平成17年9月4日
[流れ星]
第159回数学的な応募問題解答
<解答募集期間:8月13日〜9月4日
[綺麗な不等式]
皆さん、今回の問題です。考えてください。
NO1「H7K」 8/13 17時59分受信 更新9/4
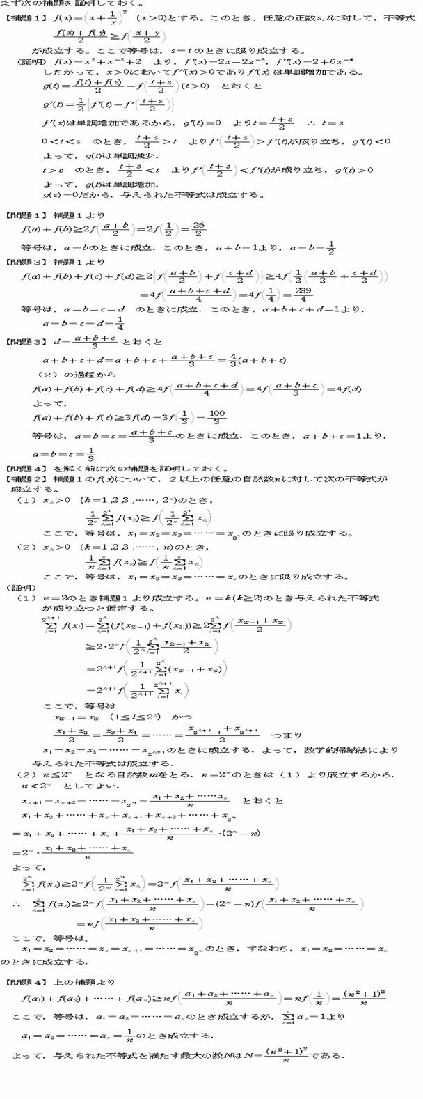
まず,次が成り立っていることを確認.
定理A: [0,∞)でf''>0のとき,正数a_1, a_2,..., a_nについて,f((a_1+...+a_n)/n) <= ( f(a_1)+f(a_2)+...+f(a_n)
)/n.
補題1 a+b=1, p, q>0, f''は[0,∞)で>0ならば,f(ap+bq)<=af(p)+bf(q).等号はp=qのみ.
とりあえず,ここではこれを「凸関数の性質より明らか」と認めます.Taylor展開は使わないことにしよう.
すると,定理Aが,以下のように示せる.
f(a_1)+f(a_2)+...+f(a_n) =
2(f(a_1)/2+f(a_2)/2)+f(a_3)+f_(a_4)+...+f(a_n)
>= 2f( (a_1+a_2)/2 ) + f(a_3)+f_(a_4)+...+f(a_n)
= 3( 2f( (a_1+a_2)/2 )/3 + f(a_3)/3 )+f_(a_4)+...+f(a_n)
>= 3f( (a_1+a_2+a_3)/3 ) + f_(a_4)+...+f(a_n)
>= ..... >=nf((a_1+...+a_n)/n).
等号成立条件は,全ての不等号が等号となるとき,つまり,a_1=a_2=...=a_nのとき.
さて,以下,x>0とする.
f(x)=(x+1/x)^2とすると,f''=4(x+1/x)/x^3+2(1-1/x^2)^2>0だから,
定理Aが成立する.
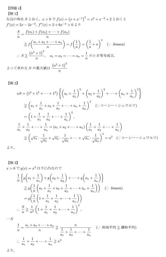
問題1. (f(a)+f(b))/2 >= f((a+b)/2)=(1/2+2)^2=25/4.両辺を2で掛ければ題意を得る.
問題2. 同様に,f(a)+f(b)+f(c) >= 3 f(1/3) = 3*100/9 = 100/3.
問題3, 4
(左辺)>= n f(1/n) = (n^2+1)^2/n. (問題3はn=4の場合だから,289/4.)である.
