ßaRNSSú
[ŹęŻ]
@@ć398ńwIČAąĺđ
@@@@đĺWúÔFRVú`SSú
@@@@@@@@mf[gĚmŚn
žYłńĆÔqłńÍAV^RiEBXWc´őh~Ě˝ßÉXĹͧÂE§WE§ÚĚuR§vđľČ˘ć¤ÉSŞŻÄ˘ÜˇB
@ťąĹAąĚńlÍf[gĚńŠđĚć¤ÉľÜľ˝B
iPj˘ÂŕęÉßăTŠçßăUÜĹĚÔÉsB
iQjĹĺQOŞÔÍŇÂŞAßăUđߏéĆAîˇé
ąĚĆŤAńlŞoďŚémŚđßćB
ÇÁâčPińŇ@W[J[łńj@
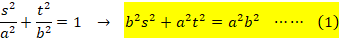
PÓŞĚłÜp`ĆPÓŞĚł\p`ŞŻś~ÉŕھĢéB
Q|QQĚĆŤA~ĚĘĎđßćB
ÇÁâčQińŇ@W[J[łńj


NO1uW[J[v @ 3/07
1843Ş óM XV 4/4
W[J[łńĚđšB
ążçÍ@W[J[łńĚÇÁâčPĚđšB
ÉAW[J[łńĚÇÁâčQĚđš
NO2uOpčKv@@@@ 3/10
2101Ş@@@ óM XV 4/4
OpčKłńĚđš
ążçÍ@OpčKłńĚÇÁâčPĚđšB
NO3ućÓŠľĚÂ碨śłńv 3/26 2127Ş@ óM XV 4/4
@5t1ŞŠç5t2ŞĚÔɢÂŕĚęÉÂmŚđlŚÜˇBÇĚÉÂmŚŕŻlƾܡB
5tŞĚÔÍęuĹˇŞťĚ÷ŹĚÔđdtĆľATt1ŞŠçTt2ŞÜĹÔđWßܡB
![]()
5t1ŞŠç5t2ŞÜĹĚÔÍA
ŞĆ˘¤ÓĄĹˇB
5Šç6ÜĹÍ60ŞČĚĹA5t1ŞŠç5t2ŞĚÔɢÂŕĚęÉÂmŚÍA
šB

âčÉČęé˝ßÉAđđĎŚÄÝܡB
ŕľAŇżÔŞ60ŞČçąĚ2lÍK¸ďŚÜˇB
˘ÂŕĚęÉ˝ÉÂą¤ŞA2lĆŕ6ÉÍAťĚęɢéŠçšB
ŇżÔđmŞĆľÜˇB
(Ł) m30ŞĚĆŤďŚémŚđ˛×ܡB
EŠŞŞ500ŞŠç5(60|m)ŞÜĹĚÔÉÂę

@ŠŞŞ5tŞÉÂĆA5(t{m)ŞÜŢéąĆÉČčܡB
@čŞ500ŞŠç5(t{m)ŞĚÔÉęÎďŚÜˇB
@ŠŞŞ5tŞÉÂmŚĆčŞ500ŞŠç5(t{m)ÜĹĚÔÉémŚđŠŻÄ@![]()
@ąęđA500ŞŠç5(60|m)ŞÜĹWßܡB

EŠŞŞ5(60|m)ŞŠç5mŞÜĹĚÔÉÂę

@誢ÂÄŕďŚÜˇB
@ČşČçčĚűŞéĆK¸5mŞÉ˘ÜˇB
Ü˝AxÄ੪Ş6ÜŢéŠçšB
@ćÁÄAąĚĆŤĚmŚÍA
![]()
EŠŞŞ5mŞŠç6ÜĹĚÔÉÂę

@ŠŞŞ5tŞÉÂơéĆAčŞ5(t|m)ŞČ~ÉęÎďŚÜˇB

äŚÉvľÄA
![]()
(Ľ)
m30ŞĚĆŤďŚČ˘mŚđ˛×ܡB
EŠŞŞ500ŞŠç5(60|m)ŞÜĹĚÔÉÂę

ŠŞŞ5tŞÉÂĆA5(m{t)ŞÜŢéąĆÉČčܡB
@čŞ5(t{m)ŞČ~ÉęÎďŚÜšńB
@ŠŞŞ5tŞÉÂmŚĆčŞ5(t{m)Č~ÉémŚđŠŻÄ@![]()
@ąęđA500ŞŠç5(60|m)ŞÜĹWßܡB

