平成17年7月3日
[流れ星]
第156回数学的な応募問題解答
<解答募集期間:6月11日〜7月3日
[放物線の長さ]
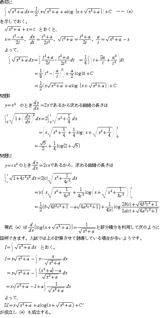
皆さん、今回は入試問題です。簡単に式がでてきますが・・・、
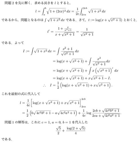
問題1:放物線 y=x2 (0≦x≦1)の長さを求めよ。
問題2:放物線 y=cx2 (a≦x≦b)の長さを求めよ。ただし、a、b、cは定数です。
NO1「浜田明巳」6/11: 17時30分受信
「浜田明巳」6/16: 13時49分受信 更新7/3
問題1:曲線の長さの公式から,長さLは,
L=∫(0≦x≦1){1+(y')2}1/2dx
=∫(0≦x≦1){1+(2x)2}1/2dx
x=t/2とすると,dx/dt=1/2
x=0のときt=0で,x=1のときt=2
∴L=∫(0≦t≦2)(1+t2)1/2・1/2・dt
=1/2・∫(0≦t≦2)(1+t2)1/2dt
=1/2・∫(0≦t≦2)t'(1+t2)1/2dt
=1/2・{[t(1+t2)1/2](0≦t≦2)−∫(0≦t≦2)t・1/2・(1+t2)−1/2・2tdt}
=51/2−1/2・∫(0≦t≦2)t2/(1+t2)1/2dt
=51/2−1/2・∫(0≦t≦2){(1+t2)−1}/(1+t2)1/2・dt
=51/2−1/2・∫(0≦t≦2){(1+t2)1/2−1/(1+t2)1/2}dt
=51/2−L+1/2・∫(0≦t≦2)1/(1+t2)1/2dt
∴2L=51/2+1/2・∫(0≦t≦2)1/(1+t2)1/2・{t+(1+t2)1/2}/{t+(1+t2)1/2}・dt
=51/2+1/2・∫(0≦t≦2){t/(1+t2)1/2+1}/{t+(1+t2)1/2}・dt
=51/2+1/2・∫(0≦t≦2){t+(1+t2)1/2}'/{t+(1+t2)1/2}・dt
=51/2+1/2・[log{t+(1+t2)1/2}](0≦t≦2)
=51/2+1/2・log(2+51/2)
∴L=1/2・51/2+1/4・log(2+51/2)
問題2:問題1と同様に,
∫(1+t2)1/2dt=1/2・t(1+t2)1/2+1/2・log{t+(1+t2)1/2}+C
=1/2・[t(1+t2)1/2+log{t+(1+t2)1/2}]+C(Cは積分定数)
となる.
故に長さLは,
L=∫(a≦x≦b){1+(y')2}1/2dx
=∫(a≦x≦b){1+(2cx)2}1/2dx
x=t/(2c)とすると,dx/dt=1/(2c)
x=aのときt=2acで,x=bのときt=2bc
∴L=∫(2ac≦t≦2bc)(1+t2)1/2・1/(2c)・dt
=1/(2c)・∫(2ac≦t≦2bc)(1+t2)1/2dt
=1/(2c)・1/2・[t(1+t2)1/2+log{t+(1+t2)1/2}](2ac≦t≦2bc)
=1/(4c)・([2bc(1+4b2c2)1/2+log{2bc+(1+4b2c2)1/2}]−[2ac(1+4a2c2)1/2+log{2ac+(1+4a2c2)1/2}])
=1/(4c)・[2bc(1+4b2c2)1/2−2ac(1+4a2c2)1/2+log{2bc+(1+4b2c2)1/2}−log{2ac+(1+4a2c2)1/2}]
大変な計算でした.
(別解)問題1において,GRAPESでも解いてみた.