これが最大であることは,a_1=a_2=...=a_n=1/nのときに,左辺がこの値と等しくなることからわかる.
NO2「uchinyan」8/16 17時48分受信 更新9/4
第159回数学的な応募問題の解答 まず、次の補題を証明しておきます。
補題:
y = f(x) が二回微分可能で f''(x) >= 0 とする。
n >= 2 で p1 + p2 + ... + pn = 1, p1, p2, ..., pn > 0 のとき、
f(p1 * x1 + p2 * x2 + ... + pn * xn)
<= p1 * f(x1) + p2 * f(x2) + ... + pn * f(xn)
(証明)
* n = 2 の場合
対称性より、x1 <= x2 として一般性を失わない。
x1 = x2 のときは明らか。なお、この場合に等号が成立。
x1 < x2 のとき。
p1 + p2 = 1 なので、
x2 - (p1 * x1 + p2 * x2) = p1 * (x2 - x1) > 0
(p1 * x1 + p2 * x2) - x1 = p2 * (x2 - x1) > 0
より、
x1 < p1 * x1 + p2 * x2 < x2
そこで、平均値の定理より、
(f(p1 * x1 + p2 * x2) - f(x1))/((p1 * x1 + p2 * x2) - x1) = f'(c1)
x1 < c1 < p1 * x1 + p2 * x2
(f(x2) - f(p1 * x1 + p2 * x2))/(x2 - (p1 * x1 + p2 * x2)) = f'(c2)
p1 * x1 + p2 * x2 < c2 < x2
ここで、f''(x) >= 0 より、f(x) は単調増加で、f'(c1) <= f'(c2)
等号は、c1, c2 の間で、常に、f''(x) = 0 の場合。
このとき、p1 + p2 = 1 に注意して変形すると、
(f(p1 * x1 + p2 * x2) - f(x1))/((p1 * x1 + p2 * x2) - x1)
<= (f(x2) - f(p1 * x1 + p2 * x2))/(x2 - (p1 * x1 + p2 * x2))
(f(p1 * x1 + p2 * x2) - f(x1))/(p2 * (x2 - x1))
<= (f(x2) - f(p1 * x1 + p2 * x2))/(p1 * (x1 - x2))
p1 * (f(p1 * x1 + p2 * x2) - f(x1))
<= p2 * (f(x2) - f(p1 * x1 + p2 * x2))
f(p1 * x1 + p2 * x2) <= p1 * f(x1) + p2 * f(x2)
で成立する。 ただし等号は、
x1 = x2 又は f''(x) = 0 がいえる範囲で恒等的に成立する 場合
後者は、f(x) に依存するので、一般には確定できない。
常に f''(x) > 0 の場合は、等号は、x1 = x2 の場合に限る。
* n の場合
2, ..., n-1 で成立したとする。
すると、q = p1 + p2 + ... + p_(n-1) とおくと、q > 0 で、q + pn
= 1
そこで、
f(p1 * x1 + p2 * x2 + ... + pn * xn)
= f((p1 * x1 + p2 * x2 + ... + p_(n-1) * x_(n-1))/q * q + pn
* xn)
<= q * f((p1 * x1 + p2 * x2 + ... + p_(n-1) * x_(n-1))/q) + pn * f(xn)
= q * f(p1/q * x1 + p2/q * x2 + ... + p_(n-1)/q * x_(n-1)) + pn * f(xn)
p1/q + p2/q + ... + p_(n-1)/q = 1 より、
<= q * (p1/q * f(x1) + p2/q * f(x2) + ... + p_(n-1)/q * f(x_(n-1)))
+ pn * f(xn)
= p1 * f(x1) + p2 * f(x2) + ... + pn * f(xn)
で成立。
等号は、常に f''(x) > 0 ならば、x1 = x2 = ... = xn に限る。
