令和7年10月12日
[流れ星]
第459回数学的な連続応募解答
<解答募集期間:9月14日〜10月12日>
[一般項が多項式×2の累乗である数列の和]

追加問題(出題者は「ジョーカー」) 新作シリーズ
四分円内の正方形と正三角形の1辺について『2』
問題1 シリーズ5問目
正方形と正三角形の1辺が等しいとき(辺を共有しない),

問題2 シリーズ6問目
正方形と正三角形の1辺が等しいとき(辺を共有しない),

NO1「ジョーカー」 09/14 21時30分 受信 更新 10/12
寄せられた解答です
NO2「スモークマン」 09/15 00時53分 受信 更新 10/12
朝夕は流石に秋の気配が漂うようになり、だいぶ過ごしやすくなりました♪
今回も絵馬の方は解けました ^^


NO3「日曜数学者」 09/15 9時56分 受信 更新 10/12
多項式の計算と連立1次方程式の解と結果の確認については、計算機を使用しました。
「日曜数学者」 09/19 11時01分 受信
更新 10/12
第459回数学的な連続応募問題では、2の累乗の場合でしたが、
同じ方法で、3,4,(1/2)の累乗の場合も、計算してみました。結果は以下の通りです。前回のと一緒にしました。
NO4「三角定規」 09/15 18時40分
受信 更新10/12
寄せられた解答です
NO5「よふかしのつらいおじさん」09/17 23時11分受信 更新 10/12
寄せられた解答です
NO6「r-de-r」 09/20 14時28分 受信 更新 10/12
寄せられた解答です
NO7「kasama」 09/22 00時37分 受信
更新 10/12
寄せられた解答です
今回の数学的な連続応募問題の解答を、お送りいたします。
画期的な解法は浮かびませんでしたが、計算量を減らす工夫をしてみました。
NO8「浜田明巳」 09/26 17時01分
受信 更新 10/12
寄せられた解答です
NO9「二度漬け白菜」 09/28 14時18分
受信 更新 10/12
第459回[一般項が単項式×2の累乗である数列の和]
(T)〜(X)の解答
(T)Σ[k=1,n](k^1)*(2^k)=(2^(n+1))*(n-1)+2
(U)Σ[k=1,n](k^2)*(2^k)=(2^(n+1))*(n^2-2*n+3)-6
(V)Σ[k=1,n](k^3)*(2^k)=(2^(n+1))*(n^3-3*n^2+9*n-13)+26
(W)Σ[k=1,n](k^4)*(2^k)=(2^(n+1))*(n^4-4*n^3+18*n^2-52*n+75)-150
(X)Σ[k=1,n](k^5)*(2^k)=(2^(n+1))*(n^5-5*n^4+30*n^3-130*n^2+375*n-541)+1082
以下で,S2(m,r)は第2種スターリング数を表すものとする.すなわち,
S2(m,r)=(1/r!)*Σ[j=0,r]((-1)^j)*binomial(r,j)*(r-j)^m
であるとする.
任意の正整数 n,m および x≠1 なる任意の実数 x に対して,
和 Σ[k=1,n](k^m)*(x^k) は次式で計算できる.
Σ[k=1,n](k^m)*(x^k)
=(x^(n+1))*Σ[r=1,m]S2(m,r)*(-r!)*(Σ[j=0,r]binomial(n+1,j)*(x^(r-j))*(1-x)^(-r+j-1))
+Σ[r=1,m]S2(m,r)*(r!)*(x^r)*(1-x)^(-r-1).
特にx=2のときには次のようになる.
Σ[k=1,n](k^m)*(2^k)
=(2^(n+1))*Σ[r=1,m]S2(m,r)*(r!)*(Σ[j=0,r]binomial(n+1,j)*(-2)^(r-j)) - Σ[r=1,m]S2(m,r)*(r!)*(-2)^r.
(証明)
tを,x*t≠1なる変数とし,
F(n,x,t)=Σ[k=0,n](x^k)*(t^k),
a(n,m,x,t)=Σ[k=0,n](k^m)*(x^k)*(t^k) とする.
F(n,x,t)
=1+x*t+(x*t)^2+(x*t)^3+ … +(x*t)^n
=(1-(x*t)^(n+1))*(1-x*t)^(-1) ---(★)
である.
tの関数G(t)に対して,G(t)をtで,r回だけ微分したものを Diff(G(t),t,r)
とかくことにすると,
Diff(F(n,x,t),t,r)
=Σ[k=0,n]k*(k-1)*(k-2)*…*(k-r+1)*(x^k)*t^(k-r)
=Σ[k=0,n]binomial(k,r)*(r!)*(x^k)*t^(k-r).
また,(★)に注意すると,ライプニッツの法則より,Diff(F(n,x,t),t,r)は
次のようにもかける.
Diff(F(n,x,t),t,r)
=Σ[j=0,r]binomial(r,j)*Diff((1-(x*t)^(n+1)),t,r-j)*Diff((1-x*t)^(-1),t,j).
さらに,第2種スターリング数 S2(m,r) を用いると,k^m は
次のようにかけることに注意する.
k^m
=Σ[r=1,m]S2(m,r)*k*(k-1)*(k-2)*…*(k-r+1)
=Σ[r=1,m]S2(m,r)*binomial(k,r)*(r!).
以上から,a(n,m,x,t)は次のように変形できる.
a(n,m,x,t)
=Σ[k=0,n](k^m)*(x^k)*(t^k)
=Σ[k=0,n](Σ[r=1,m]S2(m,r)*binomial(k,r)*(r!))*(x^k)*(t^k)
=Σ[r=1,m]S2(m,r)*Σ[k=0,n]binomial(k,r)*(r!)*(x^k)*(t^k)
