令和3年11月14日
[流れ星]
第407回数学的な連続応募問題
<解答募集期間:11月14日〜12月12日>
[釜笛八幡宮の算額(1)]

岐阜県大垣市釜笛1丁目203番地 釜笛八幡神社

上の写真は、慶応元年(1865年)浅野孝光(天極斎)の門弟が当寺美濃国安八郡釜笛郷八幡宮宮前地蔵堂に奉納した算額である。
写真は「和算の館」にある岐阜県の算額 八幡宮からのものである。
第1問題
団扇があり、糸で累円を作る(糸長は不明である)。初円径を知り、追次の円径(初円一寸、次円二寸、其次円四寸、其次円八寸、・・・)は円周率32で計り、糸長とし、円周率30で計り糸余を得た。団扇の直径を求めよ。

出題者 河 瀬 貞 長 謹考
<水の流れ:円周率に誤りがあるので、次のように改題します。>
改題 団扇があり、糸で累円を作る。糸長と初円径を知り、団扇の直径を求めよ。ただし、追次の円径は、初円一寸、次円二寸、其次円四寸、其次円八寸、
・・・とする。また、円周率はπとする。
出題者 ジョーカーさん
第2問題
正方形の内へ、青、赤2個の正方形を青は右上に、赤は左下に接するように入れる。その隙間に2個の等楕円を正方形に接するように入れる。青と赤の一辺を知って楕円の面積を求めよ。
![]()
出題者 大 隅 義 盛 謹考
第3問題
半円内に直角二等辺三角形をつくり、その隙間に青、赤の6個の円を入れる(各円は互いに外接して三角形の辺と半円周に接する)。半円の直径を知って赤円径を求めよ。
術文(答) 赤円径=半円径÷8
出題者 外野郷 志 知 孝 成 謹考
参考文献
「岐阜県の算額の解説」 木重治 著
問題文の中のカラー画像は「ジョーカー」提供
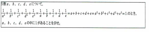
追加問題1(提供者 ジョーカーさん)

追加問題2(提供者 ジョーカーさん)

皆さん、問題や質問に答えてください。一部でも構いませんから、解答とペンネームを添えて、メールで送ってください。待っています。