平成19年7月1日
[流れ星]
第192回数学的な応募問題解答
<解答募集期間:6月10日〜7月1日
[勝敗の差]
皆さん、プロ野球はセパ交流戦の後半に入り、勝敗が気になります。6月9日現在次の成績です。
|
順位 |
球団名 |
試合数 |
勝数 |
負け数 |
引分け数 |
勝敗の差 |
|
1 |
日本ハム |
13 |
12 |
1 |
0 |
11 |
|
2 |
ロッテ |
13 |
10 |
3 |
0 |
7 |
|
3 |
オリックス |
14 |
9 |
4 |
1 |
5 |
|
4 |
巨人 |
13 |
8 |
5 |
0 |
3 |
|
5 |
楽天 |
13 |
7 |
6 |
0 |
1 |
|
6 |
中日 |
14 |
7 |
7 |
0 |
0 |
|
6 |
ヤクルト |
14 |
7 |
7 |
0 |
0 |
|
8 |
ソフトバンク |
14 |
6 |
8 |
0 |
2 |
|
9 |
阪神 |
14 |
5 |
9 |
0 |
4 |
|
10 |
横浜 |
12 |
4 |
8 |
0 |
4 |
|
11 |
広島 |
14 |
3 |
10 |
1 |
7 |
|
12 |
西武 |
14 |
2 |
12 |
0 |
10 |
どのチームも最初は勝ち数と負け数の差がなく、いわゆる貯金が0です。1試合ごとに勝つと貯金が1つ増え、負けると借金が1つ増えます。ここで、勝ち数と負け数の差を考えました。例えば上の成績の場合はロッテも広島も勝敗の差は同じ7のことをいいます。さて、次のような問題を作成しました。皆さん!考えてください。
あるチームがn(n≧1)試合、野球を行ったとき、勝敗の差の期待値をEnとして、E2n についてです。
ただし、勝敗の起こる確率は5分5分とし、引き分けはないものとします。
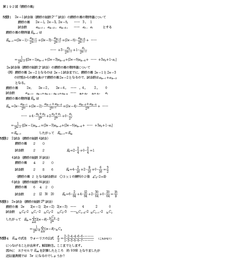
問題1:E2n=E2n−1となることを説明しなさい。
問題2:問題1から、偶数試合終了だけを考えて2、4、6試合終了したときの期待値E2nを求めよ。
問題3:2n試合終了したときの期待値E2nをnで表せ。ただし、組み合わせの記号Cを用いても良い。
問題4:1年間に144試合行いますから、一体どのくらいの貯金または借金が妥当か、ウォーリスの公式を利用して、E144の近似値を求めてください。
NO1「uchinyan」06/10 17時39分受信
「uchinyan」06/11 17時53分受信 更新7/1
第192回数学的な応募問題
[勝敗の差]
問題1:
引き分けはないので,n 試合行って,k 勝 (n-k) 敗したとします。
このときの確率は,nCk * (1/2)^k * (1/2)^(n-k) = nCk * (1/2)^n です。
また,このときの勝敗の差は,|k - (n-k)| = |n-2k| です。
そこで,期待値 E(n) は,
E(n)
= 納k=0,n]{|n-2k| * nCk * (1/2)^n}
= (1/2)^n * 納k=0,n]{|n-2k| * nCk}
そこで,
E(2n-1) = (1/2)^(2n-1) * 納k=0,2n-1]{|2n-1-2k| * (2n-1)Ck}
E(2n) = (1/2)^(2n) * 納k=0,2n]{|2n-2k| * (2n)Ck}
= (1/2)^(2n-1) * 納k=0,2n]{|n-k| * (2n)Ck}
ここで,(2n-1)Ck = (2n-1)C(2n-1-k),(2n)Ck
= (2n)C(2n-k) なので,
k の和を絶対値の中が正となる範囲である半分に分けて絶対値をはずします。
E(2n-1)
= (1/2)^(2n-1) * 納k=0,2n-1]{|2n-1-2k| * (2n-1)Ck}
= (1/2)^(2n-1) * {納k=0,n-1]{(2n-1-2k) * (2n-1)Ck} + 納k=n,2n-1]{(2k-2n+1) *
(2n-1)Ck}}
= (1/2)^(2n-1) * {納k=0,n-1]{(2n-1-2k) * (2n-1)Ck} + 納k=n,2n-1]{(2k-2n+1) *
(2n-1)C(2n-1-k)}}
第2項で 2n-1-k -> k,つまり k -> 2n-1-k として,
= (1/2)^(2n-1) * {納k=0,n-1]{(2n-1-2k) * (2n-1)Ck} + 納k=0,n-1]{(2n-1-2k) *