f''(x) = 0 がある場合には、一般に f(x) に依存する。
(証明終)
今回の問題では、f''(x) > 0 の場合だけを使います。
(補足)
例えば、f(x) = ax + b, a, b は 0 でも可、の場合、常に f''(x) = 0 で、
f(x) の不等式は常に等式になります。まぁ、線形の関係なので当たり前ですね。
さて、本題です。すべて同様なので、問題4:から解きます。 なお、コーシー・シュワルツの不等式は、使用しませんでした。
問題4:
まず、補題で p1 = p2 = ... = pn = 1/n とおくと、
1/n * (f(x1) + f(x2) + ... + f(xn)) >= f((x1 + x2
+ ... + xn)/n)
になります。以下、これを使います。
ここで、f(x) = (x + 1/x)^2 = x^2 + 2 + 1/x^2 とおくと、
f''(x) = 2 + 6/x^4 > 0
なので、
1/n * ((x1 + 1/x1)^2 + (x2 + 1/x2)^2 + ... + (xn +
1/xn)^2)
>= ((x1 + x2 + ... + xn)/n + n/(x1 + x2 + ... + xn))^2
(x1 + 1/x1)^2 + (x2 + 1/x2)^2 + ... + (xn + 1/xn)^2
>= n * ((x1 + x2 + ... + xn)/n + n/(x1 + x2 + ...
+ xn))^2
x1 = a1, x2 = a2, ..., xn = an, a1, a2, ..., an
> 0 とすると、
(a1 + 1/a1)^2 + (a2 + 1/a2)^2 + ... + (an + 1/an)^2
>= n * ((a1 + a2 + ... + an)/n + n/(a1 + a2 + ... + an))^2
a1 + a2 + ... + an = 1 なので、
(a1 + 1/a1)^2 + (a2 + 1/a2)^2 + ... + (an + 1/an)^2
>= n * (1/n + n)^2 = 1/n * (n^2 + 1)^2
ただし、等号は、a1 = a2 = ... = an = 1/n の場合です。
そこで、N = 1/n * (n^2 + 1)^2 になります。
問題1:
n = 2 の場合で、N = 1/2 * (2^2 + 1)^2 = 25/2 なので、成立。
問題2:
n = 3 の場合で、N = 1/3 * (3^2 + 1)^2 = 100/3 なので、成立。
問題3:
n = 4 の場合で、N = 1/4 * (4^2 + 1)^2 = 289/4 となります。
(感想)
問題4:で、a1 + a2 + ... + an = 1 の条件で偏微分したときの値が0 となるのが、a1 = a2 = ... = an = 1/n なのはすぐに分かるので、
左辺は完全平方の和であることから、直感的には、このときに、
左辺は最小値になるだろう、と思われます。実際、これが、N = 1/n * (n^2 + 1)^2 になるわけですね。
(蛇足)
コーシー・シュワルツの不等式は使用しませんでしたが、先ほどの補題で、
f(x) = x^2, (y1)^2 + (y2)^2 + ... + (yn)^2 = y,
p1 = (y1)^2/y, p2 = (y2)^2/y, ..., pn = (yn)^2/y
とおくと、f''(x) = 2 > 0 で、
p1 * (x1)^2 + p2 * (x2)^2 + ... + pn * (xn)^2
>= (p1 * x1 + p2 * x2 + ... + pn * xn)^2
がいえ、
(y1)^2/y * (x1/y1)^2 + (y2)^2/y * (x2/y2)^2 + ... + (yn)^2/y
* (xn/yn)^2
>= ((y1)^2/y * x1/y1 + (y2)^2/y * x2/y2 + ... + (yn)^2/y
* xn/yn)^2
1/y * ((x1)^2 + (x2)^2 + ... + (xn)^2)
>= 1/y^2 * (x1 * y1 + x2 * y2 + ... + xn * yn)^2
((x1)^2 + (x2)^2 + ... + (xn)^2) * y
