令和6年3月3日
[流れ星]
第436回数学的な連続応募解答
<解答募集期間:2月4日〜3月3日>
「相加平均・相乗平均]

追加問題(出題者は「ジョーカー」)
今回から2024に関する問題シリーズ第3段
問題1

問題2

問題3 2つの有理数の3乗和が6となる問題

(第427回からの「確率等」の問題シリーズはお休みします)
NO1「ジョーカー」 2/4
20時30分 受信 更新 3/3
寄せられた問題の解答です
NO2「スモークマン」 2/5
21時01分 受信 更新 3/3
問題
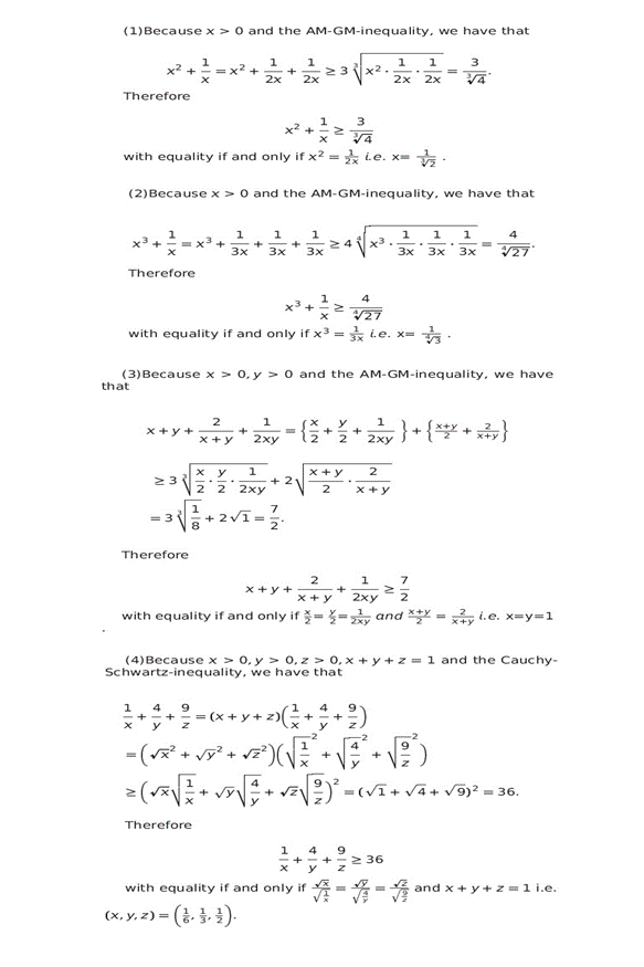
(1)
x^2+1/x
=x^2+1/(2x)+1/(2x)
>=3*(1/2)^(2/3)
等号はx^2=1/(2x)…2x^3=1…x=(1/2)^(1/3) のとき、Min=3*(1/2)^(2/3)
(2)
x^3+1/(3x)+1/(3x)+1/(3x)
>=4(1/3)^(3/4)
等号は x^3=1/(3x)…x=(1/3)^(1/4) のとき、Min=4*(1/3)^(3/4)
(3)
(1/2)(x+y)+2/(x+y)+x/2+y/2+1/(2xy)
>=2+3/2=7/2
等号は(x+y)/2=2/(x+y) かつ x/2=y/2=1/(2xy)…xy/4=1/(4(xy)^2)…xy=1
So…x+y=2,xy=1…x=y=1 のとき
Min=7/2
(4)コーシー・シュワルツの不等式で
(x+y+z)=((√x)^2+(√y)^2+(√z)^2)((1/√x)^2+(2/√y)^2+(3/√z)^2)
>=(1+2+3)^2
x:y:z=1:2:3
x=1/6,y=1/3,z=1/2
6+12+18=36
Min=36
問題1
f(x)=(x1+x)(x2+x)(x3+x)(x4+x)
x1x2x3x4=X, x1x2x3+…+x2x3x4=Y, x1x2+…+x3x4=Z, x1+x2+x3+x4=W
と置くと
f(1)=X+Y+Z+W+1=2024
f(2)=X+2Y+4Z+8W+16=2025
f(3)=X+3Y+9Z+27W+81=2026
f(4)=X+4Y+16Z+64W+256=2027
より
X=2047, Y=-49, Z=35, W=-10
So…
f(5)=X+5Y+25Z+125W+625=2047+5*(-49)+25*35+125*(-10)+625=2052
問題2
under consideration...
