平成20年1月27日

[流れ星]

   第202回数学的な応募問題解答

      <解答募集期間:1月6日〜1月27日

トリチェリの問題

皆さん、パズルでひらめく補助線の幾何学(中村義作著)「講談社」を読んでいたところ、
次のような問題を見つけたので、
参考にして問題を作りました。

 

イタリアの物理学者で、ガリレオ・ガリレイの弟子だったトリチェリ(1608から1647)は幾何学者
としても有名であったことをご存知でしたか。フランスの代数学者フェルマーはトリチェリに
「三角形の各頂点からの和が最小になる点を求めよ」という問題を出したことがあり、
以後これをトリチェリの問題と読ばれています。ここからが、問題です。

 

三角形ABCがある。この内部に点Pをとって、点Pと3つの頂点A,B,Cを図のように結びます。
このとき、距離の和PA+PB+PCを最小にする点をPとする。

ただし、三角形ABCが鈍角三角形の場合、鈍角の大きさは120度未満とする。

問題1:点Pをどこにとればよいでしょうか。

   ヒント:PA+PB+PCと同じ長さの折れ線を作るように、頂点Bを中心にして、三角形APB
を60度回転させてください。もちろん、他の解法もあります。

 

問題2:3つの頂点の座標をA(a,b)、B(0,0)、C(c、0)としたとき、
PA+PB+PCの最小値をa、b、cで表せ。

 

問題3:点Pから3辺へ垂線を下ろしたときの足を図のように、D、E,Fとしたとき、

    垂足三角形DEFが正三角形になるとあるサイトに書いてありました。その証明が分かりません
教えてください。

                

<水の流れ:問題3に関して、△DEF正三角形にならないのではないかと、指摘があり、

私自身も間違っているのではないかと、思い始めました。そこで、7日午後10時に修正します。>

 ペンネーム 新俳人澄朝さんからの改題です。

「各頂点を通りPAPBPCにそれぞれ垂直な3直線の交点からできる三角形が正三角形であることを証明せよ」

 

 

さらに、

問題4:1辺の長さが10cmである正方形ABCDがる。4頂点に至る距離の和が最小になるような経路
を図で示してください。また、その最小値を求めてください。

 

研究:三角形ABCが鈍角三角形で、鈍角の大きさが120度以上のとき、
PA+PB+PCが最小となる点Pはその鈍角である頂点になります。

<水の流れ:問題3に関してあるサイトは下記のことです
http://ja.wikipedia.org/wiki/%E3%83%95%E3%82%A7%E3%83%AB%E3%83%9E%E3%83%BC%E7%82%B9

 さらに、実は、すでに私のサイトに以前から載せてあります。
http://www2.ocn.ne.jp/~mizuryu/jyugyo/kenkyu2.html > 

 

NO1「uchinyan 1/06 1714分受信 更新1/27

<コメント:第202回数学的な応募問題への解答?を送ります。「?」が付いてしまったのは,
・問題3:が成立しないように思う。
・問題4:の論証がうまくいかない。などのためです。
特に,問題3:は成立するのでしょうか?
全くの勘違いかもしれません。そうならば,ご指摘頂けると幸いです。>

<水の流れ:そうですか。考えてみます。ご迷惑をおかけしました。>

第202回数学的な応募問題
[トリチェリの問題]

今回の問題は,第161回の問題の応用でしょうか?
<水の流れ:そうです。一般の場合にしてあります。>


問題1:(第161回のときの解答と同じです。)
ABC に対して、∠APB = BPC = CPA = 120度,となる点 P が答え。
 
証明は,△APB B を中心に60度反時計回りに回転して,A, P の移動先を D, Q とします。
DAB は正三角形で,D は,△ABC が決定すれば決定する固定された点です。
また,∠ABC < 120度なので,D は,BC 及びその延長に関して,A と同じ側にあります。
回転の性質から,△APB ≡ △DQB なので,PA = DQ,また △BPQ は正三角形になり,PB = BQ = QP です。
つまり,PA + PB + PC = DQ + QP + PC となり,D C とを結ぶ直線が最小です。
この最小のとき,点 Q, P DC 上に,△APB ≡ △DQB となるようにとれば,
DBA = 60度なので,△APB 60度回転したものが △DQB となっており,
QBP = 60度で,△BPQ が正三角形になり,∠APB = DQB = 120度,∠BPC = 120度 です。
そこで,さらに,∠CPA = 120度 がいえます。