(スクリプト)(コピーする場合は,全角の空白を半角の空白にして下さい)
# //Clickで計算開始
# k:=.001
# d:=0
# u:=0
# for a:=0+k to 1+k*.5 step k
# d:=d+Sqrt((u-a)*(u-a)+(u*u-a*a)*(u*u-a*a))
# draw
# u:=a
# next a
# ---
これにより長さは1.478942783となり,1/2・51/2+1/4・log(2+51/2)の近似値1.47894とほぼ等しい事が分かる.

NO2「中川幸一」6/12: 18時01分受信 更新7/3
「解答」です。
NO3「cbc」 6/12: 20時11分受信 更新7/3
<「cbc」:今回は積分計算だけが狙い?絶対値の処理でミスを犯すとこでした^^>

NO4「H7K」 6/12: 22時22分受信 更新7/3

NO5「Toru」
6/14: 16時32分受信 更新7/3
まず以前にも出た?
I=∫√(1+t^2) dt の形の積分を片付けておきます。
部分積分法によって
I=t√(1+t^2)-∫t^2/√(1+t^2)dt= t√(1+t^2)-I+∫1/√(1+t^2)dt
より I= 1/2(t√(1+t^2)+∫1/√(1+t^2)dt)
J=∫1/√(1+t^2)dt については s=t+√(1+t^2)とおくと1/s=
-t+√(1+t^2)
√(1+t^2) =(s+1/s)/2 t=(s-1/s)/2 dt/ds=(1+1/s^2)/2
からJ=∫(1+1/s^2)/(s+1/s) ds=∫ds/s=log|s|=log(t+√(1+t^2))
これからI=1/2(t√(1+t^2)+ log(t+√(1+t^2)))
さてやっと本題
問題1 求める長さは
∫[x=0〜1]√(1+(dy/dx)^2)dx
=∫[x=0〜1]√ (1+4x^2)dx (t=2xとして)
=1/2 ∫[t=0〜2]√ (1+t^2) dt=1/4 [t√(1+t^2)+
log(t+√(1+t^2))] [t=0〜2]
= (2√5+log(2+√5))/4
問題2 同様に
∫[x=a〜b]√(1+(dy/dx)^2)dx
=∫[x=a〜b]√ (1+4c^2x^2)dx (t=2cxとして)
=1/2c ∫[t=2ac〜2bc]√ (1+t^2) dt=1/4c [t√(1+t^2)+
log(t+√(1+t^2))] [t=2ac
〜2bc]= 1/2(b√(1+4b^2c^2)-a√(1+4a^2c^2))+1/4c log((2bc+
√(1+4b^2c^2))/(2ac+√(1+4a^2c^2)))
あまりきれいになりませんでした。「2次曲線の弧長は円と放物線とのほかは楕円積分に帰する」というところへつながるのですね。
ところでこれって本当に入試問題ですか?
NO6「uchinyan」6/20 18時28分受信 <br>
NO6「uchinyan」6/22 11時16分受信 更新7/3<br>
<uchinyan:済みませんが、解答、少し追加しました。添付したもので置き換えてください。>
<水の流れ:他の解答者から c の正負の場合分けのがあり、そうだったのか と 考えています。>
<uchinyan:あ、これは確かにそうなのですが、結局、同じ式になることは確認済みです。したがって、場合分けは不要だと思います。>
<uchinyan:出題の意図がイマイチ分からなかったので、どうしようか迷ったのですが、一応。>
問題1
y = x^2, dy/dx = 2x より、求める曲線の長さ L は、
L = ∫[0,1] sqrt(1 + (dy/dx)^2)
dx = ∫[0,1] sqrt(1 + 4 *
x^2) dx
2x -> x と変数変換して
L = 1/2 * ∫[0,2] sqrt(1 + x^2) dx
ここで、
{1/2 * (x * sqrt(1 + x^2) + log(x + sqrt(1 + x^2)))}' = sqrt(1 + x^2)
なので、
L = 1/2 * [1/2 * (x * sqrt(1 + x^2) + log(x + sqrt(1 + x^2)))][0,2]
= 1/4 * (2 * sqrt(5) + log(2 + sqrt(5))
これで、いいのでしょうか。
