令和6年9月15日
[流れ星]
第445回数学的な連続応募解答
<解答募集期間:8月18日〜9月15日>
[定積分(2)]
問題

追記 (4)のnは正の整数(自然数)とする。
追加問題(出題者は「ジョーカー」)
新シリーズ(正三角形の辺や円弧によって囲まれる図形内の4個の甲円の半径について)1,2,3問
問題1

問題2

問題3

「ジョーカー」 8/18 20時29分
受信 更新 9/15
寄せられた解答です
「スモークマン」 8/20 18時07分 受信 更新 9/15


「スモークマン」 8/24 19時45分 受信 更新 9/15

NO3「kasama」
8/28 00時59分
受信 更新 9/15
寄せられた解答です
<水の流れ:問題(1)の積分区間の見間違いからの誤答>
「kasama」
8/29 17時34分
受信 更新 9/15
問題(1)の訂正が送られた解答です
NO4「よふかしのつらいおじさん」 8/31 20時38分 受信 更新 9/15
寄せられた解答です
NO5「二度漬け白菜」 9/07 09時11分 受信 更新 9/15
第445回数学的な応募問題 「定積分 (2)」の解答:
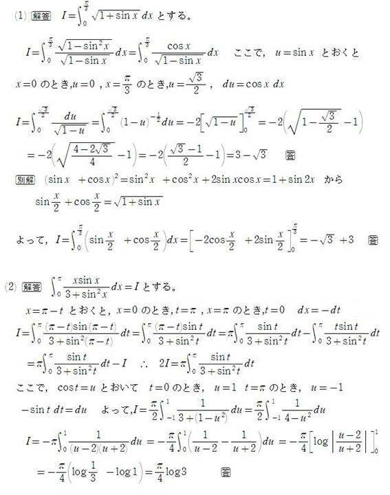
(1)(与式)=3-3^(1/2) (答)
(与式)
=∫_[x=0,π/3](1+sin(x))^(1/2)dx
=∫_[u=π/6,π/2](1+cos(u))^(1/2)du (x=π/2-uと置換)
=∫_[u=π/6,π/2](2*(cos(u/2))^2)^(1/2)du
=2^(1/2)*∫_[x=π/6,π/2]cos(u/2)du
=2*2^(1/2)*[sin(u/2)]_[π/6,π/2]
=3-3^(1/2).
(2)(与式)=(π/4)*log(3) (答)
(与式)=A とおく.
A=∫_[x=0,π](x*sin(x)/(3+(sin(x))^2))dx
=∫_[x=0,π](x*sin(x)/(4-(cos(x))^2))dx
=∫_[u=0,π]((π-u)*sin(u)/(4-(cos(u))^2))du (x=π-uと置換)
=π*∫_[u=0,π]sin(u)/(4-(cos(u))^2)du - ∫_[u=0,π]u*sin(u)/(4-(cos(u))^2)du
=π*∫_[u=0,π]sin(u)/(4-(cos(u))^2)du - A.
よって,
2*A=π*∫_[u=0,π]sin(u)/(4-(cos(u))^2)du
=π*(1/4)*∫_[u=0,π](sin(u)/(2-cos(u))+sin(u)/(2+cos(u)))du
=(π/4)*[log(2-cos(u))-log(2+cos(u))]_[0,π]
=(π/4)*2*log(3).
よって,A=(π/4)*log(3).
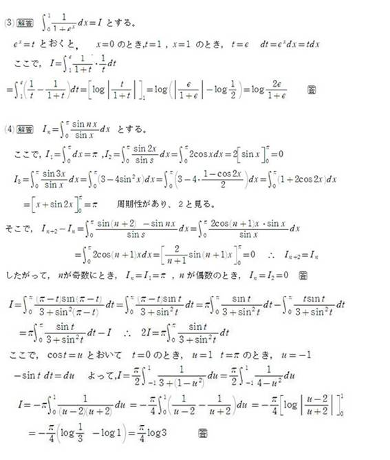
(3)(与式)=1+log(2)-log(1+exp(1)) (答)
(与式)=∫_[x=0,1]1/(1+exp(x))dx
=∫_[u=-1,0]1/(1+exp(-u))du
(x=-uと置換)
=∫_[u=-1,0]exp(u)/(exp(u)+1)du
=[log(exp(u)+1)]_[-1,0]
=1+log(2)-log(1+exp(1)).
(4)
・nが偶数のとき:(与式)=0
・nが奇数のとき:(与式)=π (答)
まず,次の等式を証明する.
sin(x)≠0のとき,
Σ[k=0〜n-1]cos((2*k+1-n)*x)=sin(n*x)/sin(x).
(証明)
2*sin(x)*Σ[k=0〜n-1]cos((2*k+1-n)*x)
=Σ[k=0〜n-1]2*cos((2*k+1-n)*x)*sin(x)
=Σ[k=0〜n-1]2*sin(π/2+(2*k+1-n)*x)*sin(x)
=Σ[k=0〜n-1](cos(π/2+(2*k-n)*x)-cos(π/2+(2*k+2-n)*x))
=cos(π/2-n*x)-cos(π/2+n*x)
=2*sin(π/2)*sin(n*x)
=2*sin(n*x).
よって,Σ[k=0〜n-1]cos((2*k+1-n)*x)=sin(n*x)/sin(x). (証明終)
