•½¬‚P‚U”N‚WŒŽ‚Q‚X“ú
[—¬‚ê¯]
@@@@@‘æ‚P‚S‚Q‰ñ”Šw“I‚ȉž•å–â‘è‰ð“š‚m‚n‚Q
@@@@@@ƒ‰ð“š•åWŠúŠÔF‚WŒŽ‚W“ú`‚WŒŽ‚Q‚X“ú„
mƒjƒ…[ƒgƒ“‚Ì’è—n
‘¾˜Y‚³‚ñ‚ÍA‚WŒŽ‚S“ú‚©‚ç‚U“ú‚܂ŊJ‚©‚ꂽ‘S‘ŽZ”E”Šw‹³ˆçŒ¤‹†iŽŽ™“‡j‘å‰ï‚ÉŽQ‰Á‚µ‚Ä‚«‚Ü‚µ‚½B‚Z•”‰ï‚Å‚ÍA‘S•”‚Å‚Q‚T‰ïê‚ɕʂꉄ‚×”•\”‚P‚V‚O‚É‚à‚È‚èA‹‚¢’†·‘å‚És‚í‚ê‚Ü‚µ‚½B‚³‚ÄA‚»‚Ì’†‚É‚ÍAŽŸ‚̂悤‚ȃŒƒ|[ƒg‰Û‘è‚ð’ño‚³‚¹‚锕\‚ª‚ ‚è‚Ü‚µ‚½Bu•½–ÊŠô‰½‚ð•׋‚·‚é’†‚ÅA—L–¼‚Èl‚Ì–¼‘O‚ª•t‚¢‚½’藂𒲂ׂĂ«‚È‚³‚¢BvŽ‘—¿‚Ì’†‚É‚ ‚Á‚½’è—‚ð‘‚¢‚Ă݂܂·B
‚»‚±‚ÅA¡‰ñ‚Ì–â‘è‚Í‚±‚Ì’†‚É‚ ‚Á‚½uƒjƒ…[ƒgƒ“‚Ì’è—v‚ðØ–¾‚‚¾‚³‚¢B‰ð–@‚ÌŽè’i•û–@‚Í–â‚¢‚Ü‚¹‚ñB
uŽlŠpŒ`‚`‚a‚b‚c‚ª‰~‚ÉŠOÚ‚·‚邯‚«A‚Q‚‚̑Ίpü‚Ì’†“_‚Ɖ~‚Ì’†S‚Í‚P’¼üã‚É‚ ‚éBv‚±‚Æ‚ðØ–¾‚‚¾‚³‚¢B
‚m‚n‚Tukasamav@
8/19: 18Žž17•ªŽóM XV8/29XV
‚¢‚‚àŠy‚µ‚¢–â‘è‚ðo‘肵‚Ä’¸‚«‚ ‚肪‚Æ‚¤‚²‚´‚¢‚Ü‚·B
‚¢‚‚à‚È‚ª‚çA—Ç‚¢ƒAƒCƒfƒA‚ªŽv‚¢‚‚©‚¸À•W‚ðŠ„‚è“–‚ÄA”Ž®ƒ\ƒtƒg‚Å–³—–î—‚â‚è‚Ü‚µ‚½i‚ƂĂà‘fŽè‚ł͖³—‚Å‚µ‚½jB
u•¡‘f”•½–Êv‚Å‚·‚©HƒxƒNƒgƒ‹‚͂悎g‚¤‚̂ł·‚ªAŠw¶Žž‘ãˆÈ—ˆŽg‚Á‚½‚±‚Æ‚ª‚È‚¢‚Å‚·‚ËB‚à‚¤ˆê“x•׋‚µ’¼‚µ‚Ä‚â‚Á‚Ă݂܂·B
@‚m‚n‚Uukasamavv 8/23: 09Žž27•ªŽóM XV8/29XV
¡‰ñ‚Ì–â‘è‚ðŒfަ”‚ɑ‚¢‚Ä‚ ‚Á‚½•¡‘f•½–Ê‚Ål‚¦‚Ă݂܂µ‚½i“Y•tƒŠƒXƒg‚Ì’Ê‚èAæ“ú‚¨‘—‚肵‚½ƒhƒLƒ…ƒƒ“ƒg‚ɒljÁ‚µ‚Ü‚µ‚½jDDD‚ÆŒ¾‚Á‚Ä‚àŠî–{“I‚ɂ͓ñŽŸŒ³ƒxƒNƒgƒ‹‹óŠÔ‚Æ“¯‚¶‚È‚ñ‚Å‚·‚ªA̕׋‚µ‚½•¡‘f•½–ʂ̖{‚ð“ǂݒ¼‚·—Ç‚¢‹@‰ï‚Å‚µ‚½B
ŋ߂̂Z”Šw‚ł͕¡‘f•½–ʂɂ‚¢‚ÄÌ‚æ‚è‚ÍÚ‚µ‚K‚¤‚悤‚Å‚·‚ËBŽ„‚ÌŽž‘ã‚ł̓xƒNƒgƒ‹‹óŠÔ‚ªƒƒCƒ“‚Å‚µ‚ÄA“üŽŽ–â‘è‚É‚à‚ ‚܂蕡‘f•½–ʂ͓oꂵ‚È‚©‚Á‚½‚悤‚ÉŽv‚¢‚Ü‚·‚ËB
–{Ši“I‚É•¡‘f•½–ʂɂ‚¢‚ÄK‚Á‚½‚̂͑åŠwŽž‘ã‚ÌŠÖ”˜_‚Ìu‹`‚¾‚Á‚½‚悤‚ÉŽv‚¢‚Ü‚·B
‚»‚µ‚ÄA‘ål‚ɂȂÁ‚Ä‚©‚ç‚̓xƒNƒgƒ‹‚ðˆµ‚¤‚±‚Æ‚ªˆ³“|“I‚É‘½‚©‚Á‚½‚Ì‚ÅA‚à‚¤•¡‘f•½–ʂɂ‚¢‚Ă͂·‚Á‚©‚è–Y‚ê‚Ä‚¢‚Ü‚µ‚½B
yƒxƒNƒgƒ‹‚É‚æ‚é•û–@z
ŽlŠpŒ`ABCD‚É”¼Œar‚̉~‚ª“àÚ‚·‚邯‚µ‚ÄA‰º}‚̂悤‚ÈÀ•WŒn‚ðl‚¦‚Ü‚·B“àÚ‰~‚Ì’†S‚ðŒ´“_OA ŽlŠpŒ`‚Ɖ~‚Æ‚ÌÚ“_‚ðP1`4‚Æ‚µ‚ÄAOP1•û Œü‚ÉX޲‚ðŽæ‚è‚Ü‚·B

‚·‚邯A
@P1={r,0}
@P2={rcos(2ƒ¿1,rsin(2ƒ¿1)}
@P3={rcos(2ƒ¿1+2ƒ¿2),rsin(2ƒ¿1+2ƒ¿2)}
@P4={rcos(2ƒ¿1+2ƒ¿2+2ƒ¿3),rsin(2ƒ¿1+2ƒ¿2+2ƒ¿3)}
‚Å‚·B
ŽŸ‚ÉA}‚̂悤‚É•â•ü‚ð“ü‚ê‚Ä“_A‚ðP1AP2‚Å
•\Œ»‚µ‚Ü‚·B

P1AP2‚Ì
’†“_M‚Í(P1+P2)/2 ‚ÅA‡™OMP1䇙OP1A ‚ÅŠe•Ó‚Ì”ä‚Í1:cos2(ƒ¿1) ‚Å‚·‚©‚ç“_A‚Í
@A=(P1+P2)/2¥ 1/cos2(ƒ¿1)
@@={r, rtan(ƒ¿1)}
‚Å‚·B“¯—l‚É‚µ‚Ä
@B=(P2+P3)/2¥ 1/cos2(ƒ¿2)
@@={r[cos(2ƒ¿1)+cos(2ƒ¿1+2ƒ¿2)]/2cos2(ƒ¿2), r[sin(2ƒ¿1) + sin(2ƒ¿1+2ƒ¿2)]/2cos2(ƒ¿2)}
@C=(P3+P4)/2¥ 1/cos2(ƒ¿3)
@@={r[cos(2ƒ¿1+2ƒ¿2)+cos(2ƒ¿1+2ƒ¿2+2ƒ¿3)]/2cos2(ƒ¿3), r[sin(2ƒ¿1+2ƒ¿2)+sin(2ƒ¿1+2ƒ¿2+2ƒ¿3)]/2cos2(ƒ¿3)}