(2n-1)Ck}}
= (1/2)^(2n-1) * 2 * 納k=0,n-1]{(2n-1-2k) * (2n-1)Ck}
= (1/2)^(2n-2) * 納k=0,n-1]{(2n-1-2k) * (2n-1)Ck}
同様にして,
E(2n)
= (1/2)^(2n-1) * 納k=0,2n]{|n-k| * (2n)Ck}
= (1/2)^(2n-1) * {納k=0,n-1]{(n-k) * (2n)Ck} + 0 + 納k=n+1,2n]{(k-n) * (2n)Ck}}
= (1/2)^(2n-1) * {納k=0,n-1]{(n-k) * (2n)Ck} + 納k=n+1,2n]{(k-n) *
(2n)C(2n-k)}}
第2項で 2n-k -> k,つまり k -> 2n-k として,
= (1/2)^(2n-1) * {納k=0,n-1]{(n-k) * (2n)Ck} + 納k=0,n-1]{(n-k) * (2n)Ck}}
= (1/2)^(2n-1) * 2 * 納k=0,n-1]{(n-k) * (2n)Ck}
= (1/2)^(2n-2) * 納k=0,n-1]{(n-k) * (2n)Ck}
そこで,結局,
E(2n-1) = (1/2)^(2n-2) * 納k=0,n-1]{(2n-1-2k) * (2n-1)Ck}
E(2n) = (1/2)^(2n-2) * 納k=0,n-1]{(n-k) * (2n)Ck}
になります。
さて,ここで,二項係数の性質である
(2n)Ck = (2n-1)C(k-1) + (2n-1)Ck
を使うと,
納k=0,n-1]{(n-k) * (2n)Ck}
= n * (2n)C0 + 納k=1,n-1]{(n-k) * (2n)Ck}
= n * 1 + 納k=1,n-1]{(n-k) * (2n-1)C(k-1) + (n-k) * (2n-1)Ck}
= n + 納k=1,n-1]{(n-k) * (2n-1)C(k-1)} + 納k=1,n-1]{(n-k) * (2n-1)Ck}
= 納k=0,n-2]{(n-k-1) * (2n-1)Ck} + n * (2n-1)C0 + 納k=1,n-1]{(n-k) * (2n-1)Ck}
= 納k=0,n-2]{(n-k-1) * (2n-1)Ck} + 納k=0,n-1]{(n-k) * (2n-1)Ck}
= 納k=0,n-2]{(n-k-1) * (2n-1)Ck} + 納k=0,n-2]{(n-k) * (2n-1)Ck} + 1 *
(2n-1)C(n-1)
= 納k=0,n-2]{(n-k-1) * (2n-1)Ck + (n-k) * (2n-1)Ck} + 1 * (2n-1)C(n-1)
= 納k=0,n-2]{(2n-1-2k) * (2n-1)Ck} + 1 * (2n-1)C(n-1)
= 納k=0,n-1]{(2n-1-2k) * (2n-1)Ck}
そこで,
E(2n)
= (1/2)^(2n-2) * 納k=0,n-1]{(n-k) * (2n)Ck}
= (1/2)^(2n-2) * 納k=0,n-1]{(2n-1-2k) * (2n-1)Ck}
= E(2n-1)
がいえます。
問題2:
偶数だけ,とありますが,大した手間ではないので,
確認のために,奇数の場合も含めて n = 10 まで計算してみました。
E(1) = (1/2)^(0) * 納k=0,0]{(1-2k) * 1Ck} = 1 * 1 * 1C0 = 1
E(2) = (1/2)^(0) * 納k=0,0]{(1-k) * 2Ck} = 1 * 1 * 2C0 = 1
E(3) = (1/2)^(2) * 納k=0,1]{(3-2k) * 3Ck}
= 1/4 * (3 * 3C0 + 1 * 3C1) = 1/4 * (3 + 3) = 3/2
E(4) = (1/2)^(2) * 納k=0,1]{(2-k) * 4Ck}
= 1/4 * (2 * 4C0 + 1 * 4C1) = 1/4 * (2 + 4) = 3/2
E(5) = (1/2)^(4) * 納k=0,2]{(5-2k) * 5Ck}
= 1/16 * (5 * 5C0 + 3 * 5C1 + 1 * 5C2) = 1/16 * (5 + 15 + 10) = 15/8