>= (x1 * y1 + x2 * y2 + ... + xn * yn)^2
((x1)^2 + (x2)^2 + ... + (xn)^2) * ((y1)^2 + (y2)^2 +
... + (yn)^2)
>= (x1 * y1 + x2 * y2 + ... + xn * yn)^2
ただし、等号は、x1/y1 = x2/y2 = ... = xn/yn となって、 コーシー・シュワルツの不等式が証明できます。
NO3「Toru」 8/18
14時52分受信 更新9/4
第159回解答を送ります。直観的なものと、少しだけ理論的なものを書いてみました。いろいろ考えると不満の残るところがあり、今一つですが、余り時間も書けられず、この当たりで手を打っておきます。
y=f(x)が凸関数の時(f'(x)≡0はのぞいて)
この曲線上の点A1(a1,f(a1)),A2(a2,f(a2)),-----,An(an,f(an))
(a1≦a2≦---≦an)
とすると、凸型N角形A1A2---Anは曲線の上側に位置し、
点((a1+a2+----+an)/n,(f(a1)+f(a2)+-----+f(an))/n)は凸型N角形A1,A2,----,Anの
重心であるから、明らかに曲線より上に位置する。よって
f((a1+a2+----+an)/n)≦(f(a1)+f(a2)+-----+f(an))/n 等号はa1=a2=----=anの時、
あるいは、もう少し厳密に、
ある区間内でf’’(x)≧0、この区間内にa1≦a2≦-----≦an をとったとして
n f((a1+a2+----+an)/n)≦(f(a1)+f(a2)+-----+f(an))を数学的帰納法で証明する。
n=1の時は明らかに成り立つ n=kで成り立つとして
bk=(a1+a2+----+ak)/kとすると、kf(bk) ≦f(a1)+f(a2)+---+f(ak) でまたa1≦a2
≦-----≦a(k+1)よりbk≦a(k+1),
bk<a(k+1)の時、bk+1は区間(bk,a(k+1))を1:kに内分する点で、(bk,b(k+1))
(b(k+1),a(k+1))に平均値の定理を適用すれば、
(f(b(k+1))-f(bk))/(b(k+1)-bk)=f’(ck1),
(f(a(k+1))-f(b(k+1))/(a(k+1)-b(k+1))=f’(ck2)
bk<ck1<b(k+1)<ck2<a(k+1)となるck1,ck2が存在する。f’’(x)≧0
の時 f’(x)は
単調増加であるから、f’(ck1)≦f’(ck2) より
(f(b(k+1))-f(bk))/(b(k+1)-bk)≦(f(a(k+1))-f(b(k+1))/(a(k+1)-b(k+1))
k(b(k+1)-bk)= a(k+1)-b(k+1)とから
(k+1)f(b(k+1))≦(kf(bk)+f(a(k+1)))≦f(a1)+f(a2)+-----+f(a(k+1))
bk=a(k+1)の時a1=a2=-----=ak=a(k+1)
で(k+1)f(b(k+1))=f(a1)+f(a2)+-----+f(a(k+1))
といずれの場合も n=k+1で成りたつ。
よって数学的帰納法より、nf((a1+a2+----+an)/n)≦f(a1)+f(a2)+-----+f(an)は証明された。
(等号はa1=a2=----=an, or 点(ak,f(ak))
(k=1,2,----,n)が一直線上にある時)
f(x)=(x+1/x)^2 とするとf’(x)=2(x+1/x)(1-1/x^2)=2(x-1/x^3), f’’
(x)=2(1+3/x^4)>0 よってこれに上記を適用する、
1) f(a)+f(b)≧2f((a+b)/2)=2f(1/2)=25/2 等号はa=b=1/2の時
2) f(a)+f(b)+f(c)≧3((a+b+c)/3)=3f(1/3)=100/3 等号はa=b=c=1/3の時
3) f(a)+f(b)+f(c)+f(d)≧4((a+b+c+d)/4)=4f(1/4)=289/4 等号はa=b=c=d=1/4
4) f(a1)+f(a2)+---+f(an≧n((a1+a2+----+an)/n)=nf(1/n)=((n^2+1)^2)/n
NO4「ice」 8/18
22時55分受信 更新9/4

NO5「kashiwagi」8/21 12時05分受信 更新9/4
