令和6年2月18日
[流れ星]
第437回数学的な連続応募問題
<解答募集期間:2月18日〜3月17日>
「和算5題]
今までの流れと異なります。4つ目の奉納算額を考えていまして、この中に入れる予定の算題です。
問題1

勾股図の如く方を容れる 只云
甲積五十四歩 乙積九十六歩
勾股各何程と問
勾股は直角三角形
方は正方形
答曰 勾二十一寸 股二十八寸
問題2
勾股図の如く楕円を容れる 只云 股八寸 長径四寸
短径二寸
勾何程と問
答曰 勾三寸
問題3
直線の上に図の如く四円を載せる 只云 甲円径二十五寸 丙円径一寸
乙丁円径各何程と問
但し各寸位にとどまり
円径は円の直径
答曰 乙円径九寸 丁円径四寸
問題4
楕円内に図の如く甲円乙円
各二個を容れる 全て大なる
乙円といえども基周が長径の端
につく 只云長径一寸
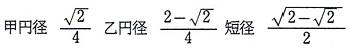
甲径 乙径 短径何程と問
答曰 ![]()
<水の流れ:和算家は無理数の表現を知らないので,現代風な答とする>
問題5
楕円内に図の如く大円小円各二個を容れる 只云長径八寸 短径四寸
大円径何ほどと問
答曰 大円径 三寸
出典 坂部廣胖「算法點竄指南録」(1815年)を近畿和算ゼミナール報告集
注釈・解説 小寺裕 著から
皆さん、問題や質問に答えてください。一部でも構いませんから, 解答とペンネームを添えて, メールで送ってください。待っています。