平成17年11月13日

[流れ星]

     第162回数学的な応募問題解答

      <解答募集期間:10月23日〜11月13日

[累乗の和]

皆さん、2001年芝浦工業大学の問題を発展して出題しました。考えてください。

 

NO1「uchinyan」10/22 13時40分受信 更新11/13
162回数学的な応募問題への解答、を送ります。
取り敢えず、普通に計算しましたが、何か、一工夫できるのでしょうか。
第162回数学的な応募問題

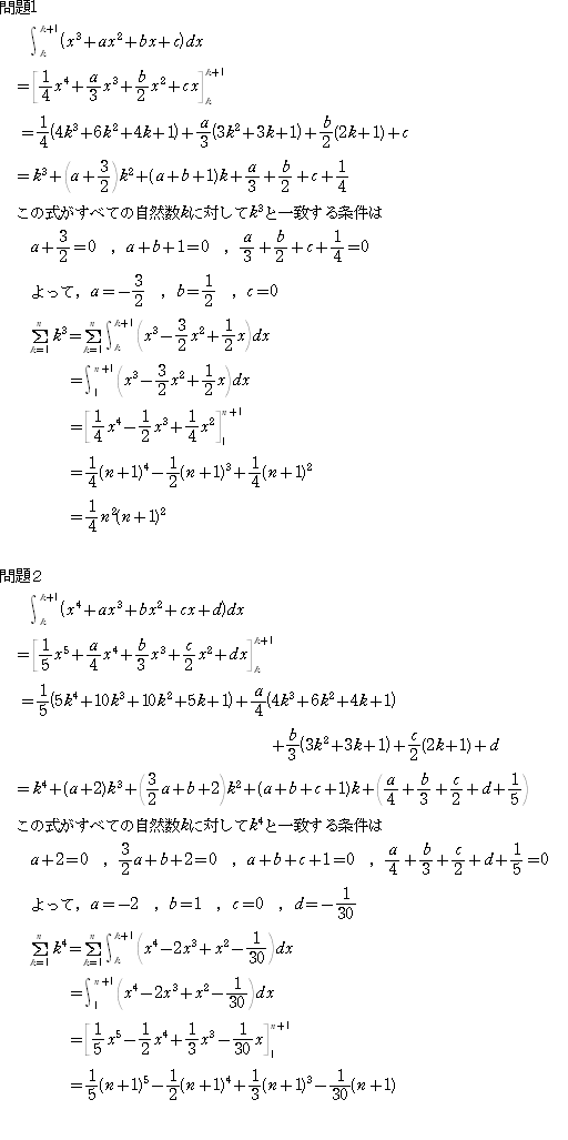
問題1:
1/4 * {(k+1)^4 - k^4} = k^3 + 3/2 * k^2 + k + 1/4
1/3 * {(k+1)^3 - k^3} = k^2 + k + 1/3
1/2 * {(k+1)^2 - k^2} = k + 1/2
(k+1) - k = 1
より
∫[x=k,k+1]{x^3 + a * x^2 + b * x + c}dx
= 1/4 * {(k+1)^4 - k^4} + a/3 * {(k+1)^3 - k^3} + b/2 * {(k+1)^2 - k^2} + c{(k+1) - k}
= (k^3 + 3/2 * k^2 + k + 1/4) + a * (k^2 + k + 1/3) + b * (k + 1/2) + c * 1
= k^3 + (3/2 + a) * k^2 + (1 + a + b) * k + (1/4 + a/3 + b/2 + c)
これが、k^3 に等しくなるには、
a = - 3/2, b = 1/2, c = 0
つまり、
∫[x=k,k+1]{x^3 - 3/2 * x^2 + 1/2 * x}dx
= k^3
そこで、
1^3 + 2^3 + ... + n^3
= ∫[x=1,n+1]{x^3 - 3/2 * x^2 + 1/2 * x}dx
= 1/4 * {(n+1)^4 - 1^4} - 3/2 * 1/3 * {(n+1)^3 - 1^3} + 1/2 * 1/2 * {(n+1)^2 - 1^2}
= 1/4 * {(n+1)^4 - 2 * (n+1)^3 + (n+1)^2}
= {1/2 * n(n+1)}^2

問題2:
1/5 * {(k+1)^5 - k^5} = k^4 + 2 * k^3 + 2 * k^2 + k + 1/5
1/4 * {(k+1)^4 - k^4} = k^3 + 3/2 * k^2 + k + 1/4
1/3 * {(k+1)^3 - k^3} = k^2 + k + 1/3
1/2 * {(k+1)^2 - k^2} = k + 1/2
(k+1) - k = 1
より
∫[x=k,k+1]{x^4 + a * x^3 + b * x^2 + c * x + d}dx
= 1/5 * {(k+1)^5 - k^5} + a/4 * {(k+1)^4 - k^4} + b/3 * {(k+1)^3 - k^3}
+ c/2 * {(k+1)^2 - k^2} + d{(k+1) - k}
= (k^4 + 2 * k^3 + 2 * k^2 + k + 1/5) + a * (k^3 + 3/2 * k^2 + k + 1/4)
+ b * (k^2 + k + 1/3) + c * (k + 1/2) + d * 1
= k^4 + (2 + a) * k^3 + (2 + 3a/2 + b) * k^2 + (1 + a + b + c) * k
+ (1/5 + a/4 + b/3 + c/2 + d)
これが、k^4 に等しくなるには、
a = - 2, b = 1, c = 0, d = - 1/30
つまり、
∫[x=k,k+1]{x^4 - 2 * x^3 + x^2 - 1/30}dx
= k^4
そこで、
1^4 + 2^4 + ... + n^4
= ∫[x=1,n+1]{x^4 - 2 * x^3 + x^2 - 1/30}dx
= 1/5 * {(n+1)^5 - 1^5} - 2 * 1/4 * {(n+1)^4 - 1^4} + 1/3 * {(n+1)^3 - 1^3} - 1/30 * {(n+1) - 1}
= 1/30 * {6 * (n+1)^5 - 15 * (n+1)^4 + 10 * (n+1)^3 - (n+1) - 6 + 15 - 10 + 1}
= 1/30 * (n+1) * {(n+1)-1} * {6 * (n+1)^3 - 9 * (n+1)^2 + (n+1) + 1}
= 1/30 * n(n+1){2(n+1)-1}{3 * (n+1)^2 - 3 * (n+1) - 1}
= 1/30 * n(n+1)(2n+1)(3n^2 + 3n - 1)