159回解答
問1.まずコーシー・シュワルツの不等式で証明する。
が成り立ち、等号は
と各々が正の数との条件から
で成立する。
ところで相加平均、相乗平均及び調和平均の関係から
が成り立ち、
より
である。
この関係をコーシー・シュワルツの不等式に代入し、
=![]()
が成立する。
次に凸関数の性質から証明する。
今、関数
を考えると、その二次導関数は ![]()
![]()
であるから
が成り立つ。
即ち、![]()
![]()
![]()
これらより
となる。
問2. 問1と全く同様にコーシー・シュワルツの不等式で3数の計算を行うと証明でき、等号は
で成立する。
又、凸関数の性質
からも同様に証明される。
問3. 4数の調和平均の関係を使うと
となる。
因って求める値
となる。
問4. 問1〜3の結果から
の時 ![]()
の時 ![]()
の時
であるから
の時
となるものと推定される。
NO6「cbc」 8/22 10時31分受信 更新9/4

NO7「kasama」 8/23 09時32分受信 更新9/4
さて、今回は不等式に関する出題ですね。
やり方は幾通りかあろうかと思いますが、まず{f(x)+f(y)}/2≧f((x+y)/2)を一般化して、相加平均≧調和平均を利用する方法で取り組みました。
まぁ、(x+1/x)^2は下に凸の関数ですから、直感的に(a1+1/a1)^2+(a2+1/a2)^2+・・・+(an+1/an)^2も下に凸で極値が存在するとすれば、最小値と考えられるので、Lagrangeの乗数法でやるのが手取り早いかもしれません。
まず、一般化から始めます。問題文に書いてある定理より、f''(x)>0のとき、{f(x)+f(y)}/2≧f((x+y)/2)ですが、これを少し拡張しまして、
{f(x1)+f(x2)+・・・+f(xn)}/n≧f((x1+x2+・・・+xn)/n) ・・・(1)
とやります(補足参照)。そして、n≧2に対して、二次関数f(x)=nx2とすると、f''(x)=2n>0です。また、正の実数でa1+a2+・・・+an=1を満たすようなa1、a2、・・・、anに対して、x1=a1+1/a1、x2=a2+1/a2、・・・、xn=an+1/anとすると、(1)式の左辺は
左辺={n(a1+1/a1)2+n(a2+1/a2)2+・・・+n(an+1/an)2}/n=(a1+1/a1)2+(a2+1/a2)2+・・・+(an+1/an)2 ・・・(2)
一方、(1)式の右辺は、
右辺=n{(a1+1/a1+a2+1/a2+・・・+an+1/an)/n}2=(1+1/a1+1/a2+・・・+1/an)2/n ・・・(3)
です。ここで、受験数学のテクニックの一つとしてよく知られている『相加平均≧調和平均』を利用して、
(a1+a2+・・・+an)/n≧n/(1/a1+1/a2+・・・+1/an)⇒1/a1+1/a2+・・・+1/an≧n2/(a1+a2 +・・・+an)⇒1/a1+1/a2+・・・+1/an≧n2
これを(3)に適用すると、
(1+1/a1+1/a2+・・・+1/an)2/n≧(1+n2)2/n
ですから、
(a1+1/a1)2+(a2+1/a2)2+・・・+(an+1/an)2≧(1+n2)2/n ・・・(4)
となります。
上記の考察を基にして問題を考えます。
【問題1、2、3】 n=2,3,4に特化したケースです。
【問題4】 (4)式より、N=(1+n2)2/nです。
【補足】
ξ=(x1+x2+・・・+xn)/nとして、f(xi)をξの近傍にTaylor展開すると、
f(xi)=f(ξ)+(xi-ξ)f'(ξ)+(xi-ξ)2f''(ξ+θi(xi-ξ))/2,
0<θi<1 (i=1,2,・・・,n)
ですが、f''(x)>0なので、
f(xi)≧f(ξ)+(xi-ξ)f'(ξ) (i=1,2,・・・,n)
となり、i=1,2,・・・,nで和をとって、
f(x1)+f(x2)+・・・+f(xn)≧nf(ξ)+(x1+x2+・・・+xn-ξ)f'(ξ)=nf(ξ)⇒{f(x1)+f(x2)+・・・+f(xn)}/n≧f((x1+x2+・・・+xn)/n) です。
NO8「浜田明巳」8/31
14時24分受信 更新9/4
第159回数学的な応募問題解答
いつものようにエクセルのマクロで求めた.数学的には正しくない方法である.
