平成19年10月14日
[流れ星]
第197回数学的な応募問題解答
<解答募集期間:9月23日〜10月14日
[フーリエ級数(1)]
皆さん、ゼーター関数をご存知ですか。今回の問題はフーリエ級数とζ(2)の関係です。

NO1「uchinyan」09/23 13時22分受信 更新10/14
第197回数学的な応募問題
[フーリエ級数(1)]
まずは,最初の三角関数の直交性から導いてしまいましょう。
(1) m, n を m, n > 0 なる整数とします。
I = ∫[-π〜π] sin(mx)sin(nx) dx
= - 1/2 * ∫[-π〜π] {cos((m+n)x) - cos((m-n)x)}
dx
ここで,
・m not= n の場合
I = - 1/2 * [sin((m+n)x)/(m+n)
- sin((m-n)x)/(m-n)][-π〜π]
= 0
・m = n の場合
I = - 1/2 * ∫[-π〜π] {cos(2mx) - 1} dx
= - 1/2 * [sin(2mx)/(2m) - x][-π〜π]
= π
(2) m, n を m, n >= 0 なる整数とします。
I = ∫[-π〜π] cos(mx)cos(nx)
dx
= 1/2 * ∫[-π〜π] {cos((m+n)x) + cos((m-n)x)}
dx
ここで,
・m not= n の場合
I = 1/2 * [sin((m+n)x)/(m+n)
+ sin((m-n)x)/(m-n)][-π〜π]
= 0
・m = n not= 0 の場合
I = 1/2 * ∫[-π〜π] {cos(2mx) + 1} dx
= 1/2 * [sin(2mx)/(2m) + x][-π〜π]
= π
・m = n = 0 の場合
I = 1/2 * ∫[-π〜π] {1 + 1} dx
= [x][-π〜π]
= 2π
(3)
I = ∫[-π〜π] sin(mx)cos(nx)
dx
sin(mx)cos(nx) は奇関数なので,明らかに,I = 0 です。
さて,いよいよ問題です。
-π < x < π で,
x/2 = Σ[m=1,∞] b(m) * sin(mx)
と書けているとします。ただし,但し書きにあるように,
(A) この無限和内の順序交換は可能
(B) この無限和と積分の順序交換は可能
と仮定します。
問題1:& 問題2:
等式の両辺に sin(nx),n = 1, 2, 3, ...,を掛けて,x を -π〜π で積分すると,
∫[-π〜π] {x/2 * sin(nx)} dx = ∫[-π〜π] {Σ[m=1,∞] b(m) * sin(mx)} * sin(nx) dx
右辺 = ∫[-π〜π] {Σ[m=1,∞] b(m) *
sin(mx)} * sin(nx) dx
= Σ[m=1,∞] b(m) * ∫[-π〜π] sin(mx)sin(nx) dx <--- (B)
= b(n) * π <--- (1)
左辺 = ∫[-π〜π] {x/2 * sin(nx)} dx
= 1/2 * ∫[-π〜π] {x * sin(nx)} dx
= 1/2 * [- x * cos(nx)/n][-π〜π] - 1/2 * ∫[-π〜π] {-
cos(nx)/n} dx <--- 部分積分
= - π/2n * 2 * (-1)^n - 1/2 * [- sin(nx)/n^2][-π〜π]
= π * (-1)^(n-1)/n
そこで,
b(n) = (-1)^(n-1)/n, n = 1, 2, 3, ...
特に,
b(1) = 1, b(2) = - 1/2, b(3) = 1/3
問題3:
問題1:& 問題2:より,
x/2 = Σ[m=1,∞] (-1)^(m-1)/m *
sin(mx)
と書けます。そこで,両辺を二乗して,x を -π〜π
で積分すると,
(x/2)^2 = (Σ[m=1,∞]
(-1)^(m-1)/m * sin(mx))^2
x^2/4 = (Σ[m=1,∞] (-1)^(m-1)/m
* sin(mx)) * (Σ[n=1,∞] (-1)^(n-1)/n * sin(nx))
x^2/4 = Σ[m=1,∞ & n=1,∞] {(-1)^(m-1)/m * (-1)^(n-1)/n * sin(mx) *
sin(nx)} <--- (A)
∫[-π〜π] {x^2/4} dx
= ∫[-π〜π] {Σ[m=1,∞ & n=1,∞] {(-1)^(m-1)/m * (-1)^(n-1)/n * sin(mx) *
sin(nx)}} dx
右辺 = ∫[-π〜π] {Σ[m=1,∞ & n=1,∞] {(-1)^(m-1)/m * (-1)^(n-1)/n * sin(mx) *
sin(nx)}} dx
= Σ[m=1,∞ & n=1,∞] {(-1)^(m-1)/m * (-1)^(n-1)/n * ∫[-π〜π] sin(mx)sin(nx)
dx} <--- (B)
= Σ[n=1,∞] {(-1)^(n-1)/n *
(-1)^(n-1)/n * π} <--- (1)
= π * Σ[n=1,∞] 1/n^2
左辺 = ∫[-π〜π] {x^2/4} dx
= [x^3/12][-π〜π]
= π^3/6
そこで,
Σ[n=1,∞] 1/n^2 = π^2/6
になります。
(感想)
Σ[n=1,∞] 1/n^2 = ζ(2) ですね。簡単に証明できてしまうのには驚きでした。
また,(A)は無限和が絶対収束するときに,(B)は無限和が一様収束するときに成立し,
フーリエ級数ではこれらがいえる,のでした。
大学の授業で習いましたが,証明までは忘れてしまいました。時間を見つけて復習しておきます。
なお,[フーリエ級数(1)]とあるので,次回辺りは,[フーリエ級数(2)]?
さらに、,ζ(2)が簡単に求まってしまうのには驚きでした。>
NO2「bear56」 09/23 21時17分受信
NO2「bear56」 09/24 13時44分受信
NO2「bear56」
09/24 17時00分受信 更新10/14
<コメント:フーリエ級数(1)について.難しく考える必要は無かったようです.
やってみたら出来ました.今回は,テキスト文字だけでの表現がきついので,
LaTeXを使って,PDF出力しました.ソースと共に添付致します.>

