平成19年8月12日
[流れ星]
第194回数学的な応募問題解答
<解答募集期間:7月22日〜8月12日
[極限値と定積分]
皆さん、微分積分学を学んでいくと、綺麗で美しいなーと思える公式に出会います。
太郎さんは 大学入試問題で極限値を求めるときに、下の公式を利用します。

<出典:(1)、(2)は2006年芝浦工業大学(工学)(3)は日本数学検定協会監修の1級の問題集から>
NO1「uchinyan」07/22 12時39分受信 更新8/12
第194回数学的な応募問題
[極限値と定積分]
与えられた公式,とうよりも区分求積法そのものですね,を使って計算しました。
ただし,log は e を底とする自然対数です。
(1) lim[n->∞] (1/(n+1) + 1/(n+2) + 1/(n+3) + ... +
1/(n+n))
lim[n->∞] (1/(n+1) + 1/(n+2) + 1/(n+3) + ... + 1/(n+n))
= lim[n->∞] 納k=1,n]{1/(n+k)}
= lim[n->∞] 1/n * 納k=1,n]{1/(1+k/n)}
= ∫[0,1]{1/(1+x)}dx
= [log(1+x)][0,1]
= log2 - log1
= log2
(2) lim[n->∞] {n/(n+1)^2 + n/(n+2)^2 + n/(n+3)^2 +
... + n/(n+n)^2)
lim[n->∞] {n/(n+1)^2 + n/(n+2)^2 + n/(n+3)^2 + ...
+ n/(n+n)^2)
= lim[n->∞] 納k=1,n]{n/(n+k)^2}
= lim[n->∞] 1/n^2 * n * 納k=1,n]{1/(1+k/n)^2}
= lim[n->∞] 1/n * 納k=1,n]{1/(1+k/n)^2}
= ∫[0,1]{1/(1+x)^2}dx
= [-1/(1+x)][0,1]
= (-1/2) - (-1/1)
= 1/2
(3) lim[n->∞] {(n!)^(1/n)/n}
y = (n!)^(1/n)/n とおきます。すると,
log(y) = log{(n!)^(1/n)/n}
= 納k=1,n]{1/n * log(k)} - log(n)
= 1/n * 納k=1,n]{log(k) - log(n)}
= 1/n * 納k=1,n]{log(k/n)}
そこで,
lim[n->∞] log(y)
= lim[n->∞]{1/n * 納k=1,n]{log(k/n)}}
= ∫[0,1]{log(x)}dx
= [x * log(x) - x][0,1]
= (1 * log1 - 1) - ((x * log(x))[x->0] - 0)
= -1 - (x * log(x))[x->0]
ここで,
(x * log(x))[x->0] = lim[x->0]{x * log(x)} = 0
です。これは,ロピタルの定理を使えば簡単ですが,高校の範囲では次のようにやればいいでしょう。
log(x) = -t とおきます。すると,x = e^(-t) で,
(x * log(x))[x->0] = lim[x->0]{x * log(x)} = lim[t->∞]{- t/e^t}
ここで,t > 0 で e^t > 1 + t + 1/2 * t^2 を使います。これは次のようにして示せます。
f(t) = e^t - (1 + t + 1/2 * t^2) = e^t - 1 - t - 1/2 * t^2
とおきます。
f'(t) = e^t - 1 - t
f''(t) = e^t - 1
なので,t > 0 で,
f''(t) > 0 -> f'(t) は単調増加
f'(t) > f'(0) = e^0 - 1 - 0 = 1 - 1 = 0 -> f(t) は単調増加
f(t) > f(0) = e^0 - 1 - 0 - 1/2 * 0^2 = 1 - 1 = 0
つまり,t > 0 で e^t - (1 + t + 1/2 * t^2) > 0,e^t > 1 + t + 1/2 * t^2 がいえました。
そこで,t > 0 で
e^t > 1 + t + 1/2 * t^2 > t + 1/2 * t^2
1/e^t < 1/(t + 1/2 * t^2)
0 > - t/e^t > - t/(t + 1/2 * t^2) = - 1/(1 +
1/2 * t)
0 >= lim[t->∞]{- t/e^t}
>= lim[t->∞]{- 1/(1 + 1/2 * t} = 0
lim[t->∞]{- t/e^t} = 0
そこで,
(x * log(x))[x->0] = lim[x->0]{x * log(x)} = lim[t->∞]{- t/e^t} = 0
がいえます。
以上より結局,
lim[n->∞] log(y) = -1
です。そこで,
lim[n->∞] {(n!)^(1/n)/n} = lim[n->∞]{y}
= lim[n->∞]{e^(log(y))} = e^(-1) = 1/e
がいえます。
(感想)
(3)は一工夫必要ですが,いずれも標準的な問題といってよさそうですね。
NO2「新俳人澄朝」7/23
17時41分受信 更新8/12