@D=(P4+P1)/2¥ 1/cos2{ƒÎ-(ƒ¿1+ƒ¿2+ƒ¿3)}
@@={r[1+cos(2ƒ¿1+2ƒ¿2+2ƒ¿3)]/2cos2(ƒ¿1+ƒ¿2+ƒ¿3), rtan(ƒ¿1+ƒ¿2+ƒ¿3)}
@@={r, rtan(ƒ¿1+ƒ¿2+ƒ¿3)}
‚ƂȂè‚Ü‚·B
‚±‚±‚ÅA2cos2(ƒÆ)=1+cos(2ƒÆ)‚Ȃ̂Å
@B={r[cos(2ƒ¿1) + cos(2ƒ¿1+2ƒ¿2)]/[1+cos(2ƒ¿2)], r[sin(2ƒ¿1)+sin(2ƒ¿1+2ƒ¿2)]/[1+cos(2ƒ¿2)]}
@C={r[cos(2ƒ¿1+2ƒ¿2) +cos(2ƒ¿1+2ƒ¿2+2ƒ¿3)]/[1+cos(2ƒ¿3)], r[sin(2ƒ¿1+2ƒ¿2)+sin(2ƒ¿1+2ƒ¿2+2ƒ¿3)]/[1+cos(2ƒ¿3)]}
‚Ü‚½AƒÁ=ƒ¿1+ƒ¿2+ƒ¿3‚Æ
‚·‚邯A{r(1 + cos(2ƒÁ))/2cos2(ƒÁ), rtan(ƒÁ)} = {r,
rtan(ƒÁ)}‚Ȃ̂ÅA
@D={r, rtan(ƒ¿1+ƒ¿2+ƒ¿3)}
‚³‚ç‚ÉA2ƒ¿1=ƒÀ1A 2ƒ¿2=ƒÀ2A 2ƒ¿3=ƒÀ3‚Æ
‚¨‚‚Æ
@A={r, rtan(ƒÀ1/2)}
@B={r[cos(ƒÀ1)+cos(ƒÀ1+ƒÀ2)]/[1+cos(ƒÀ2)], r[(sin(ƒÀ1) + sin(ƒÀ1+ƒÀ2)]/[1+cos(ƒÀ2)]}
@C={r[cos(ƒÀ1+ƒÀ2) + cos(ƒÀ1+ƒÀ2+ƒÀ3)]/[1+cos(ƒÀ3], r[(sin(ƒÀ1+ƒÀ2) + sin(ƒÀ1+ƒÀ2+ƒÀ3)]/[1+cos(ƒÀ3)]}
@D={r, rtan([ƒÀ1+ƒÀ2+ƒÀ3]/2)}
ŽŸ‚ɑΊpüACABD‚Ì’†“_‚ðPMAPN‚Æ
‚·‚邯A
@PM=(A+C)/2
@@={r[1+(cos(ƒÀ1+ƒÀ2)+cos(ƒÀ1+ƒÀ2+ƒÀ3))/(1+cos(ƒÀ3))]/2, r[(sin(ƒÀ1+ƒÀ2)+sin(ƒÀ1+ƒÀ2+ƒÀ3))/(1+cos(ƒÀ3))+tan(ƒÀ1/2)]/2}
@PN=(B+D)/2
@@={r[1+(cos(ƒÀ1)+cos(ƒÀ1+ƒÀ2))/(1+cos(ƒÀ2))]/2, r[(sin(ƒÀ1)+sin(ƒÀ1+ƒÀ2))/(1+cos(ƒÀ2))+tan((ƒÀ1+ƒÀ2+ƒÀ3)/2)]/2}
‚Å‚·B
“_OAPMAPN“¯
ˆêüã‚É‚ ‚é‚©‚Ç‚¤‚©‚𒲂ׂé‚É‚ÍAƒxƒNƒgƒ‹OPMAOPN‚ª ˆêŽŸ]‘®‚©”Û‚©‚ª‚í‚©‚ê‚Ηǂ¢‚Ì‚ÅAPMAPN‚ð
s‚Ü‚½‚Í—ñ‚É‚à‚Âs—ñŽ®‚Ì’l‚𒲂ׂê‚Ηǂ¢‚̂ł·B‚·‚邯A
@Det|{PM,PN}|
@=r2[-tan(ƒÀ1/2) + tan((ƒÀ1+ƒÀ2+ƒÀ3)/2)
@@+{sin(ƒÀ1)+sin(ƒÀ1+ƒÀ2)-cos(ƒÀ1)tan(ƒÀ1/2)-cos(ƒÀ1+ƒÀ2)tan(ƒÀ1/2)}/(1+cos(ƒÀ2))
@@+{-sin(ƒÀ1+ƒÀ2)-sin(ƒÀ1+ƒÀ2+ƒÀ3)+cos(ƒÀ1+ƒÀ2)tan((ƒÀ1+ƒÀ2+ƒÀ3)/2)+cos(ƒÀ1+ƒÀ2+ƒÀ3)tan((ƒÀ1+ƒÀ2+ƒÀ3)/2)}/(1+cos(ƒÀ3))
@@+{-cos(ƒÀ1)sin(ƒÀ1+ƒÀ2)-cos(ƒÀ1)sin(ƒÀ1+ƒÀ2+ƒÀ3)-cos(ƒÀ1+ƒÀ2)sin(ƒÀ1+ƒÀ2+ƒÀ3)+cos(ƒÀ1+ƒÀ2)sin(ƒÀ1)+cos(ƒÀ1+ƒÀ2+ƒÀ3)sin(ƒÀ1)+cos(ƒÀ1+ƒÀ2+ƒÀ3)sin(ƒÀ1+ƒÀ2)}/(1+cos(ƒÀ2))(1+cos(ƒÀ3))
@@]/4
@=0@(•â‘«ŽQÆ)
‚ƂȂèAs—ñŽ®‚Ì’l‚ª0‚Ȃ̂ÅA“_OAPMAPN“¯
ˆêüã‚É‚ ‚è‚Ü‚·B
y•¡‘f•½–ʂɂæ‚é•û–@z
l‚¦•ûŽ©‘Ì‚ÍyƒxƒNƒgƒ‹‚É‚æ‚é•û–@z‚Æ“¯‚¶‚ÅAX޲AY޲‚ðŽÀ޲A‹•޲‚ɑΉž‚³‚¹‚Äl‚¦‚Ü‚·B“_PMA PN‚ð•¡‘f•½–Êã‚Ì“_ZMA ZN‚ÉŠ„‚è“–‚Ă܂·B
@ZM=r[1+(cos(ƒÀ1+ƒÀ2)+cos(ƒÀ1+ƒÀ2+ƒÀ3))/(1+cos(ƒÀ3))]/2 + jr[(sin(ƒÀ1+ƒÀ2)+sin(ƒÀ1+ƒÀ2+ƒÀ3))/(1+cos(ƒÀ3))+tan(ƒÀ1/2)]/2
@ZN=r[1+(cos(ƒÀ1)+cos(ƒÀ1+ƒÀ2))/(1+cos(ƒÀ2))]/2 + jr[(sin(ƒÀ1)+sin(ƒÀ1+ƒÀ2))/(1+cos(ƒÀ2))+tan((ƒÀ1+ƒÀ2+ƒÀ3)/2)]/2
