令和7年1月5日
[流れ星]
第449回数学的な連続応募解答
<解答募集期間:12月8日〜1月5日>
[ガウス記号(1)]
問題
補足説明 実数xに対してxの整数部分を[x]で表す。
すなわち,[x]≦x<[x]+1
[ ]をガウス記号という。 12月8日午後 記

追加問題(出題者は「ジョーカー」) 新作シリーズ5,6問目
問題1

問題2

NO1「ジョーカー」 12/8 17時27分 受信 更新 1/5
寄せられた解答です
NO2「よふかしのつらいおじさん」 12/18 19時36分
受信 更新 1/5
寄せられた解答です
<コメント:今回の問題ははじめよくわかりませんでしたが、定義式を使うとあったので、使ってみたら考えが進められることが解りました。
こんなのは初めてのことだったので面白かったです。
追加問題2は初めcosγの式で始めました。
すると、rの12次方程式になりました。(実質10次)
これは歯がたたないと思いましたが、問題図の実際の長さを物差しで測って、
比例式で解いてみると、22ぐらいの値になりました。
それで、r-22で12次式を割ってみると、余りが0になり結構うれしかったです。
それで次数を下げるように考え、sinγの式にしました。この方が断然簡単でした。>
N3「二度漬け白菜」 12//22 14時16分 受信 更新 1/5
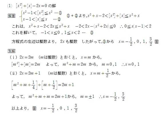
[問題1] x=-1/2,x=0,x=1,x=3/2 (答)
[x^2]+[x]-2*x=0 ---(A)
(A)を変形して,
x=([x^2]+[x])/2.
ここで,[x^2]+[x]
は整数であるから,
(A)を満たすようなxは,
x=m もしくは x=m+1/2
(mは整数)
の形にかけるものに限る.
・x=m の場合:
x=mを(A)に代入して,
[m^2]+[m]-2*m=0.
m^2-m=0.
m=0 および m=1.
・x=m+1/2 の場合:
x=m+1/2を(A)に代入して,
[(m+1/2)^2]+[m+1/2]-2*(m+1/2)=0.
[m^2+m+(1/4)]+[m+1/2]-2*(m+1/2)=0.
(m^2+m)+(m)-2*m-1=0.
m^2-1=0.
m=-1 および m=1.
[問題 2] x=-1 および
0≦x<1なるすべての実数 および
-3^(1/2)<x≦-2^(1/2) なるすべての実数
(答)
[x^2]+[x]=0 ---(A)
x=m+α (mは整数,αは0≦α<1なる実数) とおいて,
(A)に代入して,
[m^2+2*m*α+α^2]+[m+α]=0.
⇒ m^2+[2*m*α+α^2]+m=0.
⇒ [2*m*α+α^2]=-m^2-m ---(B)
ここで,m≧1なるmは,(B)を満たさない.
また,m=0は(B)を満たす.
以下,m≦-1 の場合を考える.
m=-M (Mは正整数)とおける.
x^2-1<[x^2] および[x^2]=-[x]とから,
x^2-1<-[x].
この不等式に
x=(-M+α) を代入して,
(-M+α)^2-1<M.
よって,M^2-2*M*α+α^2-1<M.
よって,M^2-2*M*α-M+α^2-1<0 ---(C)
ここで,
(M^2-2*M*α-M+α^2-1)≧(M^2-2*M*1-M+α^2-1)≧(M^2-3*M-1)であるから,
(C)と合わせて,
M^2-3*M-1<0. つまり,
M*(M-3)-1<0.
よって,M=1 or 2
or 3 である.
・M=1の場合:
m=-1を(B)に代入して,
[-2*α+α^2]=0.
0≦-2*α+α^2<1.
これを満たすαは,α=0
のみ.
・M=2の場合:
m=-2を(B)に代入して,
[-4*α+α^2]=-2.
-2≦-4*α+α^2<-1.
これを満たすαは,2-3^(1/2)<α≦2-2^(1/2).
・M=3の場合:
m=-3を(B)に代入して,
[-6*α+α^2]=-6.
-6≦-6*α+α^2<-5.
これを満たすα(0≦α<1) は,存在しない.