0<ai≦aj<1(i<j)としてai(i=1,2,………,n)を設定して,シラミつぶしで
p=(a1+1/a1)^2+(a2+1/a2)^2+………+(an+1/an)^2
を計算し,その最小値Nとそのときのa1〜anを表示するようにしている.
ただし闇雲にシラミつぶしの計算をしても,時間がかかるので,次のようにaiの範囲を限定する.
0<a1≦a2≦………≦an,a1+a2+………+an=1なので,
1=a1+a2+………+an≧a1+a1+………+a1=na1
∴0<a1≦1/n
同様に,a1≦a2≦………≦an,a2+a3+………+an=1−a1なので,
1−a1=a2+a3+………+an≧a2+a2+………+a2=(n−1)a2
∴a1≦a2≦(1−a1)/(n−1)
同様に,
a2≦a3≦(1−a1−a2)/(n−2)
a3≦a4≦(1−a1−a2−a3)/(n−3)
………
となる.
このマクロにより,a1=a2=………=anのとき,最小になる事が分かるので,
a1=a2=………=an=1/n
となり,最小値Nは
N=n{1/n+1/(1/n)}^2=n(1/n+n)^2=(n^2+1)^2/n
となる.
問題1.(n=2の場合)
問題2.(n=3の場合)
問題3.n=4の場合なので,N=(4^2+1)^2/4=289/4
問題4.(n^2+1)^2/n
(プログラム)(コピーする際は,全角の空白を縮小の空白に置き直して下さい)
Option Explicit
Sub Macro1()
Sheets("Sheet1").Select
Call m1
Call m2
Call m3
Call m4
End Sub
Sub m1() 'a
Dim n As Integer
Dim a As Double
Dim p As Double
n = 1
Cells(n, 1).Value = n
Range("B" & n).Select
a = 1
p = (a + 1 / a) * (a + 1 / a)
Cells(n, 3).Value = a
Cells(n, 2).Value = p
End Sub
Sub m2() 'a<=b
Dim n As Integer
Dim a As Double
Dim b As Double
Dim a_max As Double
Dim a_min As Double
Dim a_max0 As Double
Dim a_min0 As Double
Dim aa As Double
Dim p As Double
Dim min As Double
Dim kizami As Double
Dim dankai As Integer
n = 2
Cells(n, 1).Value = n
Range("B" & n).Select
min = 1000000
kizami = 0.01
a_min0 = kizami
a_max0 = 1 / n
For dankai = 1 To 14
If dankai = 1 Then
a_min = a_min0
a_max = a_max0
Else
a_min = Application.Max(aa - kizami, a_min0)
a_max = Application.min(aa + kizami, a_max0)
kizami = kizami * 0.1
End If
For a = a_min To a_max
Step kizami
b = 1 - a
If a <= b And b < 1 Then
p = (a + 1 / a) * (a + 1 / a) + (b + 1 / b) * (b + 1 / b)
If min > p Then
min = p
aa = a
Cells(n, 2).Value = min
Cells(n, 3).Value = aa
Cells(n, 4).Value = b
End If
End If
Next a
Next dankai
End Sub
Sub m3() 'a<=b<=c
Dim n As Integer
Dim a As Double
Dim b As Double
Dim c As Double
Dim a_max As Double
Dim a_min As Double
Dim b_max As Double
Dim b_min As Double
Dim a_max0 As Double
Dim a_min0 As Double
Dim aa As Double
Dim bb As Double
Dim p As Double
Dim min As Double
Dim kizami As Double
Dim dankai As Integer
n = 3
Cells(n, 1).Value = n
Range("B" & n).Select
min = 1000000
kizami = 0.01
a_min0 = kizami