‚±‚±‚ÅA“_OAZMAZN“¯
ˆêüã‚É‚ ‚ê‚Î
@ÚZMOZN=arg(ZM/ZN)=0 or ƒÎ Ë ZM/ZN‚ª
ŽÀ” Ë ZM¥(ZN‚Ì
‹¤–ð•¡‘f”)‚Ì‹•”•”=0
‚Å‚·B‚Æ‚±‚낪AZM¥(ZN‚Ì
‹¤–ð•¡‘f”)‚Ì‹•”•”‚ÍDet|{PM,PN}| ‚Æ“¯‚¶‚Å‚·‚©‚çA yƒxƒNƒgƒ‹‚É‚æ‚é•û–@z‚ł킩‚Á‚½‚悤‚ÉADet|{PM,PN}| =0‚Ȃ̂ÅA“_OAPMAPN“¯ ˆêüã‚É‚ ‚è‚Ü‚·B
y•â‘«z
”Ž®ƒ\ƒtƒg‚ð—˜—p‚µ‚ÄAˆÈ‰º‚Ì’Ê‚èŒvŽZ‚µ‚Ü‚µ‚½Bcos(ƒÀ1)=c1A cos(ƒÀ2)=c2A cos(ƒÀ3)=c3A sin(ƒÀ1)=s1A sin(ƒÀ2)=s2A sin(ƒÀ3)=s3‚Æ
‚·‚邯A
tan(ƒÀ1/2)=(1-cos(ƒÀ1))/sin(ƒÀ1)=(1-c1)/s1
tan((ƒÀ1+ƒÀ2+ƒÀ3)/2)
=(((cos(ƒÀ1)sin(ƒÀ3)+cos(ƒÀ3)sin(ƒÀ1)+sin(ƒÀ1)sin(ƒÀ3)(cos(ƒÀ1)cos(ƒÀ2)sin(ƒÀ3)+cos(ƒÀ1)cos(ƒÀ3)sin(ƒÀ2)+cos(ƒÀ2)cos(ƒÀ3)sin(ƒÀ1)-sin(ƒÀ1)sin(ƒÀ2)sin(ƒÀ3))-cos(ƒÀ1)cos(ƒÀ3)(cos(ƒÀ1)cos(ƒÀ2)sin(ƒÀ3)+cos(ƒÀ1)cos(ƒÀ3)sin(ƒÀ2)+cos(ƒÀ2)cos(ƒÀ3)sin(ƒÀ1)-sin(ƒÀ1)sin(ƒÀ2)sin(ƒÀ3)))cos(ƒÀ2)+cos(ƒÀ1)cos(ƒÀ3)sin(ƒÀ2)-sin(ƒÀ1)sin(ƒÀ2)sin(ƒÀ3)+cos(ƒÀ1)sin(ƒÀ2)sin(ƒÀ3)(cos(ƒÀ1)cos(ƒÀ2)sin(ƒÀ3)+cos(ƒÀ1)cos(ƒÀ3)sin(ƒÀ2)+cos(ƒÀ2)cos(ƒÀ3)sin(ƒÀ1)-sin(ƒÀ1)sin(ƒÀ2)sin(ƒÀ3))+cos(ƒÀ3)sin(ƒÀ1)sin(ƒÀ2)(cos(ƒÀ1)cos(ƒÀ2)sin(ƒÀ3)+cos(ƒÀ1)cos(ƒÀ3)sin(ƒÀ2)+cos(ƒÀ2)cos(ƒÀ3)sin(ƒÀ1)-sin(ƒÀ1)sin(ƒÀ2)sin(ƒÀ3)))/(cos(ƒÀ1)cos(ƒÀ2)sin(ƒÀ3)+cos(ƒÀ1)cos(ƒÀ3)sin(ƒÀ2)+cos(ƒÀ2)cos(ƒÀ3)sin(ƒÀ1)-sin(ƒÀ1)sin(ƒÀ2)sin(ƒÀ3))/(cos(ƒÀ1)cos(ƒÀ2)sin(ƒÀ3)+cos(ƒÀ1)cos(ƒÀ3)sin(ƒÀ2)+cos(ƒÀ2)cos(ƒÀ3)sin(ƒÀ1)-sin(ƒÀ1)sin(ƒÀ2)sin(ƒÀ3)))
=(((c1s3+c3s1+s1s3(c1c2s3+c1c3s2+c2c3s1-s1s2s3)-c1c3(c1c2s3+c1c3s2+c2c3s1-s1s2s3))c2+c1c3s2-s1s2s3+c1s2s3(c1c2s3+c1c3s2+c2c3s1-s1s2s3)+c3s1s2(c1c2s3+c1c3s2+c2c3s1-s1s2s3))/(c1c2s3+c1c3s2+c2c3s1-s1s2s3)/(c1c2s3+c1c3s2+c2c3s1-s1s2s3))
sin(ƒÀ1+ƒÀ2)=cos(ƒÀ1)sin(ƒÀ2)+cos(ƒÀ2)sin(ƒÀ1)=c1s2+c2s1
sin(ƒÀ1+ƒÀ2+ƒÀ3) =cos(ƒÀ1)cos(ƒÀ2)sin(ƒÀ3)+cos(ƒÀ1)cos(ƒÀ3)sin(ƒÀ2)+cos(ƒÀ2)cos(ƒÀ3)sin(ƒÀ1)-sin(ƒÀ1)sin(ƒÀ2)sin(ƒÀ3) =c1c2s3+c1c3s2+c2c3s1-s1s2s3
cos(ƒÀ1+ƒÀ2)=cos(ƒÀ1)cos(ƒÀ2)-sin(ƒÀ1)sin(ƒÀ2)=c1c2-s1s2
cos(ƒÀ1+ƒÀ2+ƒÀ3) =cos(ƒÀ1)cos(ƒÀ2)cos(ƒÀ3)-cos(ƒÀ1)sin(ƒÀ2)sin(ƒÀ3)-cos(ƒÀ2)sin(ƒÀ1)sin(ƒÀ3)-cos(ƒÀ3)sin(ƒÀ1)sin(ƒÀ2) =c1c2c3-c1s2s3-c2s1s3-c3s1s2
‚Ȃ̂ÅADet|{PM,PN}| ‚É‘ã“ü‚µ‚ÄA
