令和6年8月18日
[流れ星]
第444回数学的な連続応募解答
<解答募集期間:7月21日〜8月18日>
[定積分の裏技]

追加問題(出題者は「ジョーカー」)
新シリーズ(正三角形の辺や円弧によって囲まれる図形内の3円の半径について)8・9問目終了
問題1

問題2

NO1「ジョーカー」 7/21 19時23分 受信 更新 8/18
寄せられた解答です
NO2「kasama」
7/30 23時43分 受信
更新 8/18
寄せられた解答です
NO3「二度漬け白菜」 8/04 09時55分
受信 更新 8/18
第444回数学的な応募問題 「定積分の裏技」の解答:
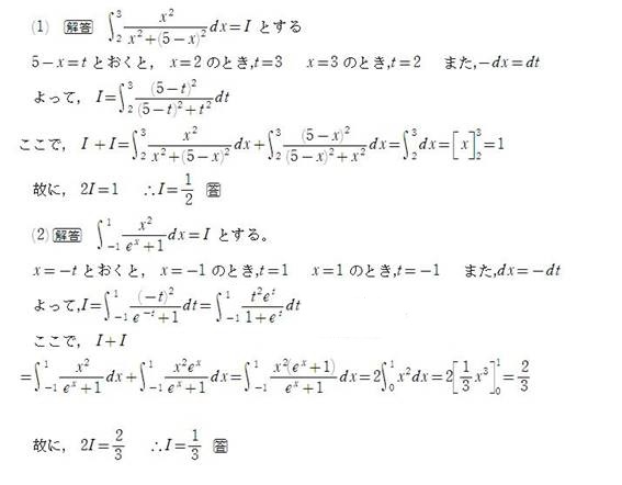
(1)(与式)=1/2 (答)
(与式)=A とおく.
A=∫_[x=2,3](x^2/(x^2+(5-x)^2))dx
=-∫_[u=3,2]((5-u)^2/((5-u)^2+u^2))du (x=5-uと置換)
=∫_[u=2,3]((5-u)^2/((5-u)^2+u^2))du
=∫_[x=2,3]((5-x)^2/((5-x)^2+x^2))dx.
よって,
2*A=∫_[x=2,3](x^2/(x^2+(5-x)^2))dx + ∫_[x=2,3]((5-x)^2/((5-x)^2+x^2))dx
=∫_[x=2,3](x^2/(x^2+(5-x)^2) + (5-x)^2/((5-x)^2+x^2))dx =∫_[x=2,3]dx =1.
よって,A=1/2.
(2)(与式)=1/3 (答)
(与式)=A とおく.
A=∫_[x=-1,1](x^2/(exp(x)+1))dx
=-∫_[u=1,-1]((-u)^2/(exp(-u)+1))du (x=-uと置換)
=∫_[u=-1,1](u^2*exp(u)/(1+exp(u)))du
=∫_[x=-1,1](x^2*exp(x)/(1+exp(x)))dx.
よって,
2*A=∫_[x=-1,1](x^2/(exp(x)+1))dx + ∫_[x=-1,1](x^2*exp(x)/(1+exp(x)))dx
=∫_[x=-1,1](x^2/(exp(x)+1)+x^2*exp(x)/(1+exp(x)))dx
=∫_[x=-1,1](x^2)dx
=2/3.
よって,A=1/3.
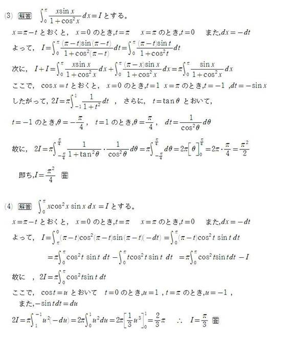
(3)(与式)=π^2/4 (答)
(与式)=A とおく.
A=∫_[x=0,π](x*sin(x)/(1+(cos(x))^2))dx
=-∫_[u=π,0]((π-u)*sin(π-u)/(1+(cos(π-u))^2))du (x=π-uと置換)
=∫_[u=0,π]((π-u)*sin(u)/(1+(-cos(u))^2))du
=∫_[u=0,π]((π-u)*sin(u)/(1+(cos(u))^2))du
=π*∫_[u=0,π](sin(u)/(1+(cos(u))^2))du - ∫_[u=0,π](u*sin(u)/(1+(cos(u))^2))du
=π*∫_[u=0,π](sin(u)/(1+(cos(u))^2))du - A.
よって,
2*A=π*∫_[u=0,π](sin(u)/(1+(cos(u))^2))du
=π*[-Arctan(cos(x))]_[0,π]
=π*(-Arctan(-1)+Arctan(1))
=π*(-(-π/4)+(π/4))
=π^2/2.
よって,A=π^2/4.
(4)(与式)=π/3 (答)
(与式)=A とおく.
A=∫_[x=0,π](x*(cos(x))^2*sin(x))dx
= -∫_[u=π,0]((π-u)*(cos(π-u))^2*sin(π-u))du (x=π-uと置換)
=∫_[u=0,π]((π-u)*(cos(u))^2*sin(u))du
=π*∫_[u=0,π]((cos(u))^2*sin(u))du - ∫_[u=0,π](u*(cos(u))^2*sin(u))du =π*∫_[u=0,π]((cos(u))^2*sin(u))du - A.
よって,
2*A=π*∫_[u=0,π]((cos(u))^2*sin(u))du
=(π/4)*∫_[u=0,π](sin(u)+sin(3*u))du
