令和3年10月17日
[流れ星]
第406回数学的な連続応募問題
<解答募集期間:10月17日〜11月14日>
[田代神社の算額(4)]

岐阜県養老郡養老町高田 田代神社
田代神社の算額は天保12年(1841)に第403回、第404回とあり、弘化2年(1845)に関流和算家谷幽斎先生遺弟・土屋武三郎信義が奉献した算額がある。
今回は405回に続いて、第4問、第5問です。

第4問題
円内にこの円と同じ半径をもつ2個の円弧を書きその中へ14個の円を書く。丁円の直径の48倍を甲円の直径の65倍に等しくするとき、乙円の直径を知って甲円の直径を求めよ。(図41図)

第5問題

円内に等円数個を入れる(仮に4個)黒い部分の面積と等円の直径を知って、等円の個数を求めよ。(第42図)

術文の訂正 根号内の(円径)を 黒い部分の面積とする。
<水の流れ:原文のままでは問題に不備があるので以下のように改題します>
円内に等円数個を入れる(仮に4個)。円径と等円の直径を知って、等円の個数を求めよ。(図42図) 注 上の術文とは結果は違います。
<お詫び:上記のように術文の訂正と削除をお願いします。
平成4年11月16日記>
参考文献
「岐阜県の算額の解説」 木重治 著
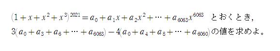
追加問題(提供者 ジョーカーさん)

皆さん、問題や質問に答えてください。一部でも構いませんから、解答とペンネームを添えて、メールで送ってください。待っています。