Det|{PM,PN}|=-(1-c1)/s1-(1-c1)c1/s1-(1-c1)c2/s1-(1-c1)c3/s1-(1-c1)c1c3/s1-(1-c1)c2c3/s1+s1+c3s1+s1(c1c2-s1s2)+c3(c2s1+c1s2)-c1(c2s1+c1s2)-c2(c2s1+c1s2)-(1-c1)/s1(c1c2-s1s2)-(1-c1)c3/s1(c1c2-s1s2)-(c2c3s1+c1c3s2+c1c2s3-s1s2s3)+s1(c1c2c3-c3s1s2-c2s1s3-c1s2s3)+(c2s1+c1s2)(c1c2c3-c3s1s2-c2s1s3-c1s2s3)-c1(c2c3s1+c1c3s2+c1c2s3-s1s2s3)-c2(c2c3s1+c1c3s2+c1c2s3-s1s2s3)-(c1c2-s1s2)(c2c3s1+c1c3s2+c1c2s3-s1s2s3)+(c1c3s2+c3s1s2(c2c3s1+c1c3s2+c1c2s3-s1s2s3)-s1s2s3+c1s2s3(c2c3s1+c1c3s2+c1c2s3-s1s2s3)+c2(c3s1-c1c3(c2c3s1+c1c3s2+c1c2s3-s1s2s3)+c1s3+s1s3(c2c3s1+c1c3s2+c1c2s3-s1s2s3)))(c2c3s1+c1c3s2+c1c2s3-s1s2s3)-2+c2(c1c3s2+c3s1s2(c2c3s1+c1c3s2+c1c2s3-s1s2s3)-s1s2s3+c1s2s3(c2c3s1+c1c3s2+c1c2s3-s1s2s3)+c2(c3s1-c1c3(c2c3s1+c1c3s2+c1c2s3-s1s2s3)+c1s3+s1s3(c2c3s1+c1c3s2+c1c2s3-s1s2s3)))(c2c3s1+c1c3s2+c1c2s3-s1s2s3)-2+c3(c1c3s2+c3s1s2(c2c3s1+c1c3s2+c1c2s3-s1s2s3)-s1s2s3+c1s2s3(c2c3s1+c1c3s2+c1c2s3-s1s2s3)+c2(c3s1-c1c3(c2c3s1+c1c3s2+c1c2s3-s1s2s3)+c1s3+s1s3(c2c3s1+c1c3s2+c1c2s3-s1s2s3)))(c2c3s1+c1c3s2+c1c2s3-s1s2s3)-2+(c1c2-s1s2)(c1c3s2+c3s1s2(c2c3s1+c1c3s2+c1c2s3-s1s2s3)-s1s2s3+c1s2s3(c2c3s1+c1c3s2+c1c2s3-s1s2s3)+c2(c3s1-c1c3(c2c3s1+c1c3s2+c1c2s3-s1s2s3)+c1s3+s1s3(c2c3s1+c1c3s2+c1c2s3-s1s2s3)))(c2c3s1+c1c3s2+c1c2s3-s1s2s3)-2+(c1c2c3-c3s1s2-c2s1s3-c1s2s3)(c1c3s2+c3s1s2(c2c3s1+c1c3s2+c1c2s3-s1s2s3)-s1s2s3+c1s2s3(c2c3s1+c1c3s2+c1c2s3-s1s2s3)+c2(c3s1-c1c3(c2c3s1+c1c3s2+c1c2s3-s1s2s3)+c1s3+s1s3(c2c3s1+c1c3s2+c1c2s3-s1s2s3)))(c2c3s1+c1c3s2+c1c2s3-s1s2s3)-2+c2c3(c1c3s2+c3s1s2(c2c3s1+c1c3s2+c1c2s3-s1s2s3)-s1s2s3+c1s2s3(c2c3s1+c1c3s2+c1c2s3-s1s2s3)+c2(c3s1-c1c3(c2c3s1+c1c3s2+c1c2s3-s1s2s3)+c1s3+s1s3(c2c3s1+c1c3s2+c1c2s3-s1s2s3)))(c2c3s1+c1c3s2+c1c2s3-s1s2s3)-2+c2(c1c2-s1s2)(c1c3s2+c3s1s2(c2c3s1+c1c3s2+c1c2s3-s1s2s3)-s1s2s3+c1s2s3(c2c3s1+c1c3s2+c1c2s3-s1s2s3)+c2(c3s1-c1c3(c2c3s1+c1c3s2+c1c2s3-s1s2s3)+c1s3+s1s3(c2c3s1+c1c3s2+c1c2s3-s1s2s3)))(c2c3s1+c1c3s2+c1c2s3-s1s2s3)-2+c2(c1c2c3-c3s1s2-c2s1s3-c1s2s3)(c1c3s2+c3s1s2(c2c3s1+c1c3s2+c1c2s3-s1s2s3)-s1s2s3+c1s2s3(c2c3s1+c1c3s2+c1c2s3-s1s2s3)+c2(c3s1-c1c3(c2c3s1+c1c3s2+c1c2s3-s1s2s3)+c1s3+s1s3(c2c3s1+c1c3s2+c1c2s3-s1s2s3)))(c2c3s1+c1c3s2+c1c2s3-s1s2s3)-2
‚Æ‚â‚Á‚ÄA•ª•ê‚ð‹¤’Ê‰»‚µ‚Ä
Det|{PM,PN}|=
{ (-(1-c1)-(1-c1)c1-(1-c1)c2-(1-c1)c3-(1-c1)c1c3-(1-c1)c2c3-(1-c1)(c1c2-s1s2)-(1-c1)c3(c1c2-s1s2))(c2c3s1+c1c3s2+c1c2s3-s1s2s3)2