問題3
(x+y)(x^2-xy+y^2)
=(x+y)((x+y)^2-3xy)
x+y=2
4-3xy=3…xy=1/3
(x+y)^2-4xy=4-4/3=8/3
(x-y)^2=8/3
x+y=2
x-y=2√2/√3
x=1+√2/√3=1+√6/3
y=1-√6/3
実際に、
(1+√6/3)^3+(1-√6/3)^3
=1+2*(6/3)+1
=6
<水の流れ:問題文のx、yは有理数です。x、yが無理数なら正解です>
NO3「よふかしのつらいおじさん」 2/9 21時13分
受信 更新 3/3
寄せられた問題の解答です
NO4「kasama」
2/10
01時59分 受信 更新 3/3
寄せられた問題の1回目の解答です
NO5「二度漬け白菜」
2/10
18時07分 受信 更新 3/3
(追加問題の解答)
[問題 1]
求める値は,2052(答)
tについての4次の整式F(t)を次のように決める.
F(t)=(t+1+x_1)*(t+1+x_2)*(t+1+x_3)*(t+1+x_4).
問題文で与えられた4つの条件式は次のようにかける.
F(0)=2024,
F(1)=2025,
F(2)=2026,
F(3)=2027.
以上の条件のもとに,F(4)の値を求めればよい.
F(t)は最高次の係数が1であるような4次の整式であるから,
F(t)=t*(t-1)*(t-2)*(t-3)+a*t*(t-1)*(t-2)+b*t*(t-1)+c*t+d
とおける.
F(0)=2024,F(1)=2025,F(2)=2026,F(3)=2027 であるから,
d=2024,c=1,b=0,a=0 であることが判る.
すなわち,
F(t)=t*(t-1)*(t-2)*(t-3)+t+2024.
よって,
F(4)=4!+4+2024=2052.(答)
[問題 2]
(与式)=2023
(答)
α=(2023/2024) とおく.
(2023^k)*(2024^k)/((2024^k-2023^k)*(2024^(k+1)-2023^(k+1)))
=1/(1-α^k) - 1/(1-α^(k+1))
である. よって,
(与式)
=Σ[k=1〜∞](1/(1-α^k) - 1/(1-α^(k+1)))
=lim[N→∞]Σ[k=1〜N](1/(1-α^k) - 1/(1-α^(k+1)))
=lim[N→∞](1/(1-α) - 1/(1-α^(N+1)))
=1/(1-α) - 1
=2024-1
=2023.
[問題 3]
x^3+y^3=6を満たす有理数の組(x,y)の一つは,
(x, y)=(17/21, 37/21) (答)
上記以外の組としては,
(x, y)=(2237723/960540, -1805723/960540),
(x, y)=(209143555850753/112490043311709, -84691068680987/112490043311709),
(x, y)=(29835171298114433945011441/16418498901144294337512360, -1276454530530789553459441/16418498901144294337512360)
などがある.
この[問題3]に関して,次のような興味深い記事を見つけました.
https://www.jstor.org/stable/2691526
「A^3/B^3 + C^3/D^3 = 6 を満たすような100未満の正整数
A,B,C,Dを見つけなさい.さらに100を超えるようなものは
果たして存在するのか?」という問題に,450ポンドの賞金
が懸けられていたようです.
<水の流れ:情報ありがとうございます。>
NO5「日曜数学者」
2/17
21時36分 受信 更新 3/3
*追加問題の問題1の解答です。
*
*連立代数方程式の解を求めることは、複数の多項式の共通の霊点を求めることと同値なので、*
*その多項式系のGroebner基底を計算すると簡単に解けることが多いです。*
*
(x1+1)*(x2+1)*(x3+1)*(x4+1)=2024,
(x1+2)*(x2+2)*(x3+2)*(x4+2)=2025,
(x1+3)*(x2+3)*(x3+3)*(x4+3)=2026,
(x1+4)*(x2+4)*(x3+4)*(x4+4)=2027,
(x1+5)*(x2+5)*(x3+5)*(x4+5)=c
とする。
Asir2000によって、多項式環Q[x1,x2,x3,x4,c]上で、
[(x1+1)*(x2+1)*(x3+1)*(x4+1)-2024,
(x1+2)*(x2+2)*(x3+2)*(x4+2)-2025, (x1+3)*(x2+3)*(x3+3)*(x4+3)-2026,
(x1+4)*(x2+4)*(x3+4)*(x4+4)-2027, (x1+5)*(x2+5)*(x3+5)*(x4+5)-c]
のGroebner基底を求めると、
[c-2052,-x1-x2-x3-x4-10,x2^2+(x3+x4+10)*x2+x3^2+(x4+10)*x3+x4^2+10*x4+35,
x3^3+(x4+10)*x3^2+(x4^2+10*x4+35)*x3+x4^3+10*x4^2+35*x4+49,
x4^4+10*x4^3+35*x4^2+49*x4+2047]
となる。
よって、c-2052=0 つまり c=2052である。
[Asir2000による計算結果]
This is Risa/Asir, full GMP Version
20200109 (Kobe Distribution).