E(6) = (1/2)^(4) * 納k=0,2]{(3-k) * 6Ck}
= 1/16 * (3 * 6C0 + 2 * 6C1 + 1 * 6C2) = 1/16 * (3 + 12 + 15) = 15/8
E(7) = (1/2)^(6) * 納k=0,3]{(7-2k) * 7Ck}
= 1/64 * (7 * 7C0 + 5 * 7C1 + 3 * 7C2 + 1 * 7C3)
= 1/64 * (7 + 35 + 63 + 35) = 140/64 = 35/16
E(8) = (1/2)^(6) * 納k=0,3]{(4-k) * 8Ck}
= 1/64 * (4 * 8C0 + 3 * 8C1 + 2 * 8C2 + 1 * 8C3)
= 1/64 * (4 + 24 + 56 + 56) = 140/64 = 35/16
E(9) = (1/2)^(8) * 納k=0,4]{(9-2k) * 9Ck}
= 1/256 * (9 * 9C0 + 7 * 9C1 + 5 * 9C2 + 3 * 9C3 + 1 * 9C4)
= 1/256 * (9 + 63 + 180 + 252 + 126) = 630/256 = 315/128
E(10) = (1/2)^(8) * 納k=0,4]{(5-k) * 10Ck}
= 1/256 * (5 * 10C0 + 4 * 10C1 + 3 * 10C2 + 2 * 10C3 + 1 * 10C4)
= 1/256 * (5 + 40 + 135 + 240 + 210) = 630/256 = 315/128
...
確かに,E(2n) = E(2n-1) になっています。
問題3:
E(2n) = (1/2)^(2n-2) * 納k=0,n-1]{(n-k) * (2n)Ck}
= (1/2)^(2n-2) * {n * 納k=0,n-1]{(2n)Ck} - 納k=0,n-1]{k * (2n)Ck}}
ここで,E(2n) の { } の第1項は,
納k=0,n-1]{(2n)Ck}
= 納k=0,2n]{(2n)Ck} - 納k=n,2n]{(2n)Ck}
= 納k=0,2n]{(2n)Ck} - 納k=n,2n]{(2n)C(2n-k)}
第2項で k -> 2n-k として
= 納k=0,2n]{(2n)Ck} - 納k=0,n]{(2n)Ck}
第1項は二項定理を用いて
= (1+1)^(2n) - 納k=0,n]{(2n)Ck}
= 2^(2n) - 納k=0,n]{(2n)Ck}
= 2^(2n) - 納k=0,n-1]{(2n)Ck} - (2n)Cn
そこで,
2 * 納k=0,n-1]{(2n)Ck} = 2^(2n) - (2n)Cn
納k=0,n-1]{(2n)Ck} = 2^(2n-1) - 1/2 * (2n)Cn
次に,E(2n) の { } の第2項は,
(2n)Ck = (2n)!/(2n-k)!k! = 2n/k * (2n-1)!/(2n-k)!(k-1)! = 2n/k * (2n-1)C(k-1)
なので,
納k=0,n-1]{k * (2n)Ck}
= 納k=1,n-1]{k * (2n)Ck}
= 納k=1,n-1]{k * 2n/k * (2n-1)C(k-1)}
= 納k=1,n-1]{2n * (2n-1)C(k-1)}
= 2n * 納k=0,n-2]{(2n-1)Ck}
以下,先ほどと同様の計算をして,
= 2n * {納k=0,2n-1]{(2n-1)Ck} - 納k=n-1,2n-1]{(2n-1)Ck}}
= 2n * {(1+1)^(2n-1) - 納k=n-1,2n-1]{(2n-1)C(2n-1-k)}}
= 2n * {2^(2n-1) - 納k=0,n]{(2n-1)Ck}}
= 2n * {2^(2n-1) - 納k=0,n-2]{(2n-1)Ck} - (2n-1)C(n-1) - (2n-1)Cn}
4n * 納k=0,n-2]{(2n-1)Ck} = 2n * 2^(2n-1) - 2n * {(2n-1)C(n-1) + (2n-1)Cn}
2n * 納k=0,n-2]{(2n-1)Ck} = n * 2^(2n-1) - n * {(2n-1)C(n-1) + (2n-1)Cn}
つまり,
納k=0,n-1]{k * (2n)Ck}
= 2n * 納k=0,n-2]{(2n-1)Ck}