+(+s1+c3s1+s1(c1c2-s1s2)+c3(c2s1+c1s2)-c1(c2s1+c1s2)-c2(c2s1+c1s2)-(c2c3s1+c1c3s2+c1c2s3-s1s2s3)+s1(c1c2c3-c3s1s2-c2s1s3-c1s2s3)+(c2s1+c1s2)(c1c2c3-c3s1s2-c2s1s3-c1s2s3)-c1(c2c3s1+c1c3s2+c1c2s3-s1s2s3)-c2(c2c3s1+c1c3s2+c1c2s3-s1s2s3)-(c1c2-s1s2)(c2c3s1+c1c3s2+c1c2s3-s1s2s3))s1(c2c3s1+c1c3s2+c1c2s3-s1s2s3)2
+s1(+(c1c3s2+c3s1s2(c2c3s1+c1c3s2+c1c2s3-s1s2s3)-s1s2s3+c1s2s3(c2c3s1+c1c3s2+c1c2s3-s1s2s3)+c2(c3s1-c1c3(c2c3s1+c1c3s2+c1c2s3-s1s2s3)+c1s3+s1s3(c2c3s1+c1c3s2+c1c2s3-s1s2s3)))+c2(c1c3s2+c3s1s2(c2c3s1+c1c3s2+c1c2s3-s1s2s3)-s1s2s3+c1s2s3(c2c3s1+c1c3s2+c1c2s3-s1s2s3)+c2(c3s1-c1c3(c2c3s1+c1c3s2+c1c2s3-s1s2s3)+c1s3+s1s3(c2c3s1+c1c3s2+c1c2s3-s1s2s3)))+c3(c1c3s2+c3s1s2(c2c3s1+c1c3s2+c1c2s3-s1s2s3)-s1s2s3+c1s2s3(c2c3s1+c1c3s2+c1c2s3-s1s2s3)+c2(c3s1-c1c3(c2c3s1+c1c3s2+c1c2s3-s1s2s3)+c1s3+s1s3(c2c3s1+c1c3s2+c1c2s3-s1s2s3)))+(c1c2-s1s2)(c1c3s2+c3s1s2(c2c3s1+c1c3s2+c1c2s3-s1s2s3)-s1s2s3+c1s2s3(c2c3s1+c1c3s2+c1c2s3-s1s2s3)+c2(c3s1-c1c3(c2c3s1+c1c3s2+c1c2s3-s1s2s3)+c1s3+s1s3(c2c3s1+c1c3s2+c1c2s3-s1s2s3)))+(c1c2c3-c3s1s2-c2s1s3-c1s2s3)(c1c3s2+c3s1s2(c2c3s1+c1c3s2+c1c2s3-s1s2s3)-s1s2s3+c1s2s3(c2c3s1+c1c3s2+c1c2s3-s1s2s3)+c2(c3s1-c1c3(c2c3s1+c1c3s2+c1c2s3-s1s2s3)+c1s3+s1s3(c2c3s1+c1c3s2+c1c2s3-s1s2s3)))+c2c3(c1c3s2+c3s1s2(c2c3s1+c1c3s2+c1c2s3-s1s2s3)-s1s2s3+c1s2s3(c2c3s1+c1c3s2+c1c2s3-s1s2s3)+c2(c3s1-c1c3(c2c3s1+c1c3s2+c1c2s3-s1s2s3)+c1s3+s1s3(c2c3s1+c1c3s2+c1c2s3-s1s2s3)))+c2(c1c2-s1s2)(c1c3s2+c3s1s2(c2c3s1+c1c3s2+c1c2s3-s1s2s3)-s1s2s3+c1s2s3(c2c3s1+c1c3s2+c1c2s3-s1s2s3)+c2(c3s1-c1c3(c2c3s1+c1c3s2+c1c2s3-s1s2s3)+c1s3+s1s3(c2c3s1+c1c3s2+c1c2s3-s1s2s3)))+c2(c1c2c3-c3s1s2-c2s1s3-c1s2s3)(c1c3s2+c3s1s2(c2c3s1+c1c3s2+c1c2s3-s1s2s3)-s1s2s3+c1s2s3(c2c3s1+c1c3s2+c1c2s3-s1s2s3)+c2(c3s1-c1c3(c2c3s1+c1c3s2+c1c2s3-s1s2s3)+c1s3+s1s3(c2c3s1+c1c3s2+c1c2s3-s1s2s3)))) }/s1(c2c3s1+c1c3s2+c1c2s3-s1s2s3)2
‚»‚µ‚ÄA•ªŽq‚ɂ‚¢‚Äl‚¦‚Ü‚·B‚±‚±‚ÅAc12=1-s12A c13=c1(1-s12)A c14=1-2s12+s14A c22=1-s22A c23=c2(1-s22)A c24=1-2s22+s24A c32=1-s32A c33=c3(1-s32)A c34=1-2s32+s34‚È ‚Ì‚ÅA
