平成19年12月16日
[流れ星]
第200回数学的な応募問題解答
<解答募集期間:11月25日〜12月16日
[AP:PBは何]
皆さん、1980年の福井医科大学の入試問題です。大変興味を持ちましたから紹介します。
ただし、一部改題してあります。
問題:凾`BCにおいて、辺AB上の点Pを通り辺BCに平行な直線と辺ACと交点をQとする。
また、線分PCとQBとの交点をRとする。凾oQRの面積を最大にするように
線分の比AP:PBを定めよ。

NO1「uchinyan」11/25 13時38分受信 更新12/16
第200回数学的な応募問題
[AP:PBは何]
AP:PB = 1:x,x > 0 とおきます。
PQ//BC より,AQ:QC = AP:PB = 1:x,AP:AB = AQ:AC = PQ:BC =
1:(1+x) です。
また,PQ//BC より ∠RPQ = ∠RCB,∠RQP = ∠RBC なので △RPQ ∽ △RCB となり,
QR:RB = PQ:BC = 1:(1+x),QR:QB = 1:(x+2) です。そこで,
△PQR
= QR/QB * △PQB = QR/QB * PB/AB * △ABQ = QR/QB * PB/AB * AQ/AC * △ABC
= 1/(x+2) * x/(x+1) * 1/(x+1) * △ABC
= x/{(x+1)^2 * (x+2)} * △ABC
ここで,△ABC は一定なので,f(x) =
x/{(x+1)^2 * (x+2)} を x > 0 で最大にすればいいです。
f(x) = x/{(x+1)^2 * (x+2)} = x/(x^3 + 4x^2 + 5x + 2)
f'(x) = {(x^3 + 4x^2 + 5x + 2) - x(3x^2 + 8x + 5)}/(x^3 + 4x^2 + 5x + 2)^2
= (-2x^3 - 4x^2 + 2)/(x^3 + 4x^2 + 5x + 2)^2
= (-2) * (x^3 + 2x^2 - 1)/(x^3 + 4x^2 + 5x + 2)^2
= (-2) * (x + 1)(x^2 + x - 1)/(x^3 + 4x^2 + 5x + 2)^2
= (-2) * (x + 1)(x + (1 + sqrt(5))/2))(x - (-1 + sqrt(5))/2)/(x^3 + 4x^2 + 5x + 2)^2
そこで,x > 0 で,x = (- 1 + sqrt(5))/2 において極大かつ最大となります。
以上より,△PQR が最大になるのは,
AP:PB = 1:(- 1 + sqrt(5))/2 = (1 + sqrt(5))/2:1
です。
(感想)
解法としては以上ですが,結果は,黄金比ですね。美しい結果です。
うーむ。こんな所に現れるとは...
NO2「新俳人澄朝」11/25
21時11分受信 更新12/16

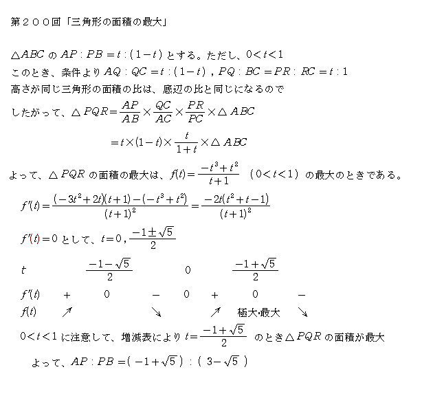
NO3「MK」 11/26 21時47分受信
「MK」 11/28 18時50分受信
「MK」 11/29 23時03分受信 更新12/16
解答
AP:PB=t:(1−t)とおく ただし、0<t<1
また、△ABCの底辺BC=a、高さ=bとおくと、
PQ=ta △PQRの高さh=t(1−t)b/(1+t)
と表すことができる。(△PQRと△BCRの相似比がt:1より)
よって、求める面積
S=(ab/2)×t2(1−t)/(1+t)
このときのSが最大となるtを求めればよい。
f(t)= t2(1−t)/(1+t) とおく。
f’(t)=−2t(t2+t−1)/(1+t2)=0 (0<t<1)をとくと
t=(−1+√5)/2 のとき最大となる。
よって、AP:PB=(−1+√5):(3−√5)
NO4「kashiwagi」11/27 08時07分受信
<コメント>お世話になります。まず最初に200回記念おめでとうございます。一口に200回といっても毎月1問として16年もかかるのですね・・・・。いやはやもの凄いことですね。毎回々問題を 作るだけでも大変なのによくぞ200回もと驚嘆致します。
思い出せば、ひょんなことで先生のこのコーナーを知ったのが2001年の7月の78回ですから 小職でも122回、即ち6年半位お付き合いさせて頂いているのですね。うーんー・・・・。
今後とも健康に留意され300回を目指して頑張って頂ければと思います。兎も角、硬くなりそうな 頭脳のソフト化に役立っております。ご指導の程宜しくお願い申し上げます。
それでは最後に、 !!!!!! フレー、フレー、水流 !!!!!!
<水の流れ:kashiwagiさんには、本当にお世話になっています。深く感謝します。お互いに健康でいたいです。>
「kashiwagi」12/03 07時46分受信 更新12/16
200回問題
題意に沿ってAP:PBをm:1-mと置くと、△APQ∽△ABC=m:1、△PQR∽△CBR=m:1であるから、
△ABCの面積をS0とすると、△APQの面積はm2S0となる。
今、△ABCの高さをHとすると、相似比より△PQRの高さはm(1-m)/(1+m)となる。
因って、△PQR=F=m2(1-m)S0/(1+m)となる。
この式をmで微分すると、
F‘=-2m(m2+m-1)/(m+1)2 であるから、方程式-2m(m2+m-1)=0を解いて、
m=(−1-√5)/2、0、(−1+√5)/2を得る。即ち、これらの値で極値をとり、mは正数であるから0と(−1+√5)/2を代入して増減を確認すると、m=(−1+√5)/2でFは最大値をとることが分かる。
以上より求める比は、AP:PB =m:1-m =(−1+√5)/2 :(3-√5)/2 =(√5+1)/2:1である。即ち黄金比である。
<コメント:それにしても、この問題は面白いですね・・・・、うーんー、こんなところにも黄金比が 使われるのですね。>
NO5「Toru」 11/29 14時16分受信 更新12/16
ARとPQ、BC の交点をD,E
PQ/BC=xとすると
DE/AE=1-x , DR/DE=x/(1+x)より DR/AE=x(1-x)/(1+x)
よって
ΔPQR/ΔABC=PQ・DR/BC・AE=x^2(1-x)/(1+x)
F(x)= x^2(1-x)/(1+x)とすると
F’(x)=-2x(x^2+x-1)/(1+x)^2
F’(x)=0とすると0<x<1よりx=(-1+√5)/2
この時F(x)は最大となる。
この時AP:PB=x:1-x=(1+√5)/2
と普通に解いてみて、黄金分割になっていることに気づきましたが、なんでだろう?
NO6「ぐーてん」11/29
16時09分受信 更新12/16
、
、
とおくと、
|
x |
0 |
‥ |
|
‥ |
1 |
|
|
2 |
+ |
0 |
− |
|
S |
0 |
/ |
極大 |
\ |
0 |