[問題3] x=0,
x=2^(1/2),x=3^(1/2), x=2 (答)
x^2=[2*x] ---(A)
[2*x]≦2*x および (A) とから,
x^2≦2*x.よって,0≦x≦2 ---(B)
よって,[2*x]の値として考えられるのは,
[2*x]=0,1,2,3,4である.
[2*x]=0の場合:
(A)より,x=0. x=0は[2*x]=0も満たす.
[2*x]=1の場合:
(A),(B)より,x=1. x=1は[2*x]=1を満たさない.
[2*x]=2の場合:
(A),(B)より,x=2^(1/2).
x=2^(1/2)は[2*x]=2も満たす.
[2*x]=3の場合:
(A),(B)より,x=3^(1/2).
x=3^(1/2)は[2*x]=3も満たす.
[2*x]=4の場合:
(A),(B)より,x=2. x=2は[2*x]=4も満たす.
[問題 4 ] x=-3*3^(1/2),x=-5,x=3
(答)
x^2+2*[x]-15=0 ---(A)
(A)を変形して,
[x]=(15-x^2)/2.
これと,(x-1)<[x]≦x とから,
(x-1)<(15-x^2)/2≦x.
これを解くと,
-1-3*2^(1/2)<x≦-5 または 3≦x<-1+3*2^(1/2).
ここで,
-1-3*2^(1/2)=-5.242…
-1+3*2^(1/2)=3.242…
であるから,[x]の値としてあり得るのは,
[x]=-6,-5,3 である.
・[x]=-6の場合:
[x]=-6を(A)に代入して,
x^2=27.
よって,x=-3*3^(1/2),3*3^(1/2)
となるが,
[x]=-6をみたすのは,x=-3*3^(1/2).
・[x]=-5の場合:
[x]=-5を(A)に代入して,
x^2=25.
よって,x=-5,5 となるが,
[x]=-5をみたすのは,x=-5.
・[x]=3の場合:
[x]=3を(A)に代入して,
x^2=9.
よって,x=-3,3 となるが,
[x]=3をみたすのは,x=3.
[問題 5] x=2 および x=46/7 および x=7 (答)
x*[x]+x-10*[x]+14=0 ---(A)
(A)を変形して,
(10-x)*[x]=14+x ---(B)
x≧10なるxは(B)を満たさない.
(x≧10なるとき,(10-x)*[x]≦0,14+x≧24.)
よって,x<10として考えればよい.
(B)より,[x]=(14+x)/(10-x).
この等式と,
x-1<[x]≦x とから,
x-1<(14+x)/(10-x)≦x.
これを解くと,
2≦x<4 または 6<x≦7.
よって,[x]の値として考えられるのは,
[x]=2,3,6,7である.
・[x]=2の場合:
(A)において[x]=2を代入して,x=2を得る.
x=2は,[x]=2を満たしている.
・[x]=3の場合:
(A)より,x=4を得るが,これは[x]=3を満たさない.
・[x]=6の場合:
(A)より,x=46/7を得る.これは[x]=6を満たす.
・[x]=7の場合:
(A)より,x=7を得る.これは[x]=7を満たす.
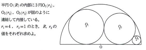
[追加問題1]
R=64/7, r_2=32/9 (答)
3円O_1,O_2,O_3が接している,点Oを通っている円Oの弦を L とする.
O_1,O_2,O_3 から L に下した垂線の足をそれぞれ H_1,H_2,H_3 とする.
(OH_1)^2=(OO_1)^2-(O_1H_1)^2=(R-r_1)^2-(r_1)^2=R*(R-2*r_1)より,
(OH_1)=(R*(R-2*r_1))^(1/2). 同様にして,
(OH_2)=(R*(R-2*r_2))^(1/2),
(OH_3)=(R*(R-2*r_3))^(1/2).
(H_1H_2)=(OH_1)+(OH_2) より,
2*(r_1*r_2)^(1/2)=(R*(R-2*r_1))^(1/2)+(R*(R-2*r_2))^(1/2).
この等式から,
R=2*(r_1)*(r_2)/((8*(r_1)*(r_2))^(1/2)-(r_1+r_2)) ---(A)
を得る.