Copyright (C) 1994-2000, all rights
reserved, FUJITSU LABORATORIES LIMITED.
Copyright 2000-2019, Risa/Asir committers, http://www.openxm.org/.
GC 7.4.2 copyright 1988-2015, H-J. Boehm,
A. J. Demers, Xerox, SGI, HP.
[0] load("gr");
[107] F1=(x1+1)*(x2+1)*(x3+1)*(x4+1)-2024;
(((x4+1)*x3+x4+1)*x2+(x4+1)*x3+x4+1)*x1+((x4+1)*x3+x4+1)*x2+(x4+1)*x3+x4-2023
[108] F2=(x1+2)*(x2+2)*(x3+2)*(x4+2)-2025;
(((x4+2)*x3+2*x4+4)*x2+(2*x4+4)*x3+4*x4+8)*x1+((2*x4+4)*x3+4*x4+8)*x2+(4*x4+8)*x3+8*x4-2009
[109] F3=(x1+3)*(x2+3)*(x3+3)*(x4+3)-2026;
(((x4+3)*x3+3*x4+9)*x2+(3*x4+9)*x3+9*x4+27)*x1+((3*x4+9)*x3+9*x4+27)*x2+(9*x4+27)*x3+27*x4-1945
[110] F4=(x1+4)*(x2+4)*(x3+4)*(x4+4)-2027;
(((x4+4)*x3+4*x4+16)*x2+(4*x4+16)*x3+16*x4+64)*x1+((4*x4+16)*x3+16*x4+64)*x2+(16*x4+64)*x3+64*x4-1771
[111] F5=(x1+5)*(x2+5)*(x3+5)*(x4+5)-c;
-c+(((x4+5)*x3+5*x4+25)*x2+(5*x4+25)*x3+25*x4+125)*x1+((5*x4+25)*x3+25*x
-c+4+125)*x2+(25*x4+125)*x3+125*x4+625
[112] gr([F1,F2,F3,F4,F5],[x1,x2,x3,x4,c],0);
[c-2052,-x1-x2-x3-x4-10,x2^2+(x3+x4+10)*x2+x3^2+(x4+10)*x3+x4^2+10*x4+35,x3^3+(x4+10)*x3^2+(x4^2+10*x4+35)*x3+x4^3+10*x4^2+35*x4+49,x4^4+10*x4^3+35*x4^2+4
9*x4+2047]
[113]quit;
--------------------------------------------------
*おまけ(一般化)です。*
*2024,2025,2026,2027を定数a,b,c,dで置き換えて、
*
*(x1+1)*(x2+1)*(x3+1)*(x4+1)=a,
(x1+2)*(x2+2)*(x3+2)*(x4+2)=b,
(x1+3)*(x2+3)*(x3+3)*(x4+3)=c,
(x1+4)*(x2+4)*(x3+4)*(x4+4)=d,
(x1+5)*(x2+5)*(x3+5)*(x4+5)=e
とするとき、eを求める。
Asir2000によって、多項式環Q[x1,x2,x3,x4,e]上で、
[(x1+1)*(x2+1)*(x3+1)*(x4+1)-a,
(x1+2)*(x2+2)*(x3+2)*(x4+2)-b,
(x1+3)*(x2+3)*(x3+3)*(x4+3)-c,
(x1+4)*(x2+4)*(x3+4)*(x4+4)-d,
(x1+5)*(x2+5)*(x3+5)*(x4+5)-e]
のGroebner基底を求めると、
[a-4*b+6*c-4*d+e-24,
-a+3*b-3*c+d-6*x1-6*x2-6*x3-6*x4-60,
(x2+x3+x4+9)*a+(-3*x2-3*x3-3*x4-24)*b+(3*x2+3*x3+3*x4+21)*c+(-x2-x3-x4-6)*d+6*x2^2+(6*x3+6*x4+60)*x2+6*x3^2+(6*x4+60)*x3+6*x4^2+60*x4+210,
(x3^2+(x4+9)*x3+x4^2+9*x4+26)*a+(-3*x3^2+(-3*x4-24)*x3-3*x4^2-24*x4-57)*b+(3*x3^2+(3*x4+21)*x3+3*x4^2+21*x4+42)*c+(-x3^2+(-x4-6)*x3-x4^2-6*x4-11)*d+6*x3^3+(6*x4+60)*x3^2+(6*x4^2+60*x4+210)*x3+6*x4^3+60*x4^2+210*x4+300,
(x4^3+9*x4^2+26*x4+24)*a+(-3*x4^3-24*x4^2-57*x4-36)*b+(3*x4^3+21*x4^2+42*x4+24)*c+(-x4^3-6*x4^2-11*x4-6)*d+6*x4^4+60*x4^3+210*x4^2+300*x4+144]
となる。
よって、a-4*b+6*c-4*d+e-24=0 より、
e=-a+4*b-6*c+4*d+24
である。
[Asir2000による計算結果]
This is Risa/Asir, full GMP Version
20200109 (Kobe Distribution).
