平成20年3月30日

[流れ星]

     第205回数学的な応募問題解答

      <解答募集期間:3月9日〜3月30日

べータ関数

皆さん、過去の大学入試問題集(数研出版)を見ていると、べータ関数に関するものがあります。

そこで次の問題を紹介します。

<「uchinyan」からの指摘:最初の関数で単純ミスの指摘があり、訂正します。9日午後5時>

NO1uchinyan  3/09 1313分受信 更新3/30

第205回数学的な応募問題
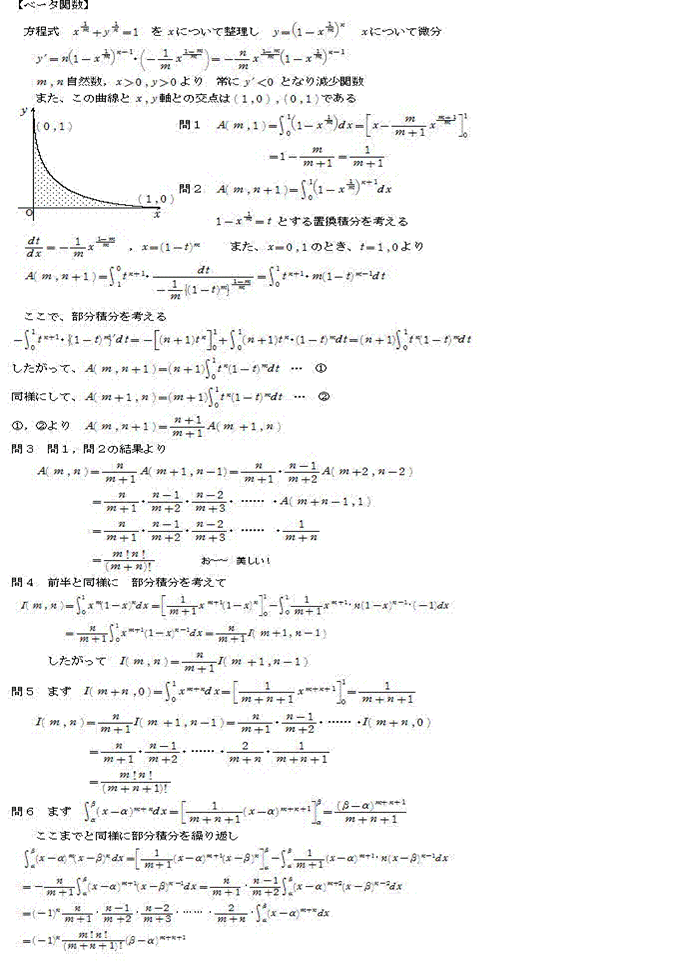
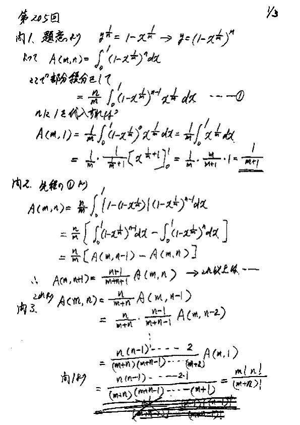
[べータ関数]

1 〜 問3
最初の式は,x^(1/m) + x^(1/n) = 1 ではなくて x^(1/m) + y^(1/n) = 1 ですね。そう思って解きます。
明らかに 0 <= x <= 1 で意味があり y = (1 - x^(1/m))^n なので,
A(m,n) = ∫[0<=x<=1]{(1 - x^(1/m))^n}dx
です。ここで,t = x^(1/m) とおくと,x = t^m, dx/dt = m * t^(m-1) なので,
A(m,n) = m * ∫[0<=t<=1]{t^(m-1) * (1-t)^n}dt
と書けます。以下,この式を使います。

1
A(m,1) = m * ∫[0<=t<=1]{t^(m-1)* (1-t)}dx = m * [t^m/m - t^(m+1)/(m+1)][t=0,1] = 1 - m/(m+1) = 1/(m+1)

2
A(m,n+1) = m * ∫[0<=t<=1]{t^(m-1) * (1-t))^(n+1)}dt = ∫[0<=t<=1]{(t^m)' * (1-t)^(n+1)}dt
= [t^m * (1-t)^(n+1)][t=0,1] - ∫[0<=t<=1]{t^m * (n+1) * (1-t)^n * (-1)}dt
= (n+1) * ∫[0<=t<=1]{t^m * (1-t)^n}dt
= (n+1)/(m+1) * (m+1) * ∫[0<=t<=1]{t^((m+1)-1) * (1-t)^n}dt
= (n+1)/(m+1) * A(m+1,n)

3
A(m,n) = n/(m+1) * A(m+1,n-1) = {n(n-1)}/{(m+1)(m+2)} * A(m+2,n-2) = ...
= {n*(n-1)*...*2}/{(m+1)*(m+2)*...*(m+n-1)} * A(m+n-1,1)
= {n*(n-1)*...*2}/{(m+1)*(m+2)*...*(m+n-1)} * 1/(m+n)
= {n*(n-1)*...*2}/{(m+1)*(m+2)*...*(m+n-1)*(m+n)}
= m!*n!/(m+n)!

