĂńĹOťQNi1845jÉAäŹ{ăĚě{ĺĐĆ{VŹcĚcă_ĐÉťęźęZzđň[ľÄ˘éB
HÖćśĚâíÉÍA´
pi\˛jAyŽM`icjAyŽMÄicjŞ˘éBŢ窺ÉAÁÄÇÝŤđłŚČŞçAZŘâ\ođgÁ˝aZmđJ˘Ä˘éBąĚć¤É\˛EcĆßĚşÜĹaZŞLŞčđŠšAŻŞyľńŢéąĆŞŞŠéB
ZzĚđÉ¢ÄÍAßĚĚlŞŠľ˝ßö𩪪ĩū˝ĆŤABŹ´đĄí¤ąĆŞĹŤ˝BťăÉOpÖđp˘ÄđŻéÉÍđŻéŞAÍťęçĚTOÍȢĚĹAÇĚć¤ÉľÄ𢽊ͪŠçȢBćăâÍĄĹž¤2dĎŞđp˘ÄđŻéŞAÍćŞĎ@đp˘Äđ˘Ä˘éBąęÉÍÁz@Ĺ éB
Ü˝ASĚ_ЧtÉň[łę˝ZzÍAu§ŔÔŕČAwĚâčđlŚÄyľŢvƢ¤śťŞ]ËăÉ Á˝ąĆđŚľÄ˘éBÜ˝AżśĹLľ˝ZzđĂśĆÝéąĆŞĹŤAÉÍA]ËăĚŻĚślŽđÇÝćęéŕĚŕ éBąĚć¤ÉMdĹśťŕIČvfđÁĢéZzđă˘ÜĹGnÉľÄcľÄ˘Ť˝˘B
łçÉAŹwZZNĚZÉÍuaZÉÓęÄÝć¤vĆľÄAßTZĚâčâA]ËăaZĚJcĹ éÖFaçŞĐîłęĢéłČŕ čܡBśEśkŞZEwŞDŤÉČčAuZÁÄʢČAyľ˘ČvĆžÁÄŕçŚéć¤ÉľÄ˘Ť˝˘BDďSŞ ˇĹ×ÁÄyľ˘ČĆ´śéqÉÍTSŞčśŚAwâđąŻÄwڤơéCżŞŠRÉNŤoÄܡB@
ć384ńŠç386ńĚě{ĺĐň[ZzAć391ńŠç394ńĚĺ_ŞŚ_ĐE^T@ň[ZzĚđđĺłę˝ućÓŠľÂç˘Ě¨śłńvuW[J[vłńÉÍ[äç\ľă°ÜˇB
@łçÉAoTśŁĆľÄuň§ĚZzĚđŕv@äŹ{ĚűüŘdVŇĚŘdVlŔŃ̲q§lÉÍAśŁĚgpđ¨F߸ŤA[Ó\ľă°ÜˇB
@ĺłę˝űĚ¨Š°ĹA
103úÉě{ĺĐÉA

1117úÉĺ_ŞŚ_ĐÉ

12gúÉŠqR^T@É
ťęźęZzđłň[ĹŤ˝ąĆđĚěŃĆ´śÄ˘ÜˇB
@