a_max0 = 1 / n
For dankai = 1 To 14
If dankai = 1 Then
a_min = a_min0
a_max = a_max0
Else
a_min = Application.Max(aa - kizami, a_min0)
a_max = Application.min(aa + kizami, a_max0)
kizami = kizami * 0.1
End If
For a = a_min To a_max
Step kizami
b_min = Application.Max(bb
- kizami * 10, a)
b_max = Application.min(bb
+ kizami * 10, (1 - a) / 2)
For b = b_min To b_max
Step kizami
c = 1 - a - b
If b <= c And c < 1 Then
p = (a + 1 / a) * (a + 1 / a) + (b + 1 / b) * (b + 1 / b) + (c + 1 / c) *
(c + 1 / c)
If min > p Then
min = p
aa = a
bb = b
Cells(n, 2).Value = min
Cells(n, 3).Value = aa
Cells(n, 4).Value = bb
Cells(n, 5).Value = c
End If
End If
Next b
Next a
Next dankai
End Sub
Sub m4() 'a<=b<=c<=d
Dim b As Double
Dim c As Double
Dim d As Double
Dim a_max As Double
Dim a_min As Double
Dim b_max As Double
Dim b_min As Double
Dim c_max As Double
Dim c_min As Double
Dim a_max0 As Double
Dim a_min0 As Double
Dim aa As Double
Dim bb As Double
Dim cc As Double
Dim p As Double
Dim min As Double
Dim kizami As Double
Dim dankai As Integer
n = 4
Cells(n, 1).Value = n
Range("B" & n).Select
min = 1000000
kizami = 0.01
a_min0 = kizami
a_max0 = 1 / n
For dankai = 1 To 14
If dankai = 1 Then
a_min = a_min0
a_max = a_max0
Else
a_min = Application.Max(aa - kizami, a_min0)
a_max = Application.min(aa + kizami, a_max0)
kizami = kizami * 0.1
End If
For a = a_min To a_max
Step kizami
b_min = Application.Max(bb
- kizami * 10, a)
b_max = Application.min(bb
+ kizami * 10, (1 - a) / 3)
For b = b_min To b_max
Step kizami
c_min = Application.Max(cc
- kizami * 10, b)
c_max = Application.min(cc
+ kizami * 10, (1 - a - b) / 2)
For c = c_min To c_max
Step kizami
d = 1 - a - b - c
If c <= d And d < 1 Then
p = (a + 1 / a) * (a + 1 / a) + (b + 1 / b) * (b + 1 / b) + (c + 1 / c)
* (c + 1 / c) + (d + 1 / d) * (d + 1 / d)
If min > p Then
min = p
aa = a
bb = b
cc = c
Cells(n, 2).Value = min
Cells(n, 3).Value = aa
Cells(n, 4).Value = bb
Cells(n, 5).Value = cc
Cells(n, 6).Value = d
End If
End If
Next c
Next b
Next a
Next dankai
End Sub
同様にマクロm5以降もつくる事が出来る.ただし計算するのに時間がかかるものとなる.
NO9「三角定規」9/01
20時11分受信 更新9/4


NO10「中川幸一」9/03: 11時32分受信 更新9/4
「解答」です。
![]()