\documentclass[a4paper,fleqn]{jsarticle}
\usepackage{amsmath,amssymb}
\usepackage{type1cm}
\usepackage{txfonts}
\usepackage{euler}
\usepackage[T1]{fontenc}
\usepackage{textcomp}
\pagestyle{empty}
\begin{document}
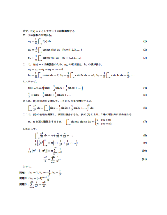
まず,$f(x)=x$としてフーリエ級数展開する.
フーリエ係数の公式から,
\begin{equation}
a_0 = \frac{1}{\pi} \int_{-\pi}^{\pi}
f(x) \ dx
\end{equation}
\begin{equation}
a_n = \frac{1}{\pi} \int_{-\pi}^{\pi} \cos nx \ f(x) \ dx \quad (n = 1, 2,
3, \dots)
\end{equation}
\begin{equation}
b_n = \frac{1}{\pi} \int_{-\pi}^{\pi} \sin nx \ f(x) \
dx \quad (n = 1, 2, 3, \dots)
\end{equation}
ここで,$f(x)=x$は奇関数のため,$a_n$の項は消え,$b_n$の項が残り,
\begin{gather*}
a_0 = a_1 = a_2 = a_3 = \dots = 0 \\
b_1 = \frac{1}{\pi} \int_{-\pi}^{\pi}
x \sin x \ dx = 2, \
b_2 = \frac{1}{\pi} \int_{-\pi}^{\pi}
x \sin 2x \ dx = -1, \
b_3 = \frac{1}{\pi} \int_{-\pi}^{\pi}
x \sin 3x \ dx = \frac{2}{3},
\
\dots .
\end{gather*}
したがって,
\begin{gather}
f(x) = x = 2 \left( \sin x - \frac{1}{2} \sin 2x + \frac{1}{3} \sin 3x + \dots \right) \\
\frac{x}{2} = \sin x - \frac{1}{2}
\sin 2x + \frac{1}{3} \sin 3x + \dots \label{eq:fsx}
\end{gather}
さらに,\eqref{eq:fsx}の両辺を2乗して,$-\pi$ から $\pi$ まで積分すると,
\begin{equation}
\int_{-\pi}^{\pi} \frac{x^2}{2^2}\
dx
= \int_{-\pi}^{\pi} \left( \sin x - \frac{1}{2} \sin 2x + \frac{1}{3}
\sin 3x + \dots \right)^2 dx \label{eq:square}
\end{equation}
ここで,\eqref{eq:square}の右辺を展開し,項別に積分すると,次式\eqref{eq:sinmxsinnx}により,2乗の項以外は消去される.
\begin{equation}
\text{$m$,$n$を正の整数とするとき,} \quad
\int_{-\pi}^{\pi} \sin mx \
\sin nx \ dx =
\begin{cases}
0 & (m \neq n) \\
\pi & (m = n)
\end{cases} \label{eq:sinmxsinnx}
\end{equation}
したがって,
\begin{align}
\int_{-\pi}^{\pi}\frac{x^2}{2^2}\
dx &= \pi + \frac{\pi}{2^2}
+ \frac{\pi}{3^2} + \dots \\
\frac{1}{4} \left[ \frac{1}{3}
x^3 \right]_{-\pi}^{\pi} &= \pi \left( 1 + \frac{1}{2^2}
+ \frac{1}{3^2} + \dots \right) \\
\frac{1}{12} \left[ \pi^3 - \left( -\pi^3 \right)
\right] &= \pi \sum_{n=1}^{\infty} \frac{1}{n^2} \\
\frac{\pi^2}{6} &= \sum_{n=1}^{\infty} \frac{1}{n^2}.
\end{align}
よって,
\begin{enumerate}
\item[問題1] : $\displaystyle
b_1 = 1, \ b_2 = -\frac{1}{2}, \ b_3 = \frac{1}{3}.$
\item[問題2] : $\displaystyle b_n = (-1)^{n-1}\frac{1}{n}.$
\item[問題3] : $\displaystyle
\sum_{n=1}^{\infty} \frac{1}{n^2}
= \frac{\pi^2}{6}.$
\end{enumerate}
\end{document}
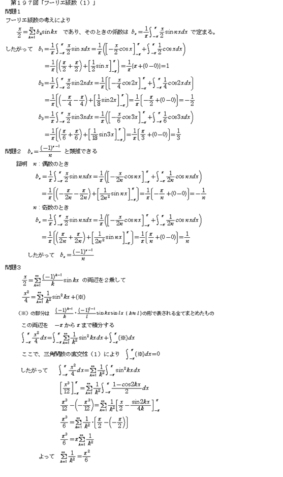
NO3「ぐーてん」09/27 13時39分受信 更新10/14
問題1
@式の両辺にsin
x,sin
2x,sin
3xをかけ,それぞれ‐pからpまで積分すると,

