令和5年1月8日

[流れ星]

  第422数学的な連続応募問題

    <解答募集期間:1月8日〜2月5日>

[三乗根の問題]

 令和5年癸卯明けましておめでとうございます。

昨年までのご応募に深く感謝申し上げます。さらに、

今年も引き続きご愛顧賜りますようよろしくお願いたします。

追加

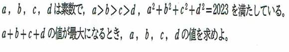
問題1(出題者は「ジョーカー」)

 

皆さん、問題や質問に答えてください一部でも構いませんから、解答とペンネームを添えて、メールで送ってください。待っています。