[感想]
取り敢えず、素直に解きました。
もう少し、一般化もにらんだうまい方法もあるのでしょうか?

uchinyan10/23 18時38分受信 更新11/13
<水の流れ:
出題の意図は、積分をして 累乗の和が順に出てくることを 知ってもらいたいだけです。
Σ(kの5乗)、Σ(kの6乗)、Σ(kの7乗)、Σ(kの8乗)、Σ(kの9 乗)、Σ(kの10乗) このあたりまで知っていますが、公式とは言いませんけど。


昔、それこそ高校の頃、考えたのですが、漸化式は作れますよね。

S(n,k) = 1^k + 2^k + .. + n^k
とおいて、
(n+1)^(k+1) - n^(k+1)
= 納i=1,k+1]{C(k+1,i) * n^(k+1-i)}
= C(k+1,1) * n^k + C(k+1,2) * n^(k-1) + ... + C(k+1,k) * n
+ C(k+1,k+1) * 1
= (k+1) * n^k + 納i=1,k-1]{C(k+1,i+1) * n^(k-i)} + 1
なので、
(n+1)^(k+1) - 1^(k+1)
= (k+1) * S(n,k) + 納i=1,k-1]{C(k+1,i+1) * S(n,k-i)} + n
S(n,k)
= 1/(k+1) * {(n+1)^(k+1) - 納i=1,k-1]{C(k+1,i+1) * S(n,k-i)} - (n+1)}
これから、S(n,1) = n(n+1)/2 辺りから、随時、S(n,k) は求められます。

さすがに、一般式は求められないのかなぁ、と、思っていたのですが、
今回の積分で何かできないかな、と思ったり。
でも、a などの係数を一般に求めるのは簡単ではなさそうですね...
<水の流れ:順に積分をして求められようです>

uchinyan11/03 14時16分受信 更新11/13
162回数学的な応募問題への解答の追加

[考察1]
水の流れさんからのチャレンジもあったし、いい機会なので、同様にして、
S(n,k) = 1^k + 2^k + .. + n^k
としたときの、k = 5, 6, 7, 8, 9, 10 を求めてみます。
なお、詳しい計算は同様なので省略します。

* S(n,5) の場合
∫[x=k,k+1]{x^5 - 5/2 * x^4 + 5/3 * x^3 - 1/6 * x}dx = k^5
S(n,5) = 1^5 + 2^5 + ... + n^5
= ∫[x=1,n+1]{x^5 - 5/2 * x^4 + 5/3 * x^3 - 1/6 * x}dx
= ...
= 1/12 * n^2 * (n+1)^2 * (2n^2 + 2n - 1)

* S(n,6) の場合
∫[x=k,k+1]{x^6 - 3 * x^5 + 5/2 * x^4 - 1/2 * x^2 + 1/42}dx = k^6
S(n,6) = 1^6 + 2^6 + ... + n^6
= ∫[x=1,n+1]{x^6 - 3 * x^5 + 5/2 * x^4 - 1/2 * x^2 + 1/42}dx
= ...
= 1/42 * n(n+1)(2n+1)(3n^4 + 6n^3 - 3n + 1)

* S(n,7) の場合
∫[x=k,k+1]{x^7 - 7/2 * x^6 + 7/2 * x^5 - 7/6 * x^3 + 1/6 * x}dx = k^7
S(n,7) = 1^7 + 2^7 + ... + n^7
= ∫[x=1,n+1]{x^7 - 7/2 * x^6 + 7/2 * x^5 - 7/6 * x^3 + 1/6 * x}dx
= ...
= 1/24 * n^2 * (n+1)^2 * (3n^4 + 6n^3 - n^2 - 4n + 2)

* S(n,8) の場合
∫[x=k,k+1]{x^8 - 4 * x^7 + 14/3 * x^6 - 7/3 * x^4 + 2/3 * x^2 - 1/30}dx = k^8
S(n,8) = 1^8 + 2^8 + ... + n^8
= ∫[x=1,n+1]{x^8 - 4 * x^7 + 14/3 * x^6 - 7/3 * x^4 + 2/3 * x^2 - 1/30}dx
= ...
= 1/90 * n(n+1)(2n+1)(5n^6 + 15n^5 + 5n^4 - 15n^3 - n^2 + 9n - 3)

* S(n,9) の場合
∫[x=k,k+1]{x^9 - 9/2 * x^8 + 6 * x^7 - 21/5 * x^5 + 2 * x^3 - 3/10 * x}dx = k^9
S(n,9) = 1^9 + 2^9 + ... + n^9
= ∫[x=1,n+1]{x^9 - 9/2 * x^8 + 6 * x^7 - 21/5 * x^5 + 2 * x^3 - 3/10 * x}dx
= ...
= 1/20 * n^2 * (n+1)^2 * (2n^6 + 6n^5 + n^4 - 8n^3 + n^2 + 6n - 3)