問題2:
問題1:から明らかなように,PA + PB + PC の最小は,DC に等しくなります。
これを求めるには,△DBC に余弦定理を使って,
DC~2 = BD^2 + BC^2 - 2 * BD * BC * cos(60 +
ABC)
A(a,b), B(0,0), C(c,0)
なので(ただし,a, b, c > 0 とします。こうしても図形的に一般性を失いません。)
BD^2 = AB^2 = a^2 + b^2
BC^2 = c^2
cos(
ABC) = (BA^2 + BC^2 - AC^2)/(2 * BA * BC)
= (a^2 + b^2 + c^2 - (a - c)^2 - b^2)/(2 * BD * BC)
= ac/(BD * BC)
sin(
ABC) = sqrt(1 - (cos(ABC))^2)
= sqrt(1 - (ac/(BD * BC))^2)
= sqrt(BD^2 * BC^2 - a^2 * c^2)/(BD * BC)
= sqrt((a^2 + b^2) * c^2 - a^2 * c^2)/(BD * BC)
= sqrt(b^2 * c^2)/(BD * BC)
= bc/(BD * BC)
BD * BC * cos(60 +
ABC) = BD * BC * (cos(60)cos(ABC) - sin(60)sin(ABC))
= ac/2 - bc * sqrt(3)/2
= (ac - bc * sqrt(3))/2
そこで,
DC^2 = a^2 + b^2 + c^2 - (ac - bc * sqrt(3))
PA + PB + PC
の最小値 = DC = sqrt(a^2 + b^2 + c^2 - ac + bc * sqrt(3))

問題3:
これは,何かおかしくないでしょうか?
BC
PDCAPEABPF なので,□PDCE,□PEAF,□PFBD はそれぞれ円に内接します。
そこで,例えば,∠PED = PCD,∠PFD = PBD です。
問題1:より,P は,∠BPC = 120度 なので,∠PCD + PBD = 180 - 120 = 60度 で,∠PED + PFD = 60度 です。
ここで,□AFDE において,∠EAF + AFD + FDE + DEA = 360度 ですが,
AFD = PFA + PFD = 90 + PFD,∠DEA = PEA + PED = 90 + PED なので,
EAF + FDE + 180 + PFD + PED = 360
EAF + FDE + 180 + 60 = 360
EAF + FDE = 120
したがって,△DEF が正三角形になるためには,∠FDE = 60度 ですが,∠EAF = 60度 でなければなりません。
全く同様にして,結局,△DEF が正三角形になるには,△ABC が正三角形になることが必要になります。
一般の △ABC では,題意は成立しないと思われます。

問題4:
いま一つ論証がうまくいかないのですが,半ば直感で,次のように考えられます (^^;
正方形の各頂点を反時計回りに A, B, C, D とし,対角線の交点を O とします。
OAB を考えると,O, A, B からの距離の和が最小になる点 P は,問題1:より,∠APB = BPO = OPA = 120度 となる点です。
OCD を考えると,O, C, D からの距離の和が最小になる点 Q は,問題1:より,∠CQD = DQO = OQC = 120度 となる点です。
そこで,対称性も考慮すると,この P Q とを結んだ経路が最小になると思われます。
このとき,AB = 10 cm として,
経路の長さ = 10/2 * 1/sqrt(3) * 2 * 4 + 10 - 10/2 * 1/sqrt(3) * 2
= 10 + 10 * sqrt(3)
= (1 * sqrt(3)) * 10 cm