また,(H_2H_3)=(OH_3)-(OH_2)
より,
2*(r_2*r_3)^(1/2)=(R*(R-2*r_3))^(1/2)-(R*(R-2*r_2))^(1/2).
この等式から,
R=2*(r_2)*(r_3)/((8*(r_2)*(r_3))^(1/2)-(r_2+r_3)) ---(B)
を得る.
(A),(B)より,
2*(r_1)*(r_2)/((8*(r_1)*(r_2))^(1/2)-(r_1+r_2))=2*(r_2)*(r_3)/((8*(r_2)*(r_3))^(1/2)-(r_2+r_3)).
この等式から,
(r_2)=8*(r_1)*(r_3)/((r_1)^(1/2)+(r_3)^(1/2))^2
を得る.
これに
(r_1)=4,(r_3)=1を代入して,
(r_2)=32/9.
(A)より,R=64/7.
[追加問題2]
求める半円の半径は,22 (答)
求める半円の半径をRとする.
半径 10, 7, 2 の円が内接している扇形の中心角の大きさを
それぞれ,2*α, 2*β, 2*γ とする.
sin(α)=10/(R-10),
sin(β)=7/(R-7), sin(γ)=2/(R-2),
cos(α)=(R*(R-20))^(1/2)/(R-10),
cos(β)=(R*(R-14))^(1/2)/(R-7)
である.
(2*α)+(2*β)+(2*γ)=180°より,
(α+β)=(90°-γ).
よって,
cos(α+β)=cos(90°-γ)=sin(γ).
加法定理を使って,
cos(α)*cos(β)-sin(α)*sin(β)=sin(γ).
よって,
((R*(R-20))^(1/2)/(R-10))*((R*(R-14))^(1/2)/(R-7))-(10/(R-10))*(7/(R-7))=2/(R-2).
分母を払い,移項して,
(R-2)*((R*(R-20))^(1/2))*((R*(R-14))^(1/2))=70*(R-2)+2*(R-10)*(R-7).
両辺を2乗して整理すると,
R^2*(R-22)*(R*(R-8)^2+8)=0.
よって,R=22.
NO4「スモークマン」 12/22 22時05分
受信 更新 1/5
(1)
[x^2]+[x]-2x=0
x=m, m+1/2
m^2+m-2m=m^2-m=m(m-1)=0…x=0,1
[(m+1/2)^2]+m-2m-1
=m^2-1=0…x=-1/2,3/2
結局
x=-1/2,0,1,3/2
(5)
x[x]+x-10[x]+14=0
x([x]+1)=10[x]-14
x=m+r/([x]+1) 0<=r<[x]+1=m+1
(m+r/(m+1))(m+1)=10m-14
m(m+1)+r=10m-14
m(m+1)+m-k=10m-14
m^2-8m+14-k=0
14-k=12,7…k=2,7
(m-2)(m-6)=0・・・x=2,
6+4/7
(m-1)(m-7)=0・・・x=7
結局…
x=2,46/7,7
NO5「kasama」 12/25 00時17分 受信 更新 1/5
寄せられた解答です
「kasama」 12/31 03時44分 受信 更新 1/5
問題(5)で他に答えがありましたから追加で寄せられた解答で
す。
「三角定規」 01/02 15時33分
受信 更新 1/5
寄せられた解答です
<コメメント:明けましておめでとうございます。
長年にわたり,考えて面白い<難問>の出題,有り難うございます。
今年も解答を送り続けようと思いますので,よろしくお願い致します。
さて,今回の<問題449>ですが,ガウス記号の問題(1)〜(5)は,ひたすら場合分けを行うものになってしまいました。エレガントではありませんが,分かりやすい解かな?
とは思います。
追加問題は,WolframAlpha の力を借りながら,やっと解を得ました。
例えば
[問題1] で, O1の半径=4, O3の半径=1 と決めるために,出題者のジョーカーさんはもっと膨大な計算をやっておられるのですよね。[問題2] も同様です。いつもながら,脱帽です。>
「水の流れ」 更新 1/5 



皆さん、問題や質問に答えてください。一部でも構いませんから, 解答とペンネームを添えて, メールで送ってください。待っています。