Copyright (C) 1994-2000, all rights
reserved, FUJITSU LABORATORIES LIMITED.
Copyright 2000-2019, Risa/Asir committers, http://www.openxm.org/.
GC 7.4.2 copyright 1988-2015, H-J. Boehm,
A. J. Demers, Xerox, SGI, HP.
[0] load("gr");
[107] F1=(x1+1)*(x2+1)*(x3+1)*(x4+1)-a;
-a+(((x4+1)*x3+x4+1)*x2+(x4+1)*x3+x4+1)*x1+((x4+1)*x3+x4+1)*x2+(x4+1)*x3
-a++x4+1
[108] F2=(x1+2)*(x2+2)*(x3+2)*(x4+2)-b;
-b+(((x4+2)*x3+2*x4+4)*x2+(2*x4+4)*x3+4*x4+8)*x1+((2*x4+4)*x3+4*x4+8)*x2
-b++(4*x4+8)*x3+8*x4+16
[109] F3=(x1+3)*(x2+3)*(x3+3)*(x4+3)-c;
-c+(((x4+3)*x3+3*x4+9)*x2+(3*x4+9)*x3+9*x4+27)*x1+((3*x4+9)*x3+9*x4+27)*
-c+x2+(9*x4+27)*x3+27*x4+81
[110] F4=(x1+4)*(x2+4)*(x3+4)*(x4+4)-d;
-d+(((x4+4)*x3+4*x4+16)*x2+(4*x4+16)*x3+16*x4+64)*x1+((4*x4+16)*x3+16*x4
-d++64)*x2+(16*x4+64)*x3+64*x4+256
[111] F5=(x1+5)*(x2+5)*(x3+5)*(x4+5)-e;
-e+(((x4+5)*x3+5*x4+25)*x2+(5*x4+25)*x3+25*x4+125)*x1+((5*x4+25)*x3+25*x
-e+4+125)*x2+(25*x4+125)*x3+125*x4+625
[112]
gr([F1,F2,F3,F4,F5],[x1,x2,x3,x4,e],0);
[a-4*b+6*c-4*d+e-24,-a+3*b-3*c+d-6*x1-6*x2-6*x3-6*x4-60,(x2+x3+x4+9)*a+(-3*x2-3*x3-3*x4-24)*b+(3*x2+3*x3+3*x4+21)*c+(-x2-x3-x4-6)*d+6*x2^2+(6*x3+6*x4+60)*
x2+6*x3^2+(6*x4+60)*x3+6*x4^2+60*x4+210,(x3^2+(x4+9)*x3+x4^2+9*x4+26)*a+
x2+(-3*x3^2+(-3*x4-24)*x3-3*x4^2-24*x4-57)*b+(3*x3^2+(3*x4+21)*x3+3*x4^2
x2++21*x4+42)*c+
(-x3^2+(-x4-6)*x3-x4^2-6*x4-11)*d+6*x3^3+(6*x4+60)*x3^2+(6*x4^2+60*x4+210)*x3+6*x4^3+60*x4^2+210*x4+300,(x4^3+9*x4^2+26*x4+24)*a+(-3*x4^3-24*x4^2-57*x4-36
)*b+(3*x4^3+21*x4^2+42*x4+24)*c+(-x4^3-6*x4^2-11*x4-6)*d+6*x4^4+60*x4^3+210*x4^2+300*x4+144]
[113] quit;
==============================
*追加問題の問題3の解答です。
*
*x^3+y^3=6の有理数解(x,y)で最も簡単なものは、*
* (37/21,17/21), (17/21,37/21)*
*である。*
*有理数解(楕円曲線の有理点)の一般的な求め方は、以下のURLを参照ください。*
*http://www.kaynet.or.jp/~kay/misc/nna2.html*
NO6「日曜数学者」
2/25
16時21分 受信 更新 3/15

<水の流れ:英語の投稿は初めてです。大学4年時、ゼミのテキスト以来でして翻訳に試みました。なぜか学生気分になり懐かしい。>
NO6「三角定規」 02/22 16時04分 受信 更新 3/3
寄せられた問題の1回目の解答です
「水の流れ」
更新 3/3

皆さん、問題や質問に答えてください。一部でも構いませんから, 解答とペンネームを添えて, メールで送ってください。待っています。