* S(n,10) の場合
∫[x=k,k+1]{x^10 - 5 * x^9 + 15/2 * x^8 - 7 * x^6 + 5 * x^4 - 3/2 * x^2 + 5/66}dx = k^10
S(n,10) = 1^10 + 2^10 + ... + n^10
= ∫[x=1,n+1]{x^10 - 5 * x^9 + 15/2 * x^8 - 7 * x^6 + 5 * x^4 - 3/2 * x^2 + 5/66}dx
= ...
= 1/66 * n(n+1)(2n+1)(3n^8 + 12n^7 + 8n^6 - 18n^5 - 10n^4 + 24n^3 + 2n^2 - 15n + 5)

計算は決して楽ではありませんが、ある程度の規則性があるので、
それをチェックしながらやれば、計算違いは思ったよりなしで済みました。
原理的には、より高次の場合も可能ですね。

[考察2]
今回の問題とは離れますが、S(n,k) = 1^k + 2^k + .. + n^k は漸化式を作ることができます。
二項定理より、二項係数を C(p,q) などと書くと
n^(k+1) - (n-1)^(k+1) = 納i=0,k]{C(k+1,i) * n^i * (-1)^(k-i)}
そこで、n を 1, 2, ..., n として両辺をそれぞれ加えると、
n^(k+1) = 納i=0,k]{C(k+1,i) * S(n,i) * (-1)^(k-i)}
S(n,k) = 1/(k+1) * {n^(k+1) + 納i=0,k-1]{C(k+1,i) * S(n,i) * (-1)^(k-i+1)}
ただし、S(n,0) = n とします。
これを用いて実際に計算してみると...
S(n,1) = 1/2 * {n^2 + C(2,0) * S(n,0) * (-1)^2}
= 1/2 * n(n+1)
S(n,2) = 1/3 * {n^3 + C(3,0) * S(n,0) * (-1)^3 + C(3,1) * S(n,1) * (-1)^2 }
= 1/3 * {n^3 - 1 * n + 3 * 1/2 * n(n+1)}
= 1/6 * n(n+1)(2n+1)
S(n,3) = 1/4 * {n^4 + C(4,0) * S(n,0) * (-1)^4 + C(4,1) * S(n,1) * (-1)^3
+ C(4,2) * S(n,2) * (-1)^2 }
= 1/4 * {n^4 + 1 * n - 4 * 1/2 * n(n+1) + 6 * 1/6 * n(n+1)(2n+1)}
= 1/4 * n * {n^3 + 1 - 2 * (n+1) + (n+1)(2n+1)}
= 1/4 * n^2 * (n+1)^2
S(n,4) = 1/5 * {n^5 + C(5,0) * S(n,0) * (-1)^5 + C(5,1) * S(n,1) * (-1)^4
+ C(5,2) * S(n,2) * (-1)^3 + C(5,3) * S(n,3) * (-1)^2}
= 1/5 * {n^5 - 1 * n + 5 * 1/2 * n(n+1) - 10 * 1/6 * n(n+1)(2n+1) + 10 * 1/4 * n^2 * (n+1)^2}
= ...
= 1/30 * n(n+1)(2n+1)(3n^2 + 3n - 1)
いくらでも計算可能ですが、計算自体は必ずしも容易ではないようです。

[考察3]
ちょっと見方を変えて、階差数列を考えてみます。以下では、S(n,2) でやってみます。
 0 -  1 -  5 - 14 - 30 - 55 - ... - S(n,2) - S(n+1,2) - ...
      1 -  4 -  9 - 16 - 25 - ... -    n^2 -  (n+1)^2 - ...
           3 -  5 -  7 -  9 - ... -   2n-1 -     2n+1 - ...
                2 -  2 -  2 - ... -      2 -        2 - ...
                     0 -  0 - ... -      0 -        0 - ...
                          0 - ... -      0 -        0 - ...
これを次のように式で書いてみます。
1^2 + 2~2 + 3^3 + 4^2 + 5^2
= 55
= 30 + 25
= (14 + 16) + (16 + 9)
= (5 + 9) + 2 * (9 + 7) + (7 + 2)
= (1 + 4) + 3 * (4 + 5) + 3 * (5 + 2) + (2 + 0)
= (0 + 1) + 4 * (1 + 3) + 6 * (3 + 2) + 4 * (2 + 0) + (0 + 0)
= 1 * 0 + 5 * 1 + 10 * 3 + 10 * 2 + 5 * 0 + 1 * 0
= C(5,0) * 0 + C(5,1) * 1 + C(5,2) * 3 + C(5,3) * 2 + C(5,4) * 0 + C(5,5) * 0
ここで、0, 1, 3, 2, 0, 0 は、上記の多段の階差数列の初項になっています。
一方、その係数は、それぞれの初項から 55 までを最短で結ぶ経路の数になっています。
これは当然で、その経路の数だけ、初項が足し合わされることから明らかです。
これは一般 n でもいえるので、
S(n,2) = C(n,0) * 0 + C(n,1) * 1 + C(n,2) * 3 + C(n,3) * 2 + C(n,4) * 0 + C(n,5) * 0 + 0 + ...
= n * 1 + n(n-1)/2! * 3 + n(n-1)(n-2)/3! * 2
= 1/6 * n * (6 + 9(n-1) + 2(n-1)(n-2))
= 1/6 * n * (2n^2 + 3n + 1)
= 1/6 * n(n+1)(2n+1)

ほとんど明らかなので詳しい証明は省略しますが、この議論は一般の S(n,k) に対しても成立し、
多段の階差数列の初項を a(0), a(1), a(2), ... とすると、
a(0) = 0 で a(k+2) 以降もすべて 0 となり、
S(n,k) = 納i=1,k+1] {C(n,i) * a(i)}
と書けます。
k を与えれば、多段の階差数列は計算できるので、a(i) も計算可能で、
この式で S(n,k) を求めることができます。
ただ、a(i) の一般項を求めるのは大変そうな気がします。