(
考察+感想)
問題3:が分かりません。成立しないように思いますが,どうなのでしょうか?
また,問題4:の論証がうまくいかないです...
なお,120度以上の場合の研究は,∠ABC >= 120 とすると,DC BC 上又は △ABC の外側に出てしまうので,
明らかか,だと思います。

 

uchinyan 1/08 1134分受信 更新1/27

第202回数学的な応募問題
[トリチェリの問題]

改題の問題:
これはほとんど明らかでしょう。
頂点 A を通って PA に垂直な直線と,B を通って PB に垂直な直線の交点を改めて D
頂点 B を通って PB に垂直な直線と,C を通って PC に垂直な直線の交点を改めて E
頂点 C を通って PC に垂直な直線と,A を通って PA に垂直な直線の交点を改めて F
とします。すると
ADBP で,∠PAD = PBD = 90度,∠APB = 120度 なので,∠ADB = 360 - 90 - 90 - 120 = 60度,
BECP で,∠PBE = PCE = 90度,∠BPC = 120度 なので,∠BEC = 360 - 90 - 90 - 120 = 60度,
CFAP で,∠PCF = PAF = 90度,∠CPA = 120度 なので,∠CFA = 360 - 90 - 90 - 120 = 60度,
となり,明らかに,△DEF は正三角形です。

NO2「新俳人澄朝」1/7 1329分受信 更新1/27

<コメント:今回の「トリチェリの問題」ですが、問題3の内容は、出題ミスではないかと思います。御一考をお願いします。
私の数学ソフトスタディエイド(数研)で作図すると、問題の設定では正三角形にはなりません。
私の問題4の解答は、やや強引なところができてしまいましたが、問題3の結果と合わせて再考する予定です。またご連絡ください。
<水の流れ:問題3は大変ご迷惑をおかけしました。早速修正します>

  

NO3「ぐーてん」 1/09 1706分受信 更新1/27

<コメント:図を多用したため、答案が大きくなってしまいました。板汚しにならなければと思います。
問題1の解法は常人には思いつかない方法で感銘を受けました。
この問題を解析的に解こうとするとめちゃめちゃ大変ですよね。
問題4は有名な問題なので答えは分かっていましたが、証明は大変で、きちんと書くと膨大な答案になりそうなので、>

いろいろ考えた結果、ちょっといんちきっぽい解答になってしまいました。

問題1

図1                                             図2

図1のように,△APBBを中心に60°回転させ,△A1P1Bとする.

PBP160°,PBP1Bより,△PP1Bは正三角形であり,PP1PB

また,PAP1A1より,PAPBPCの長さは,折れ線A1P1PCの長さに等しい.

折れ線A1P1PCの長さを最短にするためには,図2のように直線A1C上にPP1をとればよく,このとき,∠APB=∠A1P1B120°である.

同様に考えて∠BPC=∠CPA120°となる.

従って,P3頂点ABCとのなす角が120°となるようにとったときPAPBPCの長さは最短となる.

問題2

A1 (a1, b1) とおくと,

よって,

問題3

図のように,題意の三角形の頂点をDEFとおくと,

BDP+BPD=CDP+CPD=90°,∠BPD+CPD=120°より,

D=BDP+CDP=(BDP+BPD)+(CDP+CPD)(BPD+CPD )=60°

同様にして∠E=F=60°となるので,△DEFは正三角形.

問題4

図に考えられる全てのパターンの4点の結び方を記した.Aは左右の辺上の任意の2点を結んだ場合,
Cは左右の辺上の2点を任意の高さで水平に結んだ場合,Fは正方形内部の任意の1点で4頂点を結んだ場合,
Hは正方形内部の任意の2点を中継点として結んだ場合,IはHの中継点と左右の位置は等しく,高さを1/2の位置に取って結んだ場合,
Eは線分同士のなす角が全て120°となるように2点を中継点として結んだ場合を表す.

@>A>B=C=D,F>Gは明らか.H>Iは,反射の原理より高さ1/2の位置に中継点をとった場合に頂点からの距離の和が最小になり,中継点間の距離も水平の方が小さいことより示される.