= n * 2^(2n-1) - n * {(2n-1)C(n-1) + (2n-1)Cn}
ここで,二項定理の性質より (2n-1)C(n-1) + (2n-1)Cn
= (2n)Cn なので,
納k=0,n-1]{k * (2n)Ck} = n * 2^(2n-1) - n * (2n)Cn
以上より,
E(2n) = (1/2)^(2n-2) * {n * 納k=0,n-1]{(2n)Ck} - 納k=0,n-1]{k * (2n)Ck}}
= (1/2)^(2n-2) * {n * 2^(2n-1) - 1/2 * n * (2n)Cn - n
* 2^(2n-1) + n * (2n)Cn}
= (1/2)^(2n-2) * 1/2 * n * (2n)Cn
= 1/2^(2n-1) * n * (2n)Cn
つまり,
E(2n) = n * (2n)Cn/2^(2n-1)
となります。
問題4:
ウォリスの公式は,いくつか表現方法があるようですが,今回の問題に即した形式では,
lim[n->∞] (2^n * n!)^2/((2n)! * √n) = √π
と書けます。これは,(2n)Cn = (2n)!/(n!n!) に注意すると,
lim[n->∞]{(2n)Cn/2^(2n) * √n} = 1/√π
n -> ∞ で (2n)Cn/2^(2n) 〜
1/(√π * √n)
と変形できます。
問題3:より,
E(2n) = n * (2n)Cn/2^(2n-1) = 2n * (2n)Cn/2^(2n) 〜 2n *
1/(√π * √n) = 2√(n/π)
そこで,
E(144) 〜 2√(72/π) 〜 9.5746
となります。そこで,144試合の貯金又は借金は,9試合〜10試合ぐらいが妥当なようです。
なお,ウォリスの公式を使わずにプログラムで直接に E(144) を計算すると,
E(144) = 9.55800668897242
となるようです。
(考察)
どれほど役に立つかどうか分かりませんが,E(2n) には次のような性質があります。
E(2n) = (1/2)^(2n-2) * 納k=0,n-1]{(n-k) * (2n)Ck}
n -> n+1 とすると,
E(2n+2) = (1/2)^(2n) * 納k=0,n]{(n+1-k) * (2n+2)Ck}
次の二項係数の関係式を使います。
(2n+2)Ck = (2n+1)C(k-1) + (2n+1)Ck = (2n)C(k-2) + 2 * (2n)C(k-1) + (2n)Ck
すると,
納k=0,n]{(n+1-k) * (2n+2)Ck}
= (n+1) * (2n+2)C0 + n * (2n+2)C1 + 納k=2,n]{(n+1-k) * (2n+2)Ck}
= (n+1) * (2n+2)C0 + n * (2n+2)C1
+ 納k=2,n]{(n+1-k) * (2n)C(k-2)} + 2 * 納k=2,n]{(n+1-k) * (2n)C(k-1)}
+ 納k=2,n]{(n+1-k) * (2n)Ck}
= (n+1) * (2n+2)C0 + n * (2n+2)C1
+ 納k=0,n-2]{(n-k-1) * (2n)Ck} + 2 * 納k=1,n-1]{(n-k) * (2n)Ck}
+ 納k=2,n]{(n+1-k) * (2n)Ck}
= (n+1) * (2n+2)C0 + n * (2n+2)C1
+ (n-1) * (2n)C0 + (n-2) * (2n)C1 + 納k=2,n-2]{(n-k-1) * (2n)Ck}
+ 2 * (n-1) * (2n)C1 + 2 * 1 * (2n)C(n-1) + 2 * 納k=2,n-2]{(n-k) * (2n)Ck}
+ 2 * (2n)C(n-1) + 1 * (2n)Cn + 納k=2,n-2]{(n+1-k) *
(2n)Ck}
= (n+1) * (2n+2)C0 + n * (2n+2)C1
+ (n-1) * (2n)C0 + (n-2) * (2n)C1 + 2 * (n-1) * (2n)C1 + 2 * 1 * (2n)C(n-1)
+ 2 * (2n)C(n-1) + 1 * (2n)Cn
+ 納k=2,n-2]{4 * (n-k) * (2n)Ck}
= 2n + 2n(n+1) + 2n(n-2) + 4n(n-1) + (2n)Cn