NO3「Toru」 07/25 12時21分受信 更新8/12
第194回解答を送ります。
3)はやっぱり大学入試の範囲を超えていますよね。この機会に広義積分やら、一様収束やらちょっと勉強しようと思いつつ、
時間が取れず、中途半端です。ところで、英検と漢検は知っていましたが、数検と言うのは知りませんでした。
今ではそれなりにメジャーなものなのでしょうか?
<水の流れ:(3)は正式には高校の学習指導要綱から離れています。したがって、大学の1、2年程度になります。
さらに、数倹の1級は大学1、2年生の内容となっています。>
1) lim(n→∞) (1/(n+1) + 1/(n+2) + 2/(n+3) +-------+1/(n+n))
=lim(n→∞)1/n Σ(k=1〜n)
1/(1+k/n)=・(0〜1) 1/(1+x) dx
=[ log|1+x|](0〜1)=log2
2) lim(n→∞) (n/(n+1)^2 + n/(n+2)^2 + n/(n+3)^2
+-------+n/(n+n)^2)
= lim(n→∞) 1/nΣ(k=1〜n)1/(1+k/n)^2=・(0〜1)1/(1+x)^2 dx
=[ - 1/(1+x)](0〜1)=-1/2+1=1/2
3) log (n√n!/n)=1/n log (n!/n^n)=1/nΣ(k=1〜n) log (k/n)
これに機械的に公式を適用すれば
lim(n→∞) 1/nΣ(k=1〜n) log
(k/n)=・(0〜1)log x dx=[xlogx-x](0〜1)=-1 (x→0
の時xlogx →0)
よって(n√n!/n) → 1/e (n→∞)
ただこれは広義積分だからちょっと問題があるような気もします。
それで、
f(n)= 1/nΣ(k=1〜n) log (k/n) , g(n,δ)=1/nΣ(k=1〜n) log ((k+δ)/n) (δ>0)
とおくと、
log ((k+δ)/n)- log (k/n)=log (1+δ/k)≦log(1+δ)
より、任意のε>0に対して nに関係なくδがとれて
|g(n,δ)-f(n)|≦1/nΣ(k=1〜n)log(1+δ)=log(1+δ)<ε ---(1)
ここで、
lim(n→∞) g(n,δ)=・(δ〜1+δ)logx dx=[xlogx-x](δ〜1+δ)
=(1+δ)log(1+δ)-δlogδ-1 (これなら広義積分にならない)
つまり nが十分大きいとき|g(n,δ)-(1+δ)log(1+δ)-δlogδ-1|<ε
----(2)
また
(1+δ)log(1+δ)-δlogδ-1 → -1 (δ→0)
(δlogδ→0はロピタルの定理)
つまり δが十分小さいとき|(1+δ)log(1+δ)-δlogδ-1-(-1)|<ε ----(3)
よって(1) (3)を満たすようにδをとれば、nが十分大きい時、
|f(n)-(-1)|≦|f(n)- g(n,δ)|+|g(n,δ)-((1+δ)log(1+δ)-δlogδ-1)|+
|(1+δ)log(1+δ)-δlogδ-1-(-1)|<3ε
すなわちf(n)→-1 (n→∞)
NO4「kashiwagi」07/30 08時54分受信 更新8/12
194回問題
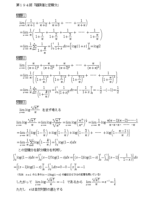
(1)
この極限値は定義より![]()
(2)分子及び分母をn2で割ると、

この極限値は定義より
(3)
の極限値をx とし、両辺の対数をとると
![]()
=![]()
=![]()
この極限値は定義より
となる。そこで部分積分し、
=![]()
因って、
であるから、
となる。即ち求めるものは
である。
NO5「kasama」 07/30 16時50分受信
更新8/12
|
問題(1) limの中を変形すると、 |
|
問題(2) limの中を変形すると、 |
|
問題(3) limの中を変形すると、 |
NO6「三角定規」08/05
10時25分受信 更新8/12
[問題194解答]<三角定規>

実際にこれらの値に近づいていくことを,エクセルで確かめてみました。
(3)は,特別な工夫をしないとエクセルで計算できるのは
170! までなので,そこまでにしました。

![]()