[考察4] 今回の問題の背景かな?
残念ながら、考察4は私のオリジナルではなく、Webで調べたことをまとめたものです。
ただ、ちょっと不思議な?、でもよく知られているらしい、数を使って、
一応、S(n,k) の一般式が書き下せるらしいので、ご紹介します。
もっとも、皆さん、水の流れさんは、既によくご存知なのだろうと思いますが。
次の式で B(i) という数を定義します。この B(i) をベルヌーイ数というそうです。
B(0) = 1
i=0,m]{C(m+1,i) * B(i)} = 0
具体的には、
B(0) = 1, B(1) = -1/2, B(2i+1) = 0 for i = 1, 2, ...
B(2) = 1/6, B(4) = -1/30, B(6) = 1/42, B(8) = -1/30, B(10) = 5/66, ...
などとなります。
さらに、このベルヌーイ数と二項係数の積を係数にもつベルヌーイ多項式というものを
B(x,m) = 納i=0,m]{C(m,i) * B(i) * x^(m-i)}
と定義します。これを m = 0, 1, 2, 3, 4 で計算してみると
B(x,0) = 1
B(x,1) = x - 1/2
B(x,2) = x^2 - x + 1/6
B(x,3) = x^3 - 3/2 * x^2 + 1/2 * x
B(x,4) = x^4 - 2 * x^3 + x^2 - 1/30
なんと、今回の問題の積分に出てきた多項式に一致します!
さて、ベルヌーイ多項式の性質を調べてみます。まず、
dB(x,m)/dx
= 納i=0,m-1]{C(m,i) * B(i) * (m-i) * x^(m-i-1)}
= 納i=0,m-1]{m!/(m-i)!i! * B(i) * (m-i) * x^(m-i-1)}
= m * 納i=0,m-1]{(m-1)!/(m-1-i)!i! * B(i) * x^(m-1-i)}
= m * 納i=0,m-1]{C(m-1,i) * B(i) * x^(m-1-i)}
= m * B(x,m-1)
次に、m not= 1 のとき、
B(1,m) = 納i=0,m]{C(m,i) * B(i)}
= 納i=0,m-1]{C(m,i) * B(i)} + B(m)
= B(m)
= B(0,m)
さらに、m >= 1 で、
B(x+1,m) - B(x,m) = m * x^(m-1)
が成立します。これは、
d(B(x+1,m) - B(x,m))/dx = m * (B(x+1,m-1) - B(x,m-1))
を用いて、数学的帰納法で証明できます。
したがって、
∫[k,k+1]{B(x,m)}dx
= ∫[k,k+1]{1/(m+1) * dB(x,m+1/dx)}dx
= 1/(m+1) * {B(k+1,m+1) - B(k,m+1)}
= 1/(m+1) * (m+1) * k^m
= k^m
となり、B(x,m) は、確かに今回の問題の題意を満たします。
そこで、m >= 1 で、
S(n,m) = ∫[x=1,n+1]{B(x,m)}dx
= ∫[x=1,n+1]{1/(m+1) * dB(x,m+1)/dx}dx
= 1/(m+1) * {B(n+1,m+1) - B(1.m+1)}
= 1/(m+1) * {納i=0,m+1]{C(m+1,i) * B(i) * (n+1)^(m+1-i)} - B(0,m+1)}
= 1/(m+1) * {納i=0,m]{C(m+1,i) * B(i) * (n+1)^(m+1-i)}
つまり、
S(n,k) = 1/(k+1) * {納i=0,k]{C(k+1,i) * B(i) * (n+1)^(k+1-i)}
となります。これによって、ベルヌーイ数を使って S(n,k) が求められます。
例えば、
S(n,1) = 1/2 * {C(2,1) * B(1) * (n+1) + C(2,2) * B(0) * (n+1)^2}
= 1/2 * (2 * (-1/2) * (n+1) + 1 * 1 * (n+1)^2)
= 1/2 * n(n+1)
になり、よく知られた公式と一致します。
もっとも、ベルヌーイ数を知らないと話しにならないので、これが実用上便利かどうかは、
ちょっと疑問ですが...
ただ、一般形が書き下せるのは「スゴイ!」と思いました。
少なくとも今回の問題の背景と思われます。
なお、さらに少し変形すると、
S(n,m) = ∫[x=1,n+1]{B(x,m)}dx
= ∫[x=0,n]{B(x+1,m)}dx
= ∫[x=0,n]{m * S(x,m-1) + B(1,m)}dx
= m * ∫[x=0,n]{S(x,m-1)}dx + B(1,m) * n
これから、
S(n,k) = k * ∫[x=0,n]{S(x,m-1)}dx + c * n
ただし、c は S(1,k) = 1 となるように決める、とできます。
この形式ならば、ベルヌーイ数は表に表れず、単に積分形式の S(n,k) の漸化式になっています。
考察2の積分版といったところでしょうか。
実用上は、これが一番便利なような気がします。