Det|{PM,PN}| ‚Ì•ªŽq=c2s12-c2(1-s22)s12+c3s12+c1c3s12+c2c3s12+c1c2(1-s22)c3s12-c3(1-s32)s12-c1c3(1-s32)s12-c2(1-s22)c3(1-s32)s12-c1c2(1-s22)c3(1-s32)s12-c1s1s2+c1(1-s12)s1s2-c1c2s1s2+2c1(1-s12)c2s1s2-c1(1-s12)c2(1-s22)s1s2+c3s1s2+c1c3s1s2+c2c3s1s2+c1c2c3s1s2-c3(1-s32)s1s2-2c1c3(1-s32)s1s2+c1(1-s12)c3(1-s32)s1s2-c2c3(1-s32)s1s2-2c1c2c3(1-s32)s1s2+2c1(1-s12)c2c3(1-s32)s1s2-c1(1-s12)c2(1-s22)c3(1-s32)s1s2+c1s13s2+2c1c2s13s2-c1c2(1-s22)s13s2-2c3s13s2-2c2c3s13s2+2c3(1-s32)s13s2+c1c3(1-s32)s13s2+2c2c3(1-s32)s13s2+2c1c2c3(1-s32)s13s2-c1c2(1-s22)c3(1-s32)s13s2-c2s12s22+2c1c2s12s22-2c1(1-s12)c2s12s22-c3s12s22-2c1c3s12s22-c1c2c3s12s22+c3(1-s32)s12s22+2c1c3(1-s32)s12s22-c2c3(1-s32)s12s22+3c1c2c3(1-s32)s12s22-2c1(1-s12)c2c3(1-s32)s12s22-2c1c2s14s22-2c1c2c3(1-s32)s14s22+2c1s1s23-2c1(1-s12)s1s23-c1(1-s12)c2s1s23-c3s1s23+c3(1-s32)s1s23+2c1c3(1-s32)s1s23-2c1(1-s12)c3(1-s32)s1s23-c1(1-s12)c2c3(1-s32)s1s23-2c1s13s23-c1c2s13s23+2c3s13s23-2c3(1-s32)s13s23-2c1c3(1-s32)s13s23-c1c2c3(1-s32)s13s23-c1s1s3+c1(1-s12)s1s3+c1c2s1s3-2c1c2(1-s22)s1s3+c1(1-s12)c2(1-s22)s1s3-c1c3s1s3+c1(1-s12)c3s1s3+c1c2c3s1s3-2c1c2(1-s22)c3s1s3+c1(1-s12)c2(1-s22)c3s1s3+c1s13s3+c1c2(1-s22)s13s3+c1c3s13s3+c1c2(1-s22)c3s13s3+4c1s12s2s3-4c1(1-s12)s12s2s3-c2s12s2s3+2c1c2s12s2s3+c2(1-s22)s12s2s3-2c1(1-s12)c2(1-s22)s12s2s3+2c1c3s12s2s3-2c1(1-s12)c3s12s2s3-c2c3s12s2s3+c2(1-s22)c3s12s2s3-4c1s14s2s3-2c1c2(1-s22)s14s2s3-2c1c3s14s2s3+3c1s1s22s3-3c1(1-s12)s1s22s3+2c1c2s1s22s3-3c1(1-s12)c2s1s22s3+3c1c3s1s22s3-3c1(1-s12)c3s1s22s3+2c1c2c3s1s22s3-3c1(1-s12)c2c3s1s22s3-3c1s13s22s3-3c1c2s13s22s3-3c1c3s13s22s3-3c1c2c3s13s22s3-6c1s12s23s3+6c1(1-s12)s12s23s3+c2s12s23s3-2c1(1-s12)c2s12s23s3-4c1c3s12s23s3+4c1(1-s12)c3s12s23s3+c2c3s12s23s3+6c1s14s23s3-2c1c2s14s23s3+4c1c3s14s23s3-c2s12s32+c2(1-s22)s12s32-c3s12s32+c1c3s12s32-2c1(1-s12)c3s12s32-c2(1-s22)c3s12s32+c1c2(1-s22)c3s12s32-2c1(1-s12)c2(1-s22)c3s12s32-2c1c3s14s32-2c1c2(1-s22)c3s14s32+3c1s1s2s32-3c1(1-s12)s1s2s32+3c1c2s1s2s32-4c1(1-s12)c2s1s2s32+c1(1-s12)c2(1-s22)s1s2s32-c3s1s2s32+2c1c3s1s2s32-3c1(1-s12)c3s1s2s32+c2c3s1s2s32+2c1c2c3s1s2s32-2c1(1-s12)c2c3s1s2s32-2c2(1-s22)c3s1s2s32-c1(1-s12)c2(1-s22)c3s1s2s32-3c1s13s2s32-4c1c2s13s2s32+c1c2(1-s22)s13s2s32+2c3s13s2s32-3c1c3s13s2s32-2c2c3s13s2s32-2c1c2c3s13s2s32+4c2(1-s22)c3s13s2s32-c1c2(1-s22)c3s13s2s32+c2s12s22s32-