EŠŞŞ5(60|m)ŞŠç5mŞÜĹĚÔÉÂę
@誢ÂÄŕďÁľܢܡB
@ćÁÄAąĚĆŤĚmŚÍA0šB
EŠŞŞ5mŞŠç6ÜĹĚÔÉÂę

@ŠŞŞ5tŞÉÂĆŤAčŞ5(t|m)ŞćčOÉéĆďŚÜšńB

äŚÉvľÄA

(*1)Ć(*2)đÁŚęÎA1ÉČčܡB
(Ą)m30ĚĆŤďŚémŚđ˛×ܡB
EŠŞŞ500ŞŠç5mŞÜĹĚÔÉÂę

@ŠŞŞ5tŞÉÂĆA5(m{t)ŞÜŢéąĆÉČčܡB
@čŞ500ŞŠç5(t{m)ŞĚÔÉęÎďŚÜˇB

EŠŞŞ5mŞŠç5(60|m)ŞÜĹĚÔÉÂę

@ŠŞŞ5tŞÉÂƾܡB
@誢ƍÍ5(t|m)ŞČ~Ax˘ĆŤÍ5(t{m)ŞČOÉéĆďŚÜˇB
@ćÁÄAąĚęÉďŚémŚÍA
![]()
![]()
EŠŞŞ5(60|m)ŞŠç6ÜĹĚÔÉÂę

@ŠŞŞ5tŞÉÂơéĆAčŞ5(t|m)ŞČ~ÉęÎďŚÜˇB

äŚÉvľÄA
![]()
()
m30ŞĚĆŤďŚČ˘mŚđ˛×ܡB
EŠŞŞ500ŞŠç5mŞÜĹĚÔÉÂę

EŠŞŞ5tŞÉÂĆA5(t{m)ŞÜŢéąĆÉČčܡB
@čŞ5(t{m)ŞČ~ÉęÎďŚÜšńB
@ŠŞŞ5tŞÉÂmŚĆčŞ5(t{m)Č~ÉÂmŚđŠŻÄ@![]()
@ąęđA500ŞŠç5mŞÜĹWßܡB

EŠŞŞ5mŞŠç5(60|m)ŞÜĹĚÔÉÂę
@čŞ5(t|m)ŞO é˘ÍA5(t{m)ŞČ~ÉéĆďŚÜšńB
@(t|m){{60|(t{m)}60|2m
ćÁÄAąĚĆŤĚmŚÍA
![]()
EŠŞŞ5(60|m)ŞŠç6ÜĹĚÔÉÂę

@ŠŞŞ5tŞÉÂơéĆAčŞ5(t|m)ŞćčÜŚÉęÎďŚÜšńB

äŚÉA
![]()
(*3)Ć(*4)đÁŚęÎA1ÉČčܡB
ČăŠçđÍA(*3)Ém20đăüľÄA5^9ĆČčܡB
ÇÁâč1
}̢OABƢOBCÉ]ˇčđp˘éĆA
![]()
![]()
ćÁÄA
![]()
![]()
äŚÉ~ĚĘĎSÍA
![]()

36ĚOpÖĚlđ˛×ܡB
18ĆĆuĆA905ĆšB

šB
![]()
ČĚĹA
![]()
![]()
![]()
![]()

![]()

Ž(*)ÉăüľÄA

ÇÁâč2
Ěć¤ÉŔWAŽđ\ľÜˇB
~ĚS ![]()
~ĆČ~ĚÚ_ ![]()
Č~@
![]()
~@@@@@@ ![]()
~ĚSÍA}ĚXŤ1ĚźüăÉ čܡB

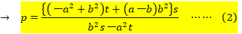
Ú_ĚŔWđßé˝ßĚÖWŽđ˛×ܡB
EÚ_ŞČ~ăÉ éĚĹA
![]()
EÚ_Ć~ĚSđĘéźüđlŚÄA
![]()

![]()
EÚ_Ş~ăĚ_ČĚĹA
![]()
![]()
vZ
(2)đ(3)ÉăüľÄA

![]()
![]()
![]()
![]()
![]()
ędşüÍA

ńdşüÍ A
![]()
![]()
![]()
![]()
OdşüÍA
![]()
![]()
![]()
![]()
ćÁÄŽ(4)ÍA
![]()
![]()
![]()
ąąĹŽ(1)ćčA
![]()
![]()
![]()
ąęçđ(4)fÉăüľÜˇA
![]()

![]()
![]()
![]()
![]()
![]()
![]()
![]()
![]()
![]()
![]()
![]()
![]()
![]()
![]()
ÎĚŞŠçA![]()
ÂĚŞŠçA![]()
ąĚ2ÂÍKľÜšńB
ŠFĚŞŠçA![]()
ŠFĚŞŠçA
ČĚĹA
ÉăüľÄA

ćÁÄAO2̡˛Z˛ÍA
Č~On̡˛Z˛ĚlđcnƨŤÜˇB
![]()
ÂÜčA
Ƣ¤ÖWÉČčܡB
źÓĚÎđĆéĆA
ČĚĹA
![]()
![]()
ĽĽĽ
![]()
![]()
-------------------
śÓĆEÓđťęźę|ŻíšÄńˇĆA
![]()
![]()
FłńAâčâżâÉŚÄžł˘BęĹŕ\˘ÜšńŠçAđĆyl[đYŚÄA[ĹÁÄžł˘BŇÁĢܡB