[考察5]
これも前半はWebからの受け売りで恐縮ですが、考察4とはちょっと違った方法です。
考察2の次の式から出発します。
n^(k+1) = 納i=0,k]{C(k+1,i) * S(n,i) * (-1)^(k-i)}
後の議論のために k -> m, i -> k と置き換えて、少し変形すると
1/(m+1)! * n^(m+1) = 納k=0,m]{1/(m-k+1)! * (-1)^(m-k) * 1/k! * S(n,k)} ... (1)
この両辺に x^(m+1) をかけて m で 0 から∞まで足し上げてみます。
ただし、右辺の 1/k! * S(n,k) に注目して、次の式を考えます。
P(x,n) = 納k=0,∞]{1/k! * S(n,k) * x^k}
これは、S(n,k) の一種の母関数と呼ばれるもので、級数の計算などに利用される手法です。
すると、
(1)の左辺 = 納m=0,∞]{1/(m+1)! * n^(m+1) * x^(m+1)} = exp(nx) - 1
(1)の右辺 = 納m=0,∞]{納k=0,m]{1/(m-k+1)! * (-1)^(m-k) * 1/k! * S(n,k) * x^(m+1)}
狽フ二重和は、まず m について m=k,∞ としてから k=0,∞ としても同じなので、
= 納k=0,∞]{納m=k,∞]{1/(m-k+1)! * (-1)^(m-k) * 1/k! * S(n,k) * x^(m+1)}
m-k -> i と置き換えて、
= 納k=0,∞]{納i=0,∞]{1/(i+1)! * (-1)^i * x^(i+1)} * (1/k! * S(n,k) * x^k)}
= 納k=0,∞]{(1 - exp(-x)) * (1/k! * S(n,k) * x^k)}
= (1 - exp(-x)) * P(x,n)
そこで、
P(x,n) = (exp(nx) - 1) * exp(x)/(exp(x) - 1)
右辺の最初のところを再度マクローリン展開すると
P(x,n) = 納m=1,∞]{1/m! * (nx)^m * exp(x)/(exp(x) - 1)}
= 納m=1,∞]{1/m! * (nx)^(m-1) * n * (x * exp(x))/(exp(x) - 1)}
ここで、
(x * exp(x))/(exp(x) - 1) = 納i=0,∞]{b(i) * 1/i! * x^i}
とマクローリン展開し、そのときの係数を b(i) と定義します。
この b(i) と考察4のベルヌーイ数 B(i) との関係を、後で検討します。
これを用いると、
P(x,n) = 納m=1,∞]{1/m! * (nx)^(m-1) * n * 納i=0,∞]{b(i) * 1/i! * x^i}}
= 納m=1,∞]{納i=0,∞]{1/m! * 1/i! * n^m * b(i) * x^(m+i-1)}}
m+i-1 -> k とおいて、和を m, k で表すと
= 納m=1,∞]{納k=m-1,∞]{1/m! * 1/(k-m+1)! * n^m * b(k-m+1) * x^k}}
狽フ二重和は、まず m について m=1,k+1 としてから k=0,∞ としても同じなので、
= 納k=0,∞]{納m=1,k+1]{1/m! * 1/(k-m+1)! * n^m * b(k-m+1) * x^k}}
= 納k=0,∞]{納m=1,k+1]{C(k+1,m) * 1/(k+1)! * n^m * b(k-m+1) * x^k}}
= 納k=0,∞]{1/k! * 納m=1,k+1]{C(k+1,m)/(k+1) * b(k-m+1) * n^m} * x^k}
これを P(x,n) の定義と比較すると、
S(n,k) = 1/(k+1) * 納m=1,k+1]{C(k+1,m) * b(k-m+1) * n^m}
= 1/(k+1) * 納i=0,k]{C(k+1,i) * b(i) * n^(k+1-i)}
となります。
さてここで、b(i) を求めてみましょう。ここからは、私の付け足しです。
まず、
f(x) = x/(exp(x) - 1)
f(x) * (exp(x) - 1) = x
を考えます。
f(x), exp(x) - 1 をマクローリン展開して両辺の x のべきの係数を比べると、
f(x) の係数が考察4のベルヌーイ数の定義式を満たすことが分かります。
つまり、
x/(exp(x) - 1) = 納i=0,∞]{B(i) * 1/i! * x^i}
がいえます。なお、こちらをベルヌーイ数の定義とする方が主流のようです。
次に、
x/(exp(x) - 1) = (-x) * exp(-x)/(exp(-x) - 1)
となるので、実は、b(i) と B(i) とは、B(i) = (-1)^i * b(i) で、
i が偶数のときは同じ、i が奇数のときは符号だけが異なる
ことが分かります。そこで、b(1) の符号だけが B(i) と異なり、
b(0) = 1, b(1) = 1/2, b(2i+1) = 0 for i = 1, 2, ...
b(2) = 1/6, b(4) = -1/30, b(6) = 1/42, b(8) = -1/30, b(10) = 5/66, ...
となります。もちろん、これを使っても S(n,k) が求められます。例えば、
S(n,1) = 1/2 * {C(2,1) * b(1) * n + C(2,2) * b(0) * n^2}
= 1/2 * (2 * 1/2 * n + 1 * 1 * n^2)
= 1/2 * n(n+1)
になり、やはり、よく知られた公式と一致します。
これは当然で、
S(n,k) = 1/(k+1) * 納i=0,k]{C(k+1,i) * b(i) * n^(k+1-i)}
= 1/(k+1) * {C(k+1,1) * b(1) * n^k + 納i=even]{C(k+1,i) * b(i) * n^(k+1-i)}}
= 1/(k+1) * {2 * C(k+1,1) * b(1) * n^k
- C(k+1,1) * b(1) * n^k + 納i=even]{C(k+1,i) * b(i) * n^(k+1-i)}}
= 1/(k+1) * {2 * (k+1) * 1/2 * n^k
+ C(k+1,1) * B(1) * n^k + 納i=even]{C(k+1,i) * B(i) * n^(k+1-i)}}
= n^k + 1/(k+1) * 納i=0,k]{C(k+1,i) * B(i) * n^(k+1-i)}
S(n,k) - n^k = 1/(k+1) * 納i=0,k]{C(k+1,i) * B(i) * n^(k+1-i)}
S(n-1,k) = 1/(k+1) * 納i=0,k]{C(k+1,i) * B(i) * n^(k+1-i)}
がいえますが、右辺は、考察4の場合の S(n-1,k) になっており、
結局、b(i) を用いた式と B(i) を用いた式とは等価です。
なお、細かいことですが、考察4の積分による漸化式は、b(i) を使うと、
S(n,m) = m * ∫[x=0,n]{S(x,m-1)}dx + b(m) * n
と書くこともできます。
それと、Webを見る限り少数派のようですが、b(i) をベルヌーイ数と定義する流儀もあるようです。