さらに,問題1の解より,D>E,G>E,I>Eが示される.

「ぐーてん」 1/16 1508分受信 更新1/27

<コメント:頂いたメールにあった水流さんの過去のページを拝見させていただき、
正五角形、正六角形、ついでに正七角形についても考えてみました
。>

まず、120°の中継点でつないだ図を作図してみました。(添付図)
正五角形はちょっと悩みましたが、分かれば作図は簡単でした。正六角形は簡単に作図できました。
正七角形は、正七角形を描く事自体が難しいです。アルキメデスには多分できなかったのでしょうが、
そこは文明の利器CADを使えば円を7分割するなんてことは朝飯前で、それで描いちゃいました。
しかしそこから120°中継点を描いていくのは困難を極めました。
結局、微調整をしながら描き直す方法で、なんとか最大角度誤差13’(=13/60°)の精度まで求めた結果が添付図です。

ところが、そこで長さを実際に測ってみる(CADでは簡単)と60を超えています。ということは、辺で結んだほうが短いのです。えー!
急いで正六角形の場合も長さを求めてみる(今度は計算で)と、やはり50を微妙に上回っている。なんと!
正五角形の場合をCADで測ってみるとなんとか40を若干下回っていました。

ということで証明はしていませんが結論、正五角形までは120°中継点で結ぶのが最短、正六角形以上は辺で結ぶのが最短だと思われます。

NO4「三角定規」 1/14 1715分受信 更新1/27

<コメント:問題202の解答,およびやや拡張した考察を送ります。小問の誘導に従った解ではありませんが,ご容赦ください。
この問題,以前水の流れさんにご教示いただいたのですが,全体像を理解することができないまま棚上げになっておりました。

今般,『なぜ初等幾何は美しいか』(東京出版) を参考にすることで,ようやく全体像を理解することができました。

PAPBPC が平面を 120°ずつに切り分ける点であることに,神秘性を感じます。初等幾何での証明でも十分納得できるのですが,
微分を用い gradf(x)0 を導いたとき,それが揺るぎない裏付けになったと思いました。

さらに,この方法を用いることで,空間内の4点の場合や,平面上の四辺形の場合にも応用できるようになります。

拡張した考察の方は,例外的なケースまで含めた完璧なものではありませんが,大きな道筋を与えるものだと思います。

 

《問題202》解答 <三角定規>

 △ABC3頂点ABCの位置ベクトルを a(a 1a 2)b(b1b 2)c(c1c2) とし,

   関数 f (x)| xa | | xb | | xc |  ……(1)

の最小値を与える x(xy ) を求める。

xx0 (x0y0) (1)の最小値を与えるとき, 

 

  または x0 a または x0 b ,または x0 c ……(3)

 (3)が成り立つのは,∠A,∠B,∠C のいずれかが120°以上の場合である。

 (2)が成り立つとき,x0 a b c であり,

 

 

 

 

 

 

 

 

 

 

 

 

 

 

であるから,

 

 

 

 

 

 

 

 

 

 

 

平行でない3つの単位ベクトルの和が0となるのは,右図のように,          

3 つが正三角形の3辺をなす場合で,互いがなす角度は120°である。

 よって,本問の解は,

(@) 例えば∠A120°以上のときは,点A

(A) 3つの内角がすべて120°未満のときは,

  △ABC内に1Pをとり,3線分PAPBPCがそれぞれ120°をなすようにする。

  具体的には,点A’をBCについてAと反対側に △ACB が正三角形になるようにとる。同様に,点B’をCAについてBと反対側にBCA が正三角形になるように,点C’をABについてCと反対側に CBA が正三角形になるようにとる。3線分AA’,BB’,

CC’は1点で交わる。それが求める点Pである。

 

 

 

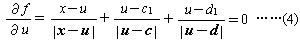
 《拡張1》微分によるこの解法は,次のような拡張の可能性を秘めている。



 