![]()
のとき、![]()
でSの増減は上表のとおり。
従ってSは
のとき最大値をとり、
このとき、
(黄金比)
<コメント:うーん、やはり黄金比でしたか。>
NO7「kasama」 12/05 00時30分受信
更新12/16
<コメント:遂に200回目になりましたね。おめでとうございます。HPを運営するだけでも大変なのに、200題も問題を出題し、転送されてくる解答を整理してアップするのはかなりの動力が要ると思います。一時だけなら張り切って取り組めますが、長年継続するのは並大抵のことではありません。本当に頭が下がる思いです。どうか、これからも頑張って下さい。
さて、今回の問題ですが、あまりよい方法を思いつきませんでした。月並みですが、ひとまず解答をお送りします。別の方法を思いついたら、またお知らせします。>

△ABCの高さをh、BCの長さをa、AP:BP=t:1-tとします。△ABC∽△APQなので、△APQの底辺PQは、
PQ=ta…(1)です。また、△APQの高さはhtなので、台形BCQPの高さは(1-t)hです。さらに、△PQR∽△BCRで辺の比はta:a=t:1なので、△PQRの高さは、(1-t)h×t/(1+t)…(2)です。(1)(2)式より、△PQRの面積Sは、
S=at×(1-t)h×t/(1+t)/2=aht2(1-t)/{2(1+t)}です。tで微分して0とおくと、
S'=0 ⇒ -aht(t2+t-1)/(t2+2t+1)=0 ⇒
t=(√5-1)/2(∵t>0)
ですが、さらにtで微分して、S''=-ah(t3+3t2+3t-1)/(t3+3t2+3t+1)
これに、t=(√5-1)/2を代入すると、
S''((√5-1)/2)=ah(2√5-5)<0ですから、Sはt=(√5-1)/2で最大となります。よって、
AP:PB=t:1-t=1+√5:2
となります。
NO8「bear56」 12/05 06時50分受信 更新12/16
<コメント:相似三角形の面積の比から求めてみました.黄金比です.
厳密に検証するため,90年代に使っていたフィールドテスト版2次元CADを発掘するところまでやってしまいました.これを使って作図しました.自宅でCADを使うのは,久しぶりです>
「bear56」 12/05 21時35分受信 更新12/16
<コメント:問題が面積の最大値だったので,微分が絡むことが想像できて,最初,座標から面積の式を出しました.そこで,作図の問題でいきなり座標を出すのはいかがなものかと思ってしまい,相似三角形に切り換えました.
結局,同じBCとPQとの距離の式になるのですが...そこで初めて微分を行いました.
√5が出てきて,やっとピンと来ました.
最初の段階で微分してれば,CADを使ってまで作図はしてませんでした.w
でも,この結果だけでは作図できないんですよね.送付した解答の右図に行き着く過程が必要なんですよね.
数学史の文献を見れば出てくるかと思われるので,手を着けていません.w>
![]()