NO2「cbc     10/22 23時16分受信 更新11/13

NO3「H7K」      10/23 19時18分受信 更新11/13
162回問題の解答を送ります.
1. ともかく左辺を積分してみる.
(左辺)
= [ x^4/4 + ax^3/3 + bx^2/2 + cx]_k^{k+1}
= (1+4k+6k^2+4k^3)/4 + a(1+3k+3k^2)/3 + b(1+2k)/2 + c
= k^3 + ( 3/2 + a )k^2 + ( 1 + a + b )k + ( 1/4 + a/3 + b/2 + c )
これが任意のkでk^3と等しくなるのだから,
a=-3/2, b=1/2, c=0.
さて,求める 1^3+...+n^3 は,
先の式を k=1, 2,...,n として足し合わせたものである.
すなわち,
1^3+...+n^3
= ∫(x=1...n+1) (x^3-3x^2/2+x/2) dx
= [ x^4/4 - x^3/2 + x^2/4 ]_1^{n+1}
= ( n^4 + 4n^3 + 6n^2 + 4n + 1)/4 - ( n^3 + 3n^2 + 3n + 1 )/2
  + ( n^2 + 2n + 1 )/4
= ( n^4 + 4n^3 + 6n^2 + 4n + 1 - 2n^3 - 6n^2 - 6n - 2 + n^2 + 2n + 1 )/4
= ( n^4 + 2n^3 + n^2 ) /4
= ( n(n+1)/2 )^2.

2. 同様にやってみる.
(左辺)
= [ x^5/5 + ax^4/4 + bx^3/3 + cx^2/2 + d]_k^{k+1}
= (1+5k+10k^2+10k^3+5k^4)/5 + a(1+4k+6k^2+4k^3)/4 + b(1+3k+3k^2)/3 + c(1+2k)/2 + d
= k^4 + ( 2 + a )k^3 + ( 2 + 3a/2 + b )k^2 + ( 1 + a + b + c) k + ( 1/5 + a/4 + b/3 + c/2 + d )
である.これが任意のkでk^4と等しくなるのだから,
a=-2, b=1, c=0, d=-1/30.
よって,求める和は,同様に,
1^4+...+n^4
= ∫(x=1...n+1) (x^4-2x^3+x^2-1/30) dx
= [ x^5/5 - x^4/2 + x^3/3 + x/30 ]_1^{n+1}
= ( n^5 + 5n^4 + 10n^3 + 10n^2 + 5n )/5 - ( n^4 + 4n^3 + 6n^2 + 4n )/2
  + ( n^3 + 3n^2 + 3n )/3 - n/30
= n^5/5 + n^4/2 + n^3/3 - n/30.

NO4「kashiwagi」10/24 17時28分受信 更新11/13
162回解答

問題1

  の両辺をで微分すると、

 

因ってとなる。又、上記式を積分計算しを得る。

次に・・・・・であるが、上記積分式より積分される式をと置くと、

・・・・・ = +・・・・・+ =

  *       であるから、これの積分計算をし、

 = をうまく使い、 を得る。

 

問題2

 問題1と全く同じ手順で計算すると、

因って = を使い計算し、面倒な式を整理すると、

 ・・・・・ = を得る。

 

 

NO5「Toru」    10/25 16時09分受信 更新11/13
問題1

・(x=k〜k+1) (x^3+ax^2+bx+c)dx=[x^4/4+ax^3/3+bx^2/2+cx] (k,k+1)
= ((k+1)^4-k^4)/4+a((k+1)^3-k^3)/3+b((k+1)^2-k^2)/2+c((k+1)-k)
=(4k^3+6k^2+4k+1)/4+a(3k^2+3k+1)/3+b(2k+1)/2+c
=k^3+(3/2+a)k^2+(1+a+b)k+1/4+a/3+b/2+c=k^3 が恒等式
よりa=-3/2, b=1/2, c=0
1^3+2^3+-----+n^3=Σ(k=0〜n)k^3=・(x=0〜n)(x^3-3/2 x^2+1/2 x)dx+n^3
=n^4 /4-n^3 /2+n^2 /4+n^3= n^4 /4+n^3 /2+n^2 /4=1/4 n^2(n+1)^2

問題2

・(x=k〜k+1) (x^4+ax^3+bx^2+cx+d)dx=[x^5/5+ax^4/4+bx^3/3+cx^2/2+dx](k,k+1)
=
((k+1)^5-k^5)/5+a((k+1)^4-k^4)/4+b((k+1)^3-k^3)/3+c((k+1)^2-k^2)/2+d((k+1)-k
)
=(5k^4+10k^3+10k^2+5k+1)/5+a(4k^3+6k^2+4k+1)/4+b(3k^2+3k+1)/3+c(2k+1)/2+d
=k^4+(2+a)k^3+(2+3/2 a+b)k^2+(1+a+b+c)k+1/5+a/4+b/3+c/2+d
=k^4 が恒等式
よりa=-2, b=1, c=0,d=-1/30
1^4+2^5+--------+n^5=Σ(k=0〜n)k^4=・(x=0〜n) (x^4-2x^3+x^2-1/30)dx+n^4
=n^5 /5-n^4 /2+n^3 /3-n/30+n^4
= n^5 /5+n^4 /2+n^3 /3-n/30
=1/30 n(n+1)(6n^3+9n^2+n-1)

 遅くなりましたが、第162回解答を送ります。
一般のべき和、1^k+2^k+------+n^k に関連して、ベルヌイの多項式やベルヌイの数
について、この機会に解析概論を見直してみました。
<水の流れ:この問題の奥行きには 、ベルヌイの多項式やベルヌイの数が背景にあります。>

NO6「浜田明巳」10/27 12時08分受信 更新11/13
問題1:任意の自然数kに対して,
  ∫k<x<k+1(x+ax+bx+c)dx=k(a,b,cは定数)
とするとき,この式を利用して,
  1+2+……+n
を求めよ.