四面体ABCD内に点Pをとり,距離の和
PA
PBPCPD
が最小になるようなPの位置を求める。

<>

 ABCDPの位置ベクトルをabcdx とすると,

   f (x)| xa | | xb | | xc | | xd | (1)

x(1)の最小値を与える点であるとき,

 

 

 

 

 

 

 

平行でない4つの単位ベクトルの和が0となるのは,4つが,正四面体の重心(中心)から4頂点に向かう

場合である。4つのベクトルはすべて互いに

  の角度をなす。  以上 ■  

 

 

この解は,最小値を与えるxの性格は与えているが,平面の場合の <2> のような,点の位置を決定する方法を与えていない。
いろいろ考えてはみたが,簡単ではないようである。どなたか,この方法を与えてくださらないだろうか。

 

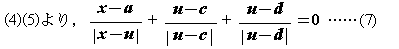
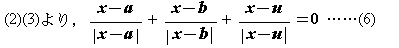
《拡張2》

 平面上の四辺形ABCD内に2PQをとり4点に至る距離の和
    PAPBPQQCQD または,PAPDPQQBQC
が最小になるようなPQの位置を求める。

 

 ABCDの位置ベクトルをabcdPQの位置ベクトルをx(xy)u(uv) とすると,

f (xu)| xa | | xb | | xu | | uc | | ud | (1)

 

 xu (1)の最小値を与えるとき,

               

 

 

 

 

 

 

 

 

 

 

 

 

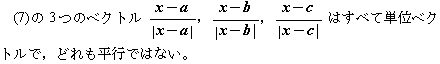
(6)(7)の左辺にある3つのベクトルはすべて単位ベクトルだから,その和が0になるのは,
それぞれが正三角形の3辺をなし互いに120°の角度をなす場合に限る。

 以上より,(1)の最小値を与えるPQは,次の方法で定められる。

() EAB,△FCDが正三角形になるように,EFを四辺形の外側にとる。

() EAB,△FCDの外接円をそれぞれ作図する。

() 直線EFとそれぞれの外接円の交点が求める2PQである。 <図5>

() ただし,全く同様にして <図6> のように定めたPQについて,
PA
PBPQQCQD と PAPDPQQBQC を比べ,小さい方が求める最小値である。

 

   

   

 

 

 

NO5「kasiwagi 1/26 0913分受信 更新1/27

<コメント:問題3.は失礼ですが、最初から嘘でしょうと思いました。と申しますのはABC が正三角形以外の場合は成立しないことを図で描いて計算し確かめましたので・・・・。 >

202回解答

トリチェリの問題問題1.

 うまく絵が描けないので、狡いのですが、ある文献のものを利用させて頂きます。

△ABCの各辺を一辺とする正三角形3個(水色のもの)を作る。

各々の正三角形の外接円を作る。これら3円の交点Pが求めるものです。

今、線分PA,PB及びPC各々に垂直な線を引き、これら3線分の各々の交点で出来る三角形をKLMとする。この三角形は円周各の定理より∠M=∠L=∠K=60℃であるから正三角形。

又、△ABCの中に点Qをとると、QA+QB+QCの値は点Qより正三角形KLMにおろした垂線の和以上に長いことが分かる。ところで正三角形KLMに点Qより下ろした垂線の長さの和はPA+PB+PCに等しい。以上より、PA+PB+PC≦QA+QB+QCとなり、点PがQA+QB+QCの最小値を与える点であることが証明された。

円周角の定理より∠APB=∠BPC=∠CPA=120°であるから、点Pは3頂点との間に120°の角度を有する点である。

問題2

座標幾何、余弦定理、ベクトル、複素数、直線式の交点の角度と勾配の関係及び面積など色々やったのですが、

もの凄い式になり全て途中で挫折しました。

問題3.

問題1.で証明済み。

問題4.

 これは水の流れから図を拝借して、右の様になります。

∠ACBが120°ですので2,1、√3の関係から、

その長さは10(√3+1)となる。

 

 

 

以   上.