令和6年9月15

[流れ星]

  第446数学的な連続応募問題

   <解答募集期間:915日〜1013日>

図形と式]

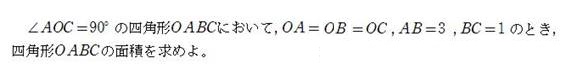
問題1  image002 

 

問題2 東京大学入試問題の類題 

(代々木ゼミナール最高難度の理系数学 荻野暢也 著)

 

追加問題(出題者は「ジョーカー」)

新シリーズ(正三角形の辺や円弧によって囲まれる図形内の4個の甲円の半径について,5問目で終了

 

問題1

 

問題2

 

 

 

 

皆さん、問題や質問に答えてください一部でも構いませんから, 解答とペンネームを添えて, メールで送ってください。待っています。