右辺に公式(1)を適用するとそれぞれ2乗の項だけのこり,
となる.よって,
.
問題2
同様に@式の両辺にsin
nxをかけ‐pからpまで積分して整理すると,

問題3
@式を書き直すと,
.
これを2乗して積分すると,
.
公式(1)より右辺のn≠mの項は消えて2乗の項だけのこり,
となる.
したがって,
.
<コメント:お言葉に甘えて,無限和の収束性について完全無視ですが,ちゃんとやろうとすると難しいんでしょうね.
答え合わせに公式集を見ましたが,こっこれが,ゼータ関数というやつなんですね!?>
NO4「Toru」 09/28 16時48分受信 更新10/14
問題1
両辺にsin xをかけて −π〜πまで積分して、(1)を利用すると右辺は第一項以外は0
となり第一項はπb1より
(右辺)=πb1
(左辺)=・(−π〜π) x sinx dx =[-
x cos x]+・cosx dx=π
よって b1=1
同様にsin 2x をかけて積分すると
(右辺)=πb2
(左辺)=[-x cos2x/2]+・cos2x/2 dx= -π/2
よりb2=-1/2
同様にsin 3x をかけて積分すると
(右辺)=πb3
(左辺)=[-x cos3x/3]+・cos3x/3dx= π/3
よりb3=1/3
問題2 問題1よりbn=(-1)^(n-1)/n と考えられる。
実際sin nxをかけて積分すれば
(右辺)=πbn
(左辺)=[-x cosnx/n]+・cosnx/n dx= (-cosnπ)π/n=(-1)^(n-1) /n
問題3
?の両辺を二乗すると右辺の各項は(1)のような形になるが、これを積分すれば各項
を二乗したものだけが残り
(右辺)=π(b1^2+b2^2+b3^2+--------)=πΣ1/n^2
(左辺)=・(-π〜π) (x/2)^2 dx =[x^3/12] -π〜π)=π^3 /6
これからΣ1/ n^2=π^2 / 6
<コメント: 無限級数の項別積分やら、積やら、証明なしでよいということですがやっぱり気に
なりますね。また勉強してみようと思います。
zeta(2)の和については、f(x)=x^2(0≦x≦π)をフーリエ展開して、x=πと置く
方法も本で見た覚えがあります。>
NO5「新俳人澄朝」10/2 17時41分受信 更新10/14
<コメント:第197回問題ですが、問題1から分かりませんでした。数値代入等いろいろやったつもりですが、b1だけが得られる変形を思い付きませんでした。そこで、フーリエ級数の決定事実を持ち出し、逆に問題1を考えてしまいました。問題2の設定(推測)によりこれは、違うと思いながらの解答です。>
NO6「kasama」
10/11 01時42分受信 更新10/14
<コメント:今回はフーリエ級数の問題ですね。フーリエ級数は学生時代にスペクトル解析で習った覚えがありますが、ほとんど忘れていました。昔のテキストを見ながらやりました。
無限和と積分の交換は確か無限和が一様収束することが条件だった気がしますがよく覚えていません。
|
問題1 順次フーリエ係数を求めると、次のようになります。 |
|
問題2 前問より、(-1)n+1/nと推測できます。実際にやってみると、次のようになります。 |
|
問題3 題意により@を2乗すると、 |
NO7「kashiwagi」10/11 09時01分受信 更新10/14
<コメント:小職の大好きであ ったフーリエ級数の問題で、学生時代を懐かしみながら解かせて頂きました。 少々簡略説明ですが・・・>
197回問題
問1.式@の両辺に
を掛け、-π〜πまで積分する。
![]()

左辺は部分積分し、右辺は三角関数の直交性(1)を適用し計算すると、π=π
となり、
=1である。
あとは全く同様に
等を両辺に掛けて積分を行うと、
、![]()
問2. 類推して
となる。
問3.上記より、
であるから、両辺を平方し-π〜πまで積分する。
![]()

であるから、
が求めるものである。
![]()