=Σ[r=1,m]S2(m,r)*(t^r)*Diff(F(n,x,t),r)
=Σ[r=1,m]S2(m,r)*(t^r)*Σ[j=0,r]binomial(r,j)*Diff((1-(x*t)^(n+1)),t,j)*Diff((1-x*t)^(-1),t,r-j)
=((x*t)^(n+1))*Σ[r=1,m]S2(m,r)*(-r!)*Σ[j=0,r]binomial(n+1,j)*((x*t)^(r-j))*(1-x*t)^(-r+j-1)
+Σ[r=1,m]S2(m,r)*(r!)*((x*t)^r)*(1-x*t)^(-r-1).
よって,Σ[k=1,n](k^m)*(x^k)は次のようにかける.
Σ[k=1,n](k^m)*(x^k)
=Σ[k=0,n](k^m)*(x^k)
=a(n,m,x,1)
=(x^(n+1))*Σ[r=1,m]S2(m,r)*(-r!)*(Σ[j=0,r]binomial(n+1,j)*(x^(r-j))*(1-x)^(-r+j-1))
+Σ[r=1,m]S2(m,r)*(r!)*(x^r)*(1-x)^(-r-1).
(証明終)
m=1〜50に対しての,Σ[k=1,n](k^m)*(2^k)を n の式で表したものを,
下記ページに貼り付けておきました.
計算は wxMaxima で行いました.
https://fpseries.exblog.jp/33789478/
<水の流れ:上記のサイトを拝見しました。この結果は一つの財産になります。深い考察に感謝します。感激しました。>
[追加問題1]
一辺の長さは,2/(13+6*3^(1/2))^(1/2)
(答)
一辺の長さをsとすると,
((s/2)+(s/2)*3^(1/2)+s)^2+(s/2)^2 = 1^2.
よって,s=2/(13+6*3^(1/2))^(1/2).
[追加問題2]
一辺の長さは,(2*2^(1/2)-3)*3^(1/2)+4*2^(1/2)-5
(答)
一辺の長さをtとすると,
(t/2)+(t/2)*(3^(1/2))+t*(2^(1/2))=1.
よって,
t=2/(1+2*2^(1/2)+3^(1/2))
=(2*2^(1/2)-3*3^(1/2)+4*2^(1/2)-5.
(以上)
「二度漬け白菜」 10/09 08時21分 受信 更新 10/12
和
Σ[k=1,n](k^m)*(x^k)を n の式で表す別法:
Diff( , , ), S2(m,r) などの意味は先のものと同じです.
Diff((x*e^t)^k,t,m)=(k^m)*(x^k)*e^(k*t) であることに注意すると,
(k^m)*(x^k)=lim[t→0]Diff((x*e^t)^k,t,m).
よって,
Σ[k=1,n](k^m)*(x^k)
=Σ[k=0,n](k^m)*(x^k)
=Σ[k=1,n]lim[t→0]Diff((x*e^t)^k,t,m)
=lim[t→0]Σ[k=0,n]Diff((x*e^t)^k,t,m)
=lim[t→0]Diff(Σ[k=0,n](x*e^t)^k,t,m)
=lim[t→0]Diff((1-(x*e^t)^(n+1))*(1-x*e^t)^(-1),t,m)
=lim[t→0]Σ[r=0,m]binomial(m,r)*Diff(1-(x*e^t)^(n+1),t,m-r)*Diff((1-x*e^t)^(-1),t,r)
=lim[t→0]Σ[r=0,m]binomial(m,r)*(-(n+1)^(m-r)*(x*e^t)^(n+1))*Σ[j=0,r](-1)^(j+r)*(j!)*S2(r+1,j+1)*(1-x*e^t)^(-j-1)
=x^(n+1)*Σ[r=0,m](binomial(m,r)*(n+1)^(m-r)*(-1)^r*Σ[j=0,r](j!)*S2(r+1,j+1)*(x-1)^(-j-1))
-Σ[j=0,m](-1)^m*(j!)*S2(m+1,j+1)*(x-1)^(-j-1).
特に x=2 の場合には,
Σ[k=1,n](k^m)*(2^k)
=2^(n+1)*Σ[r=0,m](binomial(m,r)*(n+1)^(m-r)*(-1)^r*Σ[j=0,r](j!)*S2(r+1,j+1))
-Σ[j=0,m](-1)^m*(j!)*S2(m+1,j+1).
a(n,m,x)=Σ[k=1,n](k^m)*(x^k)として,wxMaximaで計算する場合には以下です.
a(n,m,x):=x^(n+1)*expand(sum(binomial(m,r)*(n+1)^(m-r)*(-1)^r*sum(j!*stirling2(r+1,j+1)*(x-1)^(-j-1),j,0,r),r,0,m))-sum((-1)^m*j!*stirling2(m+1,j+1)*(x-1)^(-j-1),j,0,m);
S2(m,r)はシグマ和でかけるので,上記のΣ[k=1,n](k^m)*(x^k)は,シグマの三重和
ということになります.計算はかなり面倒です.
このシグマの三重和がさらに簡約できるのか否か,私にはわかりませんでした.
(以上)
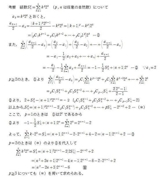
特別 8月9日に大学の同窓会おり、この問題を話題にしたところ、後日 加藤氏から下記のような考察が送られてきました。


<水の流れ> 更新 10月12日

<水の流れ:この問題がここまで発展拡張された皆様の深い考察には目を見張るものがありました。出題者としては嬉しい限りです。応募された解法には感動の連続ばかりでした。応募者の皆様に敬意を表します。改めて深く感謝申し上げます。>