=2*π/3.
よって,A=π/3.
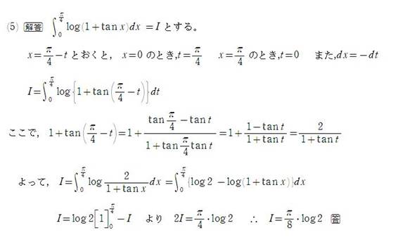
(5)(与式)=(π/8)*log(2) (答)
(与式)=A とおく.
A=∫_[x=0,π/4]log(1+tan(x))dx
=-∫_[u=π/4,0]log(1+tan(π/4-u))du (x=π/4-uと置換)
=∫_[u=0,π/4]log(1+tan(π/4-u))du
=∫_[u=0,π/4]log(1+(1-tan(u))/(1+tan(u)))du
=∫_[u=0,π/4]log(2/(1+tan(u)))du
=∫_[u=0,π/4]log(2)du - ∫_[u=0,π/4]log(1+tan(u))du =∫_[u=0,π/4]log(2)du - A.
よって,
2*A=∫_[u=0,π/4]log(2)du
=log(2)*(π/4).
よって,A=log(2)*(π/8).
[追加問題 1]
甲円の半径は, (1/25)*(3*6^(1/2)-2) ,
乙円の半径は,
(1/1837)*(468*2^(1/2)+930-516*3^(1/2)-153*6^(1/2)) (答)
甲円の半径をr,乙円の半径をRとする.
xy直交座標上を設定して考える.
A(0,(1/2)*3^(1/2)),
B(-1/2,0),
C(1/2,0)
となるように座標を設定する.
点(0,-(1/2)*3^(1/2))をDとする.
その中心が点Cに近い方の甲円の中心をE,
乙円の中心をFとする.
Eの座標は, E(r,t),
Fの座標は, F(0,s) とおくことができる.
(DE)^2=(1+r)^2 であるから,
r^2+(t+(1/2)*3^(1/2))^2=(1+r)^2 ---(1)
(BE)^2=(1-r)^2 であるから,
(r+1/2)^2+t^2=(1-r)^2 ---(2)
(FE)^2=(R+r)^2 であるから,
r^2+(t-s)^2=(R+r)^2 ---(3)
(BF)^2=(1-R)^2 であるから,
(1/2)^2+s^2=(1-R)^2 ---(4)
(1),(2),(3),(4)を解いて,
t=(6*2^(1/2)-3*3^(1/2))/10,
r=(1/25)*(3*6^(1/2)-2),
R=(1/1837)*(468*2^(1/2)+930-516*3^(1/2)-153*6^(1/2)),
s=(1/3674)*(640*6^(1/2)+1068*2^(1/2)+144-471*3^(1/2))
を得る.
[追加問題 2]
甲円の半径は, 1/6,
乙円の半径は, 14-8*3^(1/2) (答)
甲円の半径をr,乙円の半径をRとする.
xy直交座標上を設定して考える.
A(0,(1/2)*3^(1/2)),
B(-1/2,0),
C(1/2,0)
となるように座標を設定する.
点(1,(1/2)*3^(1/2))をDとする.
その中心が点Cに近い方の甲円の中心をE,
乙円の中心をFとする.
Eの座標は, E(r,t),
Fの座標は, F(0,s) とおくことができる.
(DE)^2=(1+r)^2 であるから,
(1-r)^2+((1/2)*3^(1/2)-t)^2=(1+r)^2 ---(1)
(AE)^2=(1-r)^2 であるから,
r^2+((1/2)*3^(1/2)-t)^2=(1-r)^2 ---(2)
(FE)^2=(R+r)^2 であるから,
r^2+(t-s)^2=(R+r)^2 ---(3)
(DF)^2=(1+R)^2 であるから,
1^2+((1/2)*3^(1/2)-s)^2=(1+R)^2 ---(4)
(1),(2),(3),(4)を解いて,
t=(3*3^(1/2)-2*6^(1/2))/6,
s=(1/2)*3^(1/2)+10*2^(1/2)-6*6^(1/2),
r=1/6,
R=14-8*3^(1/2)
を得る.
(以上)
NO4「よふかしのつらいおじさん」8/12 21時00分 受信 更新 8/18
寄せられた解答です
NO5「三角定規」 8/13 21時52分 受信 更新 8/18
寄せられた解答です
「水の流れ」
更新 8/18



皆さん、問題や質問に答えてください。一部でも構いませんから, 解答とペンネームを添えて, メールで送ってください。待っています。