この等式を使えば,与式は次のように計算できる.
・nが偶数のとき:
(与式)=∫_[x=0,π](sin(n*x)/sin(x))dxy
=∫_[x=0,π](Σ[k=0〜n-1]cos((2*k+1-n)*x))dx
=[Σ[k=0〜n-1](1/(2*k+1-n))*sin((2*k+1-n)*x)]_[0,π]
=0.
・nが奇数のとき:
(与式)=∫_[x=0,π](sin(n*x)/sin(x))dx
=∫_[x=0,π](Σ[k=0〜n-1]cos((2*k+1-n)*x))dx
=[Σ[k=0〜n-1,k≠(n-1)/2](1/(2*k+1-n))*sin((2*k+1-n)*x)]_[0,π]
+[cos(0)*x]_[0,π]
=0+cos(0)*(π-0)
=π.
(5)(与式)=(π/4)+(1/2)*log(2) (答)
(与式)
=[log(sin(x))-x*cos(x)/sin(x)]_[π/4,π/2]=
=(π/4)+(1/2)*log(2).
[追加問題 1]
甲円の半径は,(1/12)*3^(1/2) (答)
甲円の半径をrとする.
xy直交座標を設定して考える.
A(0,0),
B((1/2)*3^(1/2),-1/2),
C((1/2)*3^(1/2),1/2)
となるように座標を設定する.
その中心が点Aに最も近い甲円をD,
甲円Dに接する甲円をEとする.
甲円Dの中心の座標は,D(2*r,0),
甲円Eの中心Eは,対称性により,三角形ABCの重心であるから,E((1/3)*3^(1/2),0).
DE=2*r であるから,AE=AD+DE=(2*r)+(2*r)=4*r.
よって,r=(1/4)*AE=(1/12)*3^(1/2).
[追加問題 2]
甲円の半径は,((2*3^(1/2)+10)/27)^(1/2)-(1/9)*(3)^(1/2)-1/3 (答)
甲円の半径をrとする.
xy直交座標を設定して考える.
A(0,0),
B((1/2)*3^(1/2),-1/2),
C((1/2)*3^(1/2),1/2)
となるように座標を設定する.
その中心が点Aに最も近い甲円をD,
甲円Dに接する甲円をEとする.
甲円Eの中心Eは,対称性により,三角形ABCの重心であるから,E((1/3)*3^(1/2),0).
甲円Dの中心の座標は,D((1/3)*3^(1/2)-2*r,0).
CD+r=1であるから,(CD)^2=(1-r)^2.
よって,((1/6)*3^(1/2)+2*r)^2+(1/2)^2=(1-r)^2.
これを解いて,r=((2*3^(1/2)+10)/27)^(1/2)-(1/9)*(3)^(1/2)-1/3.
[追加問題 3]
甲円の半径は,(-2/3)*((1/3)*(3^(1/2)+1))^(1/2)+(2/9)*3^(1/2)+1/3 (答)
甲円の半径をrとする.
xy直交座標を設定して考える.
A(0,0),
B((1/2)*3^(1/2),-1/2),
C((1/2)*3^(1/2),1/2)
となるように座標を設定する.
また,点(0,1)をFとする.
その中心が点Aに最も近い甲円をD,
甲円Dに接する甲円をEとする.
甲円Eの中心Eは,対称性により,三角形ABCの重心であるから,E((1/3)*3^(1/2),0).
甲円Dの中心Dの座標は,D((1/3)*3^(1/2)-2*r,0).
FD=1+rであるから,(FD)^2=(1+r)^2.
よって,((1/3)*3^(1/2)-2*r)^2+1^2=(1+r)^2.
これを解いて,r=(-2/3)*((1/3)*(3^(1/2)+1))^(1/2)+(2/9)*3^(1/2)+1/3.
(以上)
NO6「三角定規」
9/07 20時23分 受信 更新 9/15
寄せられた解答です
今回,(2)の積分にやや手こずりましたが,Wolfram の助けも借り
試行錯誤していたら,なんとか出来ました。
<水の流れ:前回同様グラフがあり求める面積が鮮明で分かりやすいです>
「水の流れ」 更新 9/15


皆さん、問題や質問に答えてください。一部でも構いませんから, 解答とペンネームを添えて, メールで送ってください。待っています。