4 〜 問6
I(m,n) = ∫[0<=x<=1]{x^m * (1-x)^n}dx

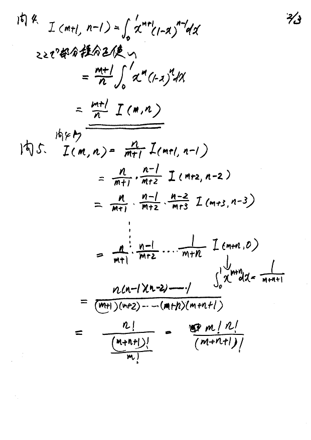
4
n >= 1
I(m,n) = ∫[0<=x<=1]{x^m * (1-x)^n}dx = ∫[0<=x<=1]{(x^(m+1)/(m+1))' * (1-x)^n}dx
= [x^(m+1)/(m+1) * (1-x)^n][x=0,1] - ∫[0<=x<=1]{x^(m+1)/(m+1) * n * (1-x)^(n-1) * (-1)}dx
= n/(m+1) * ∫[0<=x<=1]{x^(m+1) * (1-x)^(n-1)}dx
= n/(m+1) * I(m+1,n-1)

5
I(m,n) = n/(m+1) * I(m+1,n-1) = {n*(n-1)}/{(m+1)*(m+2)} * I(m+2,n-2)
= {n*(n-1)*...*2}/{(m+1)*(m+2)*...*(m+n)} * I(m+n,0)
ここで,
I(m+n,0) = ∫[0<=x<=1]{x^(m+n)}dx
= [x^(m+n+1)/(m+n+1)][x=0,1]
= 1/(m+n+1)
なので,
I(m,n) = {n*(n-1)*...*2}/{(m+1)*(m+2)*...*(m+n)} * 1/(m+n+1)
= {n*(n-1)*...*2}/{(m+1)*(m+2)*...*(m+n)*(m+n+1)}
= m!*n!/(m+n+1)!

6
I = ∫[α<=x<=β]{(x-α)^m * (x-β)^n}dx
t = x-α
とおくと
I = ∫[0<=t<=β-α]{t^m * (t-(β-α))^n}dt
s = t/(β-α)
とおくと
I = ∫[0<=s<=1]{((β-α)*s)^m * ((β-α)*s-(β-α))^n}(β-α)ds
= (β-α)^(m+n+1) * ∫[0<=s<=1]{s^m * (s-1)^n}ds
= (-1)^n * (β-α)^(m+n+1) * ∫[0<=s<=1]{s^m * (1-s)^n}ds
= (-1)^n * (β-α)^(m+n+1) * I(m,n)
= (-1)^n * (β-α)^(m+n+1) * m!*n!/(m+n+1)!

(
感想)
ベータ関数がガンマ関数で書け,ガンマ関数は引数が正の整数のときは階乗で書けることを知っていれば,
結果は自ずと分かりますね。

 

NO2「新俳人澄朝」3/11 1314分受信 更新3/30

<コメント:今回の問題も数V微積を思い出しながら楽しく解かせていただきました。問3の解答の綺麗さに感動しましたが、部分積分を単調に繰り返してしまい、エレガントな解答からは離れてしまいました。特に問6は問5の利用が ・・・ と思いましたが」断念!!  皆さんの解答で勉強します。

 

NO3kasama    3/23 2106分受信 更新3/30

「コメント:今回も面白い問題ですね。月並みですが、部分積分から漸化式に変形して、一般項を求めるアプローチで解いてみました。」

式を簡単に扱うため、x=um,y=vnと変数変換します。すると、

 

ですが、領域は、

 D:x1/m+y1/n≦1,0≦x≦1,0≦y≦1⇒D':u+v≦1,0≦u≦1,0≦v≦1

となります。よって、

 

です。

問1 (1)式でn=1とすると、

 

です。

問2 部分積分を用いて変形すると、

 

となります。

問3 (2)式を繰り返し適用すると、

 

となります。

問4 問2と同様に部分積分を用いて変形すると、

となります。

問5 (3)式を繰り返し適用すると、

 

となります。

問6 これまでの問を参考します。

 

として、式を変形すると、

となります。(4)式を繰り返し適用すると、

 

となります。

 

NO4yutarougon 3/25 1612分受信 更新3/30

問1  y=1-x^(1/m)を区間[0,1]で積分して、1/(m1)

 

NO5kashiwagi  3/28 2307分受信 更新3/30

「コメント:今回の問題は問2がどうしても変形できず・・・・・、その上
15日〜22日まで学会に出張しており、考えることを止めてしまいました。 しかし、後で気になり考えましたが、やはり駄目で・・・・・、本日が締め切り なので、時間も無く急遽スキャンしたものを送付致します」