令和6年12月8日

[流れ星]

  第449数学的な連続応募問題

   <解答募集期間:128日〜1月5日>

[ガウス記号(1)

 

 問題

 

補足説明 実数xに対してxの整数部分を[x]で表す。

すなわち,[x]x<[x]+1 

 [ ]をガウス記号という。      128日午後 記

449回の問題

 

 

追加問題(出題者は「ジョーカー」) 新作シリーズ5,6問目

 

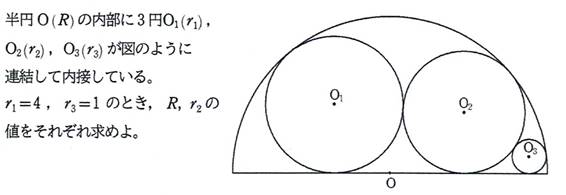
問題1

 

問題2

 

 

 

 

皆さん、問題や質問に答えてください一部でも構いませんから, 解答とペンネームを添えて, メールで送ってください。待っています。