令和6年10月13日
[流れ星]
第446回数学的な連続応募解答
<解答募集期間:9月15日〜10月13日>
[図形と式]
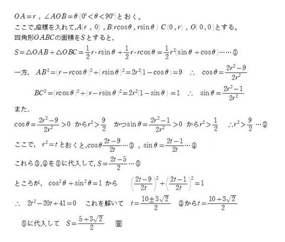
問題1

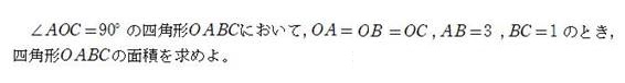
問題2 東京大学入試問題の類題
(代々木ゼミナール最高難度の理系数学 荻野暢也 著)

追加問題(出題者は「ジョーカー」)
新シリーズ(正三角形の辺や円弧によって囲まれる図形内の4個の甲円の半径について)4,5問目で終了
問題1

問題2

NO1「スモークマン」 9/15 15時01分 受信 更新 10/13


「スモークマン」 9/15 22時01分 受信 更新 10/13
問題1
2x^2(1-cosα)=3^2
2x^2(1-cos(90-α))=2x^2(1-sinα)=1
(1-9/2y)^2+(1-1/2y)^2=1
y=x^2=5±3√2/2
cos(α)=(27√2-8)/82・・・x^2=5+3√2/2
x^2=5-3√2/2 のときは cos(α)<0 で不適
sin(α)=(3/82)(24+√2)
x^2*(sin(α)+cos(α))/2
=(5+3√2/2)*( (27√2-8)/82+(3/82)(24+√2))/2
=(5+3√2/2)*(32+15√2)/41
=(5+3√2)/2
問題2 東京大学入試問題の類題
(代々木ゼミナール最高難度の理系数学 荻野暢也 著)
88-2*26=36
AB=x,AD=y
x^2+y^2-2x*y*cosA=2*26^2*(1+cosA)=BD^2
2*(65/4)^2*(1-cosA)=26^2
cosA=-7/25
2*26^2*(1-7/25)= 24336/25
x+y=36
x^2+(36-x)^2+2x(36-x)(7/25)= 24336/25
x^2-36x+224=0
(x-8)(x-28)=0
so…
(AB,AD)=( 8,28) or (28,8)
NO2「ジョーカー」 9/15 17時25分 受信 更新 10/13
寄せられた解答です
NO3「kasama」
9/24 00時41分
受信 更新 10/13
寄せられた解答です
NO4「よふかしのつらいおじさん」9/28 21時31分 受信
更新 10/13
寄せられた解答です
N5「二度漬け白菜」 10/05 10時00分
受信 更新 10/13
第446回数学的な応募問題の解答:
[問題1]
四角形OABCの面積は,(5+3*√2)/2 (答)
以下では,△ABCの面積を[△ABC]というように表すことにする.
線分BAの中点をM,
線分BCの中点をN
とおく.
このとき,∠MON=45°である.
(∵∠MON = ∠BOM + ∠BON = (1/2)*∠BOA
+ (1/2)*∠BOC =(1/2)*(∠BOA + ∠BOC ) = (1/2)*∠AOC = 45°)
よって,∠MBN=360°-(45°+90°+90°)=135°.
△ABCに余弦定理を使って,
AC^2=3^2+1^2-2*3*1*cos(135°)=10+3*√2.
△AOCは∠AOC=90°の直角二等辺三角形であるから,
AO^2=(1/2)*AC^2.
[△AOC]=(1/2)*AO^2=(1/4)*AC^2=(10+3*√2)/4.
[△ABC]=(1/2)*3*1*sin(135°)=(3*√2)/4.
よって,
[四角形OABC]
=[△AOC]+[△ABC]
=(10+3*√2)/4 + (3*√2)/4
=(5+3*√2)/2.
[問題2]
AB=8,DA=28
または AB=28,DA=8 (答)
AB=x,r=65/4,四角形ABCDの外接円の中心を O,
∠OCB=θ とおく.
DA=36-x, cos(θ)=(26/2)/r=4/5
である.
△BCDに余弦定理を使って,
BD^2
=26^2+26^2-2*26*26*cos(2*θ)
=2*26^2*(1-cos(2*θ))
=4*26^2*(1-(cos(θ))^2)
=(2*26*(3/5))^2 ---(1)
△ABDに余弦定理を使って,
BD^2
=x^2+(36-x)^2-2*x*(36-x)*cos(180°-2*θ)
=x^2+(36-x)^2+2*x*(36-x)*cos(2*θ)
=x^2+(36-x)^2+2*x*(36-x)*(2*(cos(θ))^2-1)
=x^2+(36-x)^2+2*x*(36-x)*(2*(4/5)^2-1)
---(2)
(1),(2)より,
(2*26*(3/5))^2=x^2+(36-x)^2+2*x*(36-x)*(2*(4/5)^2-1).
これを解いて,x=8 or 28.
[追加問題1]
甲円の半径は,(-1+2*√7)/27 (答)
甲円の半径をrとする.
xy直交座標を設定して考える.
A(0,0),
B((1/2)*√3,-1/2),
C((1/2)*√3,1/2)
となるように座標を設定する.
その中心が点Aに最も近い甲円をD,
その中心が点Bに最も近い甲円をE,
甲円Dに接する甲円をF
とする.
円Dの中心Dの座標は,D(2*r,0).
円Fの中心Fの座標は,F(4*r,0).
y軸に平行で,かつ,円Fに接するような直線は2本ある.
この2本の直線のうち,点Aとの距離が大きいほうの直線を
Lとする.Lと直線AB,直線ACとの交点をそれぞれ,B',C'
とする.三角形AB'C'は正三角形である.
図形の対称性により,点F(4*r,0)は三角形AB'C'の重心であり,
∠DFE=120°,FE=FD=2*r.
これらより,Eの座標は,E(5*r,(-√3)*r).
AE=1-rが成り立つことから,28*r^2=(1-r)^2.
これを解いて,r=(-1+2*√7)/27.
[追加問題2]
甲円の半径は,(-(22+10*3^(1/2))^(1/2)+(1+5*3^(1/2)))/27 (答)
甲円の半径をrとする.
[追加問題1]と同じようにxy直交座標を設定して考え,
点A,B,C,D,E,Fの定義も同様にする.
G(√3,0)とする.
GE=1+rが成り立つことから,(5*r-√3)^2+((-√3)*r)^2=(1+r)^2.
これを解いて,r=(-(22+10*3^(1/2))^(1/2)+(1+5*3^(1/2)))/27.
(以上)
NO6「三角定規」
10/05
22時02分 受信 更新 10/13
寄せられた解答です
<コメント:私の解法はやや複雑な三角方程式を解くもので,
きたない無理数を覚悟したのですが,結果はすべてきれいな有理数。
東大入試の類題だそうですが,こんなきれいな数の関係,
発見者はかなりの試行錯誤を繰り返したことでしょうね! 脱帽です。>
<水の流れ:出題した図形に関係から、AB=8,AD=28も答になります。>
<水の流れ> 問題1


問題2

皆さん、問題や質問に答えてください。一部でも構いませんから, 解答とペンネームを添えて, メールで送ってください。待っています。