令和3年9月19日
[流れ星]
第405回数学的な連続応募問題
<解答募集期間:9月19日〜10月17日>
[田代神社の算額(3)]

岐阜県養老郡養老町高田 田代神社
第403回に続いて、田代神社の奉納算額の第四問、第五問です。
第404回に続いて、田代神社に弘化2年(1845)に関流和算家谷幽斎先生遺弟・土屋武三郎信義が奉献した算額の問題の第1問から第3問までです。
谷幽斎先生は天保12年(1841)10月3日に他界されていて、養老町高田の門人である土屋武三郎信義氏が恩師を偲んで奉献している。
また、垂井町表佐の幽斎先生の門人清水政衛氏が弘化2年(1845)に、同じく恩師を偲んで南宮神社に二つ目の算額を奉納している。


第1問題
大円内に中心を通る等しい半円弧を作りそれらの間に2個の小円を書く。弧の個数は不明(例えば8個の弧で5個以下ではない)大円と小円の直径を知り円弧の数を求めよ。(第38図)

第2問題
円に等楕円3個を入れる(楕円の短径の端で接する円は最小円)それらの楕円の中へ12個の小円を入れる。外円の直径を知って小円の直径を求めよ。
(第39図)
第3問題
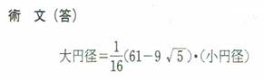
円に相交わる等しい2つの弦を引き、小円11個と大円1個を入れる。小円の直径を知って大円の直径を求めよ。
(第40図)

参考文献
「岐阜県の算額の解説」 木重治 著
追加問題(提供者 ジョーカーさん)

皆さん、問題や質問に答えてください。一部でも構いませんから、解答とペンネームを添えて、メールで送ってください。待っています。