問題2
基本的には、同じですが、若干場合分けをして確認です。
y = cx^2, dy/dx = 2cx より、求める曲線の長さ L は、
L = ∫[a,b] sqrt(1 + (dy/dx)^2) dx = ∫[a,b] sqrt(1 + 4c^2 * x^2) dx
c not= 0 のとき:(c > 0 でも c < 0 でも、同じ式になります。)
2cx -> x と変数変換して
L = 1/2c * ∫[2ac,2bc] sqrt(1 + x^2) dx
= 1/2c * [1/2 * (x * sqrt(1 + x^2) + log(x + sqrt(1 + x^2)))][2ac,2bc]
= 1/4c * {(2bc * sqrt(1 + (2bc)^2) + log(2bc + sqrt(1 + (2bc)^2))
- (2ac * sqrt(1 + (2ac)^2) + log(2ac + sqrt(1 + (2ac)^2)))}
= 1/4c * {2bc * sqrt(1 + (2bc)^2) - 2ac * sqrt(1 + (2ac)^2)
+ log((2bc + sqrt(1 + (2bc)^2))/(2ac + sqrt(1 + (2ac)^2)))}
c = 0 のとき:
L = ∫[a,b] sqrt(1) dx = b-a
なお、c not= 0 で c -> 0 とすると、b-a になります。考察2を参照。
考察1:
∫sqrt(1 + x^2) dx の積分は、よく知られているのでいちいち計算しませんでし
たが、ひょっとしたら、
この計算をするのが、この問題の意図だったのかもしれません。
一応、方針だけを書いてきます。
(方針1)
∫sqrt(1 + x^2) dx = x * sqrt(1 + x^2) - ∫sqrt(1 + x^2) dx + ∫1/sqrt(1 +
x^2) dx
∫sqrt(1 + x^2) dx = 1/2 *
{x * sqrt(1 + x^2) + ∫1/sqrt(1 + x^2) dx}
なので、∫1/sqrt(1 + x^2) dx を求めればOKです。
これは、t = x + sqrt(1 + x^2) とおくと、dt/dx
= t/sqrt(1 + x^2) となるの
で、これからすぐにもとまります。
(方針2)
t = x + sqrt(1 + x^2) とおいて、変形すると、x = (t^2 - 1)/2t, dt/dx =
t/sqrt(1 + x^2) となるので、
これから、∫sqrt(1 + x^2) dx は、t の有理式になり、積分可能です。
注:
t = x + sqrt(1 + x^2) の変換は、y^2 = x^2 + 1 の双曲線の漸近線 y =
-x に
平行な直線で y > 0 の枝を
一意に切っていることに対応します。よくある、有理化の手法ですね。
(方針3)
いわゆる双曲線関数を使って、x = sinh(t) = 1/2 * (exp(t) - exp(-t)) とお
きます。
cosh(t) = 1/2 * (exp(t) + exp(-t)), cosh^2(t) -
sinh^2(t) = 1,
sqrt(1 + x^2) = cosh(t), dx/dt = cosh(t), cosh^2(t) = 1/2
* (1 + cosh(2t)),
(sinh(t))' = cosh(t) などから計算ができます。
(以下少し追加です。)
(方針4)
tx + 1 = sqrt(1 + x^2) とおいても、計算できます。
x = 2t/(1 - t^2) = - {1/(t+1) + 1/(t-1)}
dx/dt = 1/(t+1)^2 + 1/(t-1)^2
sqrt(1 + x^2) = tx + 1 = -
t/(t+1) - t/(t-1) + 1
などを使うと、やはり、有理式の積分になって計算可能です。
この方針は、(方針2)と同様で、双曲線と直線の交点を用いる方法です。
ただし、計算は少し大変です。
(方針5)
x = tanθとおく方法もあります。-π/2 < θ < π/2 なので、cosθ > 0 で、
dx/dθ = 1/(cosθ)^2
sqrt(1 + x^2) = sqrt(1 + (tanθ)^2) = sqrt(1/(cosθ)^2) = 1/cosθ