+ 4 * 納k=0,n-1]{(n-k) * (2n)Ck} - 4 * n * (2n)C0 - 4 * (n-1) * (2n)C1
= 2n + 2n(n+1) + 2n(n-2) + 4n(n-1) + (2n)Cn
+ 4 * 納k=0,n-1]{(n-k) * (2n)Ck} - 4n - 8n(n-1)
= 4 * 納k=0,n-1]{(n-k) * (2n)Ck} + 2n(1 + (n+1) + (n-2) + (2n-2) - 2 - 4(n-1))
+ (2n)Cn
= 4 * 納k=0,n-1]{(n-k) * (2n)Ck} + (2n)Cn
そこで,
E(2n+2) = (1/2)^2 * 4 * E(2n) + (2n)Cn/2^(2n)
E(2n+2) = E(2n) + (2n)Cn/2^(2n)
という漸化式を満たします。これから,
E(2n+2) - E(2n) = (2n)Cn/2^(2n)
E(2n) = E(2) + 納k=1,n-1]{(2k)Ck/2^(2k)}
E(2) = 1 だったので,
E(2n) = 1 + 納k=1,n-1]{(2k)Ck/2^(2k)}
とも書けます。問題3:の結果からすると,
1 + 納k=1,n-1]{(2k)Ck/2^(2k)} = n * (2n)Cn/2^(2n-1)
ですが,これを導くのは難しそうです。
ただ,次のように数学的帰納法を用いてこれが成立することは確認できます。
・n = 1 の場合
左辺 = 1 + 納k=1,0]{(2k)Ck/2^(2k)} = 1 + 0 = 1
右辺 = 1 * 2C1/2 = 1
で成立。
・n で成立したと仮定して n+1 の場合
左辺(n+1)
= 1 + 納k=1,n]{(2k)Ck/2^(2k)}
= 1 + 納k=1,n-1]{(2k)Ck/2^(2k)} + (2n)Cn/2^(2n)
= n * (2n)Cn/2^(2n-1) + (2n)Cn/2^(2n) <--- 帰納法の仮定
= (2n+1) * (2n)Cn * 1/2^(2n)
ここで,二項係数の性質から,
(2n+1)/(n+1) * (2n)Cn = (2n+1)/(n+1) * (2n)!/n!n! = (2n+1)!/(n+1)!n! = (2n+1)Cn
2 * (2n+1)Cn = (2n+2)/(n+1) * (2n+1)Cn = (2n+2)/(n+1) * (2n+1)!/(n+1)!n! = (2n+2)C(n+1)
なので,
左辺(n+1)
= (n+1) * 1/2 * (2n+2)C(n+1) * 1/2^(2n)
= (n+1) * (2n+2)C(n+1)/2^(2n+1)
= 右辺(n+1)
で成立。
なお,漸化式から得られた E(2n) の式を使うと,
かなり荒い近似ですが,問題4:の別解として次のような方法も考えられます。
(実は最初,問題3:が解けず,この方法で E(144) の近似値を計算しました (^^;)
ウォリスの公式を先ほどと同様に,
n -> ∞ で (2n)Cn/2^(2n) 〜
1/(√π * √n)
と変形しておきます。
漸化式から得られた E(2n) の式より,かなり荒い近似ですが,
E(2n) = 1 + 納k=1,n-1]{(2k)Ck/2^(2k)} 〜 1 +
納k=1,n-1]{1/(√π * √k)}
そこで,Σ の計算を √k が整数になるところを中心に適当に近似して,E(144) を計算します。
E(144)
〜 1 + 1/√π * (1 * 1 + 1/2 * (6-2) + 1/3 * (12-6) + 1/4
* (20-12) + 1/5 * (30-20) + 1/6 * (42-30) + 1/7 * (56-42) + 1/8 * (72-56))
= 1 + 1/√π * (1 + 4/2 + 6/3 + 8/4 + 10/5 + 12/6 + 14/7 + 16/8)
= 1 + 1/√(3.14159) * 15
= 9.462847
となります。荒い近似の割には結構いい近似値が得られています。
これからも,144試合の貯金又は借金は,9試合〜10試合ぐらいが妥当,との結論が得られます。
(感想)
今回の問題は,私には,Σ の計算などがかなり骨がありました。
もう少し簡単にできるのかなぁ...