問題2:任意の自然数kに対して,
  ∫k<x<k+1(x+ax+bx+cx+d)dx=k(a,b,c,dは定数)
とするとき,この式を利用して,
  1+2+……+n
を求めよ.

問題1:
  k=∫k<x<k+1(x+ax+bx+c)dx
 =[x/4+ax/3+bx/2+cx]k<x<k+1
 ={(k+1)−k}/4+a{(k+1)−k}/3+b{(k+1)−k}/2+c{(k+1)−k}
 =(4k+6k+4k+1)/4+a(3k+3k+1)/3+b(2k+1)/2+c
 =k+(3/2+a)k+(1+a+b)k+(1/4+a/3+b/2+c)
 これがkの恒等式なので,係数を比較して,
  3/2+a=0……(1)
  1+a+b=0……(2)
  1/4+a/3+b/2+c=0……(3)
 (1)から,a=−3/2
 (2)から,b=−1−a=−1+3/2=1/2
 (3)から,c=−1/4−a/3−b/2=−1/4+1/2−1/4=0
  ∴k=∫k<x<k+1(x−3x/2+x/2)dx
 k=1,2,……,nを代入して,辺々を加えると,
  1+2+……+n=∫1<x<n+1(x−3x/2+x/2)dx
 =[x/4−x/2+x/4]1<x<n+1
 ={(n+1)−1}/4−{(n+1)−1}/2+{(n+1)−1}/4
 =(n+4n+6n+4n)/4−(n+3n+3n)/2+(n+2n)/4
 =n{(n+4n+6n+4)−2(n+3n+3)+(n+2)}/4
 =n(n+2n+n)/4
 =n(n+1)/4……(答)

問題2:
  k=∫k<x<k+1(x+ax+bx+cx+d)dx
 =[x/5+ax/4+bx/3+cx/2+dx]k<x<k+1
 ={(k+1)−k}/5+a{(k+1)−k}/4+b{(k+1)−k}/3+c{(k+1)−k}/2+d{(k+1)−k}
 =(5k+10k+10k+5k+1)/5+a(4k+6k+4k+1)/4+b(3k+3k+1)/3+c(2k+1)/2+d
 =k+(2+a)k+(2+3a/2+b)k+(1+a+b+c)k+(1/5+a/4+b/3+c/2+d)
 これがkの恒等式なので,係数を比較して,
  2+a=0……(1)
  2+3a/2+b=0……(2)
  1+a+b+c=0……(3)
  1/5+a/4+b/3+c/2+d=0……(4)
 (1)から,a=−2
 (2)から,b=−2−3a/2=−2+3=1
 (3)から,c=−1−a−b=−1+2−1=0
 (4)から,d=−1/5−a/4−b/3−c/2=−1/5+1/2−1/3=−1/30
  ∴k=∫k<x<k+1(x−2x+x−1/30)dx
 k=1,2,……,nを代入して,辺々を加えると,
  1+2+……+n=∫1<x<n+1(x−2x+x−1/30)dx
 =[x/5−x/2+x/3−x/30]1<x<n+1
 ={(n+1)−1}/5−{(n+1)−1}/2+{(n+1)−1}/3−{(n+1)−1}/30
 =(n+5n+10n+10n+5n)/5−(n+4n+6n+4n)/2+(n+3n+3n)/3−n/30
 =n{6(n+5n+10n+10n+5)−15(n+4n+6n+4)+10(n+3n+3)−1}/30
 =n(6n+15n+10n−1)/30
 =n(n+1)(2n+1)(3n+3n−1)/30……(答)

(参考)次数を1つ上げ,解いてみる.
  k=∫k<x<k+1(x+ax+bx+cx+dx+e)dx
 =[x/6+ax/5+bx/4+cx/3+dx/2+ex]k<x<k+1
 ={(k+1)−k}/6+a{(k+1)−k}/5+b{(k+1)−k}/4+c{(k+1)−k}/3+d{(k+1)−k}/2+e{(k+1)−k}
 =(6k+15k+20k+15k+6k+1)/6+a(5k+10k+10k+5k+1)/5+b(4k+6k+4k+1)/4+c(3k+3k+1)/3+d(2k+1)/2+e
 =k+(5/2+a)k+(10/3+2a+b)k+(5/2+2a+3b/2+c)k+(1+a+b+c+d)k+(1/6+a/5+b/4+c/3+d/2+e)
 これがkの恒等式なので,係数を比較して,
  5/2+a=0……(1)
  10/3+2a+b=0……(2)
  5/2+2a+3b/2+c=0……(3)
  1+a+b+c+d=0……(4)
  1/6+a/5+b/4+c/3+d/2+e=0……(5)
 (1)から,a=−5/2
 (2)から,b=−10/3−2a=−10/3+5=5/3
 (3)から,c=−5/2−2a−3b/2=−5/2+5−5/2=0
 (4)から,d=−1−a−b−c=−1+5/2−5/3=−1/6
 (5)から,e=−1/6−a/5−b/4−c/3−d/2=−1/6+1/2−5/12+1/12=0
  ∴k=∫k<x<k+1(x−5x/2+5x/3−x/6)dx
 k=1,2,……,nを代入して,辺々を加えると,
  1+2+……+n=∫1<x<n+1(x−5x/2+5x/3−x/6)dx
 =[x/6−x/2+5x/12−x/12]1<x<n+1
 ={(n+1)−1}/6−{(n+1)−1}/2+5{(n+1)−1}/12−{(n+1)−1}/12
 =(n+6n+15n+20n+15n+6n)/6−(n+5n+10n+10n+5n)/2+5(n+4n+6n+4n)/12−(n+2n)/12
 =n{2(n+6n+15n+20n+15n+6)−6(n+5n+10n+10n+5)+5(n+4n+6n+4)−(n+2)}/12
 =n(2n+6n+5n−n)/12
 =n(2n+6n+5n−1)/12
 =n(n+1)(2n+2n−1)/12