4c1c2s12s22s32+4c1(1-s12)c2s12s22s32+c3s12s22s32-2c1c3s12s22s32+4c1(1-s12)c3s12s22s32-c2c3s12s22s32-3c1c2c3s12s22s32+4c1(1-s12)c2c3s12s22s32+4c1c2s14s22s32+4c1c3s14s22s32+4c1c2c3s14s22s32-4c1s1s23s32+4c1(1-s12)s1s23s32+c1(1-s12)c2s1s23s32+c3s1s23s32-2c1c3s1s23s32+2c1(1-s12)c3s1s23s32-2c2c3s1s23s32-c1(1-s12)c2c3s1s23s32+4c1s13s23s32+c1c2s13s23s32-2c3s13s23s32+2c1c3s13s23s32+4c2c3s13s23s32-c1c2c3s13s23s32+2c1s1s33-2c1(1-s12)s1s33+2c1c2(1-s22)s1s33-2c1(1-s12)c2(1-s22)s1s33-2c1s13s33-2c1c2(1-s22)s13s33-6c1s12s2s33+6c1(1-s12)s12s2s33-4c1c2s12s2s33+4c1(1-s12)c2(1-s22)s12s2s33+6c1s14s2s33+4c1c2(1-s22)s14s2s33-4c1s1s22s33+4c1(1-s12)s1s22s33-2c1c2s1s22s33+2c1(1-s12)c2s1s22s33+4c1s13s22s33+2c1c2s13s22s33+8c1s12s23s33-8c1(1-s12)s12s23s33+4c1(1-s12)c2s12s23s33-8c1s14s23s33+4c1c2s14s23s33=0
‚m‚n‚VuToruv@@ 8/23: 18Žž20•ªŽóM XV8/29XV@‚m‚n‚P‚É
‚m‚n‚WuH7Kv
8/26: 19Žž49•ªŽóM XV8/29XV
ƒxƒNƒgƒ‹‚Å‰ð‚¢‚Ä‚Ý‚Ü‚µ‚½DŠOÏ‚ðŽg‚¤‚Ì‚ÅC”O‚Ì‚½‚ß’è‹`‚ðʼn‚ÉD‚ ‚ÆCƒxƒNƒgƒ‹‚ͬ•¶Žš‚̃{[ƒ‹ƒh‚Å•\‚·—¬‹V‚Å‚·‚ªC‚±‚±‚ł͂»‚ê‚͂ł«‚Ü‚¹‚ñ‚©‚çC
‘å•¶Žš‚Å‘‚¢‚Ä‚¨‚«‚Ü‚·DiˆÊ’uƒxƒNƒgƒ‹‚Æ’¸“_‚Ì‹L†‚𓯂¶•¶Žš‚Å•\‚·‚Ì‚ÅC—]Œv¬—‚·‚邯‚Çj‚ ‚ÆCABƒxƒNƒgƒ‹‚Æ‚©‚ÍCA~B‚Æ‘‚‚±‚Ƃɂµ‚Ü‚·D
def(ŠOÏ)@A~B:=|A||B|sinƒÆ (ƒÆ:A‚©‚çB‚Ö”½ŽžŒv‰ñ‚è‚ð³‚Æ‚µ‚Ă͂©‚Á‚½ŠpDˆÈŒãCA~B‚ðA*B‚Æ‘‚j
‚±‚Ì’è‹`‚©‚çC’¼‚¿‚ÉCA*(nA)=0, A*B=-(B*A), n(A*B)=(nA)*B=A*(nB). (n¸R)
‚Ü‚½CA*B‚ÍA,B‚Ìì‚镽sŽl•ÓŒ`‚Ì–Êςł ‚邱‚Æ‚âC(A+B)*C=A*C+B*C‚à‚í‚©‚éD
“_A,B,C,D‚ª‚±‚̇‚Å”½ŽžŒv‰ñ‚è‚É‚ ‚邯‚µ‚Ă悢D
ABCD‚͉~‚É“àÚ‚·‚é‚Ì‚ÅC‚»‚̉~‚Ì’†S‚ðO‚Æ‚¨‚¯‚ÎC
‡™OAB+‡™OCD = ‡™OBC+‡™ODA.
—¼•Ó‚ð2”{C‚³‚ç‚ɃxƒNƒgƒ‹‚ð—p‚¢‚½•\Œ»‚É‚·‚邯C‚±‚ê‚ÍŽŸ‚̂悤‚ɂȂéF
O~B*O~C+O~D*O~A = O~A*O~B+O~C*O~D cc(*).
ü•ªAC‚Æü•ªBD‚ÌŒð“_‚ð“_X‚Æ‚·‚éD‚È‚¨CX‚Ì‘¶Ý‚Í ABCD‚͉~‚É“àÚ‚·‚邱‚Æ‚æ‚è•ÛØ‚³‚ê‚éD
ˆÈŒãCˆÊ’uƒxƒNƒgƒ‹‚Í‚·‚ׂē_X‚ðŠî€‚Æ‚·‚éD
X=AC¿BD‚æ‚èC‚ ‚éŽÀ”c,d‚ð—p‚¢‚ÄCC=cA, D=dB‚Æ‘‚¯‚éD
‚³‚ç‚ÉCA‚ÆB‚ÍüŒ`“Æ—§‚Å‚ ‚é‚Í‚¸‚Ȃ̂ÅC‚ ‚éŽÀ”p,q‚ð—p‚¢‚ÄCO=pA+qB‚ƈê’Ê‚è‚É‘‚«•\‚¹‚éD
‚³‚ÄC
(*) Ì {pA+(q-1)B}*{(p-c)A+qB}+{pA+(q-d)B}*{(p-1)A+qB}
@ =
{(p-1)A+qB}*{pA+(q-1)B}+{(p-c)A+qB}*{pA+(q-d)B}
Ì {(q-1)(p-c)+(q-d)(p-1)-2pq}B*A+{2pq-(p-1)(q-1)-(p-c)(q-d)} A*B = 0
Ì (p+q-1+cq+pd-cd+p+cq-c+q+dp-d) A*B = 0
Ì A*B=0 É 2(p+q+pd+cq)=1+cd+c+d
Ì A*B=0 É q(1+c)/2+p(1+d)/2={(1+c)/2}{(1+d)/2} cc(**).