しかし,結局はうまく計算できて,ちょっと驚いています。
多分自分で計算したら,最初からプログラムに走ってしまい,ここまでは考察しないだろうなぁ,
と思います。
前回もそうでしたが,現実的な話題と数式の計算とがうまく融合した,いい問題ですね。
NO2「Toru」 06/12 16時58分受信 更新7/1
問題1
2n-1試合後の、勝敗の差をAi その確率をPiとして
E2n-1=ΣAi Pi
Ai≠0であるから、もう一試合やった時、Aiは各1/2の確率で1増えるか1減るかであ
るため
E2n=Σ((Ai+1) 1/2 Pi+(Ai-1) 1/2 Pi)=ΣAi Pi = E2n-1
問題2
2試合 2x(1/4+1/4)+0x1/2=1
4試合 4x(1/16+1/16)+2x(1/4+1/4)+0x3/8=3/2
6試合 6x(1/64+1/64)+4x(3/32+3/32)+2x(15/64+15/64)+0x5/16=15/8
問題3
2n試合後の勝ち負け差が2k (k=0,1,2,---,n)となる確率は
k≠0の時 2nCn-k/2^(2n-1) であるから
期待値は Σ(k=1〜n) 2k 2nCn-k/2^(2n-1)
2k 2nCn-k=(n+k) 2nCn-k- (n-k) 2nCn-k=2n (2n-1 Cn-k −2n-1Cn-k-1) と変形し
て(k=nの時は第2項0)
Σ(k=1〜n) 2k 2nCn-k/2^(2n-1)=n/2^2(n-1)Σ(k=1〜n) (2n-1Cn-k − 2n-1Cn-k-1)=
n/2^2(n-1) 2n-1 C n-1=2n 2nCn/2^(2n)
問題4 ウォーリスの公式より2nCn〜2^(2n)/√(nπ)
E2n〜2√(n/π)より
E144≒2√(72/π) ≒9.5746
<コメント: 問題192の解答を送ります。勝ち負けの差が0になったは必ず1になるので、
この分が増えて行くわけで 問題1と E2n+1=E2n+2nCn/2^(2n) から求めてみよう
とも思いましたが、どうも計算がすっきりしませんで、問題3のように直接求めるこ
とにしました。>
NO3「kashiwagi」06/15 11時09分受信
「kashiwagi」06/18 08時02分受信 更新7/1
192回問題
問1.
今2n-1試合終了時点での勝敗の差の期待値を
とする。ここで更に1試合行うと、確率1/2で勝つか負けることになり、1試合増加することにより勝敗の差は+1か-1となる。
2n-1試合までの勝敗の差をMとすると、更に1試合行うことにより1/2づつの確率でM+1かM-1となる。因って、期待値は
となる。
即ち、
=
である。
問2.
=
であるから、
=
より
=1
全く同様にして、
=
=
であるから、
=3/2、
=15/8 となる。
問3.
もう少々計算をし、その結果を整理すると、
![]()
![]()
![]()
![]()
となる。
因って、求めるものは![]()
前回は分母の最後を2nとしておりましたが、2(n-1)に訂正致します。
問4.
ウォーリーの公式より
であるから、
√144・
が求めるものである。
以 上.