No7「kasama」 10/27  16時39分受信 更新11/13
【問題1】
与えられた条件より、
 (x
3+ax2+bx+c)dx=k3⇒6(2a+3)k2+12(a+b+1)k+4a+6b+12c+3=0
kの値に関係なく上式が成り立つには、kの係数が0であれば良いので、
 2a+3=0、a+b+1=0、4a+6b+12c+3=0
これを解いて、
 a=-3/2、b=1/2、c=0 ・・・(答)
です。次に、f(x)=x
3- 3x2/2+x/2とすると、
 1
3+23+・・・+n3=f(x)dx+f(x)dx+・・・+f(x)dx=f(x)dx
ここで、
 f(x)dx=(x
3- 3x2/2+x/2)dx={n(n+1)}2/4
なので、
 1
3+23+・・・+n3={n(n+1)}2/4 ・・・(答)
です。


【問題2】
与えられた条件より、
 (x
4+ax3+bx2+cx+d)dx=k4⇒60(a+2)k3+30(3a+2b+4)k2+60(a+b+c+1)k+12+15a+20b+30c+60d=0
問題1と同様にして、
 a+2=0、3a+2b+4=0、a+b+c+1=0、12+15a+20b+30c+60d=0
これを解いて、
 a=-2、b=1、c=0、d=-1/30 ・・・(答)
です。同様にして、
 1
4+24+・・・+n4=(x4-2x3+x2-1/30)dx=n(n+1)(2n+1)(3n2+3n-1)/30
なので、
 1
4+24+・・・+n4=n(n+1)(2n+1)(3n2+3n-1)/30 ・・・(答)
です。


【その他 2005/10/31追記
Σ(kの5乗)、Σ(kの6乗)、Σ(kの7乗)、Σ(kの8乗)、Σ(kの9乗)、Σ(kの10乗)について調べてみました。
 f(x)=a
0+a1x+a2x2+・・・+anxn
とすると、各累乗の和は以下の表のようになります。

n

a0

a1

a2

a3

a4

a5

a6

a7

a8

a9

a10

和の数式

5

0

-1/6

0

5/3

-5/2

1

 

 

 

 

 

n2(n+1)2(2n2+ 2n-1)/12

6

1/42

0

-1/2

0

5/2

-3

1

 

 

 

 

n(n+1)(2n+1)(3n4+6n3-3n+1)/42

7

0

1/6

0

-7/6

0

7/2

-7/2

1

 

 

 

1n2(n+1)2(3n4+6n3-n2-4n+2)/24

8

-1/30

0

2/3

0

-7/3

0

14/3

-4

1

 

 

n(n+1)(2n+1)(5n6+15n5+5n4-15n3-n2+9n-3)/90

9

0

-3/10

0

2

0

-21/5

0

6

-9/2

1

 

1n2(n2+n-1)(n+1)2(2n4+4n3-n2-3n+3)/20

10

5/66

0

-3/2

0

5

0

-7

0

15/2

-5

1

n(n+1)(2n+1)(n2+n-1)(3n6+9n5+2n4-11n3+3n2+10n-5)/66

kasama」 11/01  14時54分受信 更新11/13
Σ(kの11乗) n2(1+n)2(10-20n-3n2+26n3-5n4-16n5+4n6+8n7+2n8)/24
Σ(kの12乗)  n(1+n)(1+2n)(-691+2073n-287n2-3285n3+1420n4+2310n5-1190n6-1050n7+525n8+525n9+105n10)/2730
Σ(kの13乗) 
n2(1+n)2(-691+1382n+202n2-1786n3+367n4+1052n5-326n6-400n7+125n8+150n9+30n10)/420
Σ(kの14乗) 
n(1+n)(1+2n)(105-315n+44n2+498n3-217n4-345n5+182n6+144n7-81n8-45n9+24n10+18n11+3n12)/90
Σ(kの15乗) 
n2(1+n)2(420-840n-122n2+1084n3-226n4-632n5+203n6+226n7-83n8-60n9+21n10+18n11+3n12)/48
Σ(kの16乗)
 n(1+n)(1+2n)(-3617+10851n-1519n2-17145n3+7485n4+11835n5-6275n6-4845n7+2775n8+1365n9-805n10-315n11+175n12+105n13+15n14)/510
Σ(kの17乗)
n2(1+n)2(-10851+21702n+3147n2-27996n3+5857n4+16282n5-5271n6-5740n7+2165n8+1410n9-565n10-280n11+105n12+70n13+10n14)/180
Σ(kの18乗)
n(1+n)(1+2n)(219335-658005n+92162n2+1039524n3-454036n4-716940n5+380576n6+292152n7-167958n8-80430n9+48132n10+16464n11-9996n12-2940n13+1680n14+840n15+105n16)/3990
Σ(kの19乗)
n2(1+n)2(438670-877340n-127173n2+1131686n3-236959n4-657768n5+213337n6+231094n7-87665n8-55764n9+22835n10+10094n11-4263n12-1568n13+616n14+336n15+42n16)/840
Σ(kの20乗)
n(1+n)(1+2n)(-3666831+11000493n-1540967n2-17378085n3+7591150n4+11982720n5-6362660n6-4877460n7+2806470n8+1335510n9-801570n10-266310n11+163680n12+41580n13-25740n14-5940n15+3465n16+1485n17+165n18)/6930
<水の流れ:
kasama」さんにお願いして、Σ(kの20乗)までのものを頂ました。感謝しています。ありがとうございました。>