ˆê•ûC
“_P,Q,O‚ªˆê’¼üã Ì P~O*Q~O=0
‚¾‚ªC
P~O*Q~O = (O-P)*(O-Q)
= (Q-P)*O+P*Q
= {B(1+d)/2-A(1+c)/2}*{pA+qB}+{(1+d)/2}{(1+c)/2}A*B
= A*B[{(1+d)/2}{(1+c)/2}-q(1+c)/2-p(1+d)/2]
‚æ‚èC
“_P,Q,O‚ªˆê’¼üã
Ì A*B=0 É q(1+c)/2+p(1+d)/2={(1+c)/2}{(1+d)/2}
Ì (**)
‚Å‚ ‚é‚Ì‚ÅC“_P,Q,O‚͈꒼üã‚É‚ ‚éD//
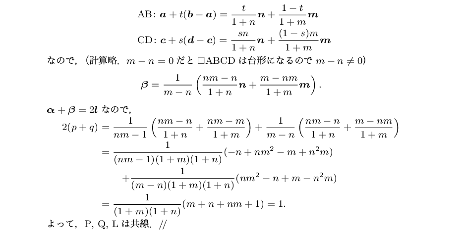
‚m‚n‚XuH7Kv 8/27: 19Žž19•ªŽóM XV8/29XV
ƒ¿‚Ì•¡‘f‹¤–ð‚ð_ƒ¿‚Æ‘‚‚±‚Ƃɂ·‚éD
A,B,C,D‚Í‚±‚̇‚É”½ŽžŒv‰ñ‚è‚É‚ ‚é‚à‚̂ƂµC ABCD‚ªO‚ð’†S‚Æ‚·‚é‰~‚ÉŠOÚ‚µ‚Ä‚¢‚邯‚·‚éD
“_A‚Ì•\‚·•¡‘f”‚ðƒ¿CˆÈ‰ºCB(ƒÀ), C(ƒÁ), D(ƒÂ)‚Æ‚·‚éD
Lemma 1 •¡‘f•½–Êã‚Ì“_A(ƒ¿), B(ƒÀ) (A,B‚Í‚±‚̇‚É”½ŽžŒv‰ñ‚è‚Æ‚·‚é)‚ɂ‚¢‚ÄC¢OAB=(_ƒ¿ƒÀ-ƒ¿_ƒÀ)/(4i).
¢OAB = (O~A*O~B)/2=(Reƒ¿*ImƒÀ-Imƒ¿*ReƒÀ)/2 = {(ƒ¿+_ƒ¿)(ƒÀ-_ƒÀ)-(ƒ¿-_ƒ¿)(ƒÀ+_ƒÀ)}/(8i)
= (_ƒ¿ƒÀ-ƒ¿_ƒÀ)/(4i). //
‚³‚ÄC ABCD‚ÍO‚ð’†S‚Æ‚·‚é‰~‚ÉŠOÚ‚µ‚Ä‚¢‚é‚Ì‚ÅC
¢OAB+¢OCD = ¢OBC+¢ODA.
Lemma 1‚æ‚èC
¢OAB+¢OCD = ¢OBC+¢ODA
Ì _ƒ¿ƒÀ-ƒ¿_ƒÀ+_ƒÁƒÂ-ƒÁ_ƒÂ = _ƒÀƒÁ-ƒÀ_ƒÁ+_ƒÂƒ¿-ƒÂ_ƒ¿
Ì _ƒ¿ƒÀ+ƒÀ_ƒÁ+_ƒÁƒÂ+ƒÂ_ƒ¿ = ƒ¿_ƒÀ+_ƒÀƒÁ+ƒÁ_ƒÂ+_ƒÂƒ¿
Ì (ƒÀ+ƒÂ)(_ƒ¿+_ƒÁ) = (_ƒÀ+_ƒÂ)(ƒ¿+ƒÁ)
Ì (ƒÀ+ƒÂ)(_ƒ¿+_ƒÁ) ¸ R. cc(*)
ˆê•ûC
AC‚Ì’†“_PCBD‚Ì’†“_QC‚»‚ê‚ÆO‚ªˆê’¼üã‚É‚ ‚é
Ì În¸{0,1}; arg((ƒ¿+ƒÁ)/2) = arg((ƒÀ+ƒÂ)/2) + nƒÎ
Ì În¸{0,1}; arg(ƒ¿+ƒÁ) = -arg(_ƒÀ+_ƒÂ) + nƒÎ
Ì În¸{0,1}; arg((ƒ¿+ƒÁ)(_ƒÀ+_ƒÂ)) = nƒÎ
Ì arg((ƒ¿+ƒÁ)(_ƒÀ+_ƒÂ)) ¸ R.
‚Å‚ ‚é‚Ì‚ÅC(*)‚©‚çCAC‚Ì’†“_PCBD‚Ì’†“_QC‚»‚ê‚ÆO‚ªˆê’¼üã‚É‚ ‚éD//
‚à‚¤‚ЂƂ‚̕û‚Ìuƒjƒ…[ƒgƒ“‚Ì’è—v‚àŽ¦‚µ‚Ü‚µ‚½‚ªC‚»‚ê‚ÍŒã‚ÅD
‚m‚n‚P‚OuH7Kv 8/28: 12Žž19•ªŽóM XV8/29XV



@
ƒŽ©‘î„@@mizuryu@aqua.ocn.ne.jp
![]()