これらから三角関数の積分になり、この三角関数の積分は、t = sinθ として、
やはり有理式の積分に変換できます。
考察2:
問題2で、c not= 0 のときの式、
L = 1/4c * {2bc * sqrt(1 + (2bc)^2) - 2ac * sqrt(1 + (2ac)^2)
+ log((2bc + sqrt(1 + (2bc)^2))/(2ac + sqrt(1 + (2ac)^2)))}
で、c -> 0 とすると、
(Lの第1項) -> 1/2 * (b-a)
(Lの第2項)
= 1/4c * {log(2bc + sqrt(1 + (2bc)^2)) - log(2ac + sqrt(1 + (2ac)^2))}
= 1/4c * {log(1 + 2bc + 1/2 * (2bc)^2 + o(c^2)) - log(1 + 2ac + 1/2 *
(2ac)^2 + o(c^2))}
= 1/4c * {1 - (-2bc) + o(c^2) - (1 - (-2ac) + o(c^2))}
= 1/4c * {2bc - 2ac + o(c^2)}
-> 1/2 * (b-a)
結局、c -> で L -> b-a となり、c = 0 の場合に一致します。
ただ、これを、マクローリン展開なしで示すのは、少し大変そうです。
ひょっとして、これが出題の意図だったのでしょうか。
(以下少し追加です。)
高校で平均値の定理って習うんでしたか?
もしそうならば、a not= b の場合(a = b の場合は、明らかに 0 です。)、
f(x) = log(x + sqrt(1 + x^2)) とおいて、f'(x) = 1/sqrt(1 +
x^2) で、
c not= 0 のとき、
(f(2bc) - f(2ac))/(2bc - 2ac) = f'(d), 2ac < d < 2bc
(Lの第2項)
= 1/4c * {log(2bc + sqrt(1 + (2bc)^2)) - log(2ac + sqrt(1 + (2ac)^2))}
= 1/4 * 2(b-a) * (f(2bc) - f(2ac))/(2bc - 2ac)
= 1/4 * 2(b-a) * f'(d)
c -> 0 で d -> 0 となり、f'(d) -> 1 なので、
(Lの第2項) -> 1/2 * (b-a)
とすれば、いいですね ^^;
NO7「kashiwagi」6/21 20時22分受信 更新7/3
この様な問題 が入試にでるのですか・・・。私は大学の教養課程でこの公式を知ったのですが、 現在は高校で教えるのですね。うーん。
<水の流れ:過去に慶応大学の入試の中でありましたし、この積分は公式とは言わないまでも、計算過程を記憶しておくと助かります。>
156回解答
以下の公式を使用します。
ですから
問1.
であるからA=1/4
因って、
が求めるものである。
問2. 問1と同様にする。但し、cの正負で場合訳をする。
@c≧0の時
-
Ac<0の時
+
NO8「kasama」 6/27 16時05分受信 更新7/3
さて、今回の問題です。『簡単に式がでてきますが・・・』とコメントがありました。添付リストの通り、あまり苦労せずに積分できますが、これでよろしいのでしょうか。
興味本位にMathmaticsにやらせてみました。三角関数の逆関数や双曲線正弦などが出てきて、まぁあっているのでしょうけど、人間味のある式(笑)ではなかったので、
素手でコツコツやりました。
【問題2】
関数y=f(x)の点a、b間の長さsは
s=∫√(1+(dy/dx)2)dx (a≦x≦b)
です。ここで、f(x)=cx2とすると、
s=∫√(1+(2cx)2)dx (a≦x≦b)
ですが、公式∫√(x2+α)dx=[x√(x2+α)+αlog{x+√(x2+α)}]/2+C(=定数)を利用すると、
s=2c∫√(x2+1/2c2)dx (a≦x≦b)
={b√(1+(2bc)2)-a√(1+(2ac)2)}/2 + [log{√(1+(2bc)2)+2bc}+log{√(1+(2ac)2)-2ac}]/(4c)
です。
【問題1】
上式にa=0、b=1、c=1を代入して、整理すると、
s={log(2+√5)+2√5}/4
となります
![]()