NO4「新俳人澄朝」6/19 15時14分受信
更新7/1

NO5「kasama」 06/21 16時42分受信
「kasama」 06/24 00時22分受信
更新7/1
|
【問題1】 勝敗の差がある(勝敗の差>0)とき、次の試合で勝敗の差は1つ増えるか減るので、勝敗の期待値は変わりません。勝敗の差がない(勝敗の差=0)とき、次の試合で勝敗の差は1つ増えるので、勝敗の期待値は増えます。奇数回試合をすれば、勝敗に差があるので、その次の試合で勝敗の期待値は変わりません。よって、E2n=E2n-1です。 |
|||||||||||||||||||||||||||||||||||||||||||||||||||||||||||||||||||||||||||||||||||||||||||||||||||||||||||||||||||||||||||||||||||||||||||||||||||||||||||||||||||||||||||||||||||||||||||||||||||||||||||||||||||||||||||||||||||||||||||||||||||||||||||||||||||||||||||||||||||||||||||||||||||||||||||||||||||||||||||||||||||||||||||||||||||||||||||||||||||||||||||||||||||||||||||||||||||||||||||||||||||||||||||||||||||||||||||||||||||||||||||||||||||||||||||||||||||||||||||||||||||||||||||||||||||||||||||||||||||||||||||||||||||||||||||||||||||||||||||||||||||||||||||||||||||||||||||||
|
【問題2】 勝敗のパターンを書き出して整理すると、以下のようになります。
|
|||||||||||||||||||||||||||||||||||||||||||||||||||||||||||||||||||||||||||||||||||||||||||||||||||||||||||||||||||||||||||||||||||||||||||||||||||||||||||||||||||||||||||||||||||||||||||||||||||||||||||||||||||||||||||||||||||||||||||||||||||||||||||||||||||||||||||||||||||||||||||||||||||||||||||||||||||||||||||||||||||||||||||||||||||||||||||||||||||||||||||||||||||||||||||||||||||||||||||||||||||||||||||||||||||||||||||||||||||||||||||||||||||||||||||||||||||||||||||||||||||||||||||||||||||||||||||||||||||||||||||||||||||||||||||||||||||||||||||||||||||||||||||||||||||||||||||||
|
【問題3】 問題1の考察により、E2n-2からE2nへの増分は、2n-2回目の勝敗の差=0に相当する分だけ増えます。試合の様子をツリーで表すと、以下のようになります。ただし、ノード数字は場合数です。 |
|||||||||||||||||||||||||||||||||||||||||||||||||||||||||||||||||||||||||||||||||||||||||||||||||||||||||||||||||||||||||||||||||||||||||||||||||||||||||||||||||||||||||||||||||||||||||||||||||||||||||||||||||||||||||||||||||||||||||||||||||||||||||||||||||||||||||||||||||||||||||||||||||||||||||||||||||||||||||||||||||||||||||||||||||||||||||||||||||||||||||||||||||||||||||||||||||||||||||||||||||||||||||||||||||||||||||||||||||||||||||||||||||||||||||||||||||||||||||||||||||||||||||||||||||||||||||||||||||||||||||||||||||||||||||||||||||||||||||||||||||||||||||||||||||||||||||||||
|
【問題4】 2007.06.23追加 ウォーリスの公式を以下のように変形します。 |
|||||||||||||||||||||||||||||||||||||||||||||||||||||||||||||||||||||||||||||||||||||||||||||||||||||||||||||||||||||||||||||||||||||||||||||||||||||||||||||||||||||||||||||||||||||||||||||||||||||||||||||||||||||||||||||||||||||||||||||||||||||||||||||||||||||||||||||||||||||||||||||||||||||||||||||||||||||||||||||||||||||||||||||||||||||||||||||||||||||||||||||||||||||||||||||||||||||||||||||||||||||||||||||||||||||||||||||||||||||||||||||||||||||||||||||||||||||||||||||||||||||||||||||||||||||||||||||||||||||||||||||||||||||||||||||||||||||||||||||||||||||||||||||||||||||||||||||
<水の流れ:いつも綺麗な解答で深く感謝しています。ありがとうございます。>
皆さん、答えがわかったら、一部でも構いませんから、解答とペンネームを添えて、メールで送ってください。待っています。
![]()