平成20年10月26日
[流れ星]
第214回数学的な応募問題解答
<解答募集期間:10月5日〜10月26日
[極限値は?]

NO1「uchinyan」 10/05 13時10分受信
更新10/26
第214回数学的な応募問題
[極限値は?]
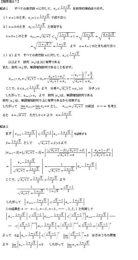
問題文にあるように,与えられた定理I又は定理IIを使うことを考えます。
a(n+1) = sqrt(a(n) + 1), n >= 1
a(1) = 1
まず明らかに(厳密には数学的帰納法),a(n) > 0 です。
これより,n >= 2 で,
a(n+1) - a(n) = sqrt(a(n) + 1) - sqrt(a(n-1) + 1)
= (a(n) - a(n-1))/(sqrt(a(n) + 1) + sqrt(a(n-1) + 1))
sqrt(a(n) + 1) + sqrt(a(n-1) + 1) > 0 なので,
a(n+1) - a(n) と a(n) - a(n-1) の正負0は同じです。このとき,
a(2) - a(1) = sqrt(1 + 1) - 1 = sqrt(2) - 1 > 0
なので,順次(厳密には数学的帰納法),
a(3) - a(2) > 0, a(4) - a(3) > 0, a(5) - a(4) > 0, ...,
a(n) - a(n-1) > 0, a(n+1) - a(n) > 0, ...
つまり,
a(1) < a(2) < a(3) < ... < a(n-1) < a(n) < a(n+1) < ...
となり,a(n) は単調増加数列です。
そこで,定理Iが使えそうです。上に有界かどうかを調べます。
a(n+1) - 2 = sqrt(a(n) + 1) - 2 = (a(n) - 3)/(sqrt(a(n) + 1) + 2)
sqrt(a(n) + 1) + 2 > 0 なので,
a(n+1) - 2 < (a(n) - 2)/(sqrt(a(n) + 1) + 2)
ここで,順次(厳密には数学的帰納法),
a(1) - 2 = 1 - 2 < 0
a(2) - 2 < (a(1) - 2)/(sqrt(a(1) + 1) + 2) < 0
a(3) - 2 < (a(2) - 2)/(sqrt(a(2) + 1) + 2) < 0
...
a(n-1) - 2 < (a(n-2) - 2)/(sqrt(a(n-2) + 1) + 2) < 0
a(n) - 2 < (a(n-1) - 2)/(sqrt(a(n-1) + 1) + 2) < 0
...
つまり,すべての n に対して
(0 <) a(n) < 2
で,上に有界です。
以上より。a(n) は定理Iの仮定を満たすので,定理Iが使えて収束します。
収束するならば,明らかに,
lim[n->∞]a(n) = lim[n->∞]a(n+1)
= x
となります。ただし,0 < a(n) < 2 なので,0 <= x <= 2 です。そして,
a(n+1) = sqrt(a(n) + 1)
lim[n->∞]a(n+1) = lim[n->∞]sqrt(a(n) + 1) = sqrt(lim[n->∞]a(n) + 1)
x = sqrt(x + 1)
x^2 = x + 1
x^2 - x - 1 = 0
x > 0 なので,
lim[n->∞]a(n) = x = (1 + sqrt(5))/2
になります。
(感想)
収束することが分かれば方程式の解として収束値が求まるという典型的な例ですね。
ただし,収束性を保証する定理I又は定理II自体の証明は,
実数の基礎的な性質を使い,大学の解析で習うことです。
今回は,今回も?,大学の教科書に譲っておきます。(復習しないと...(^^;)
NO2「新俳人澄朝」10/08 17時16分受信 更新10/26

NO3「kashiwagi」 10/09 20時47分受信
更新10/26
214回解答
より
因ってこの数列は単調増加であると分かる。
ここで、この数列の極限値をAと仮定すると、
より Aは正であるから、
と推定される。そこで

105=3×となる。
因って、nを無限大にすると、
となるので、この値が上限である。
因って、
である。
NO4「kasama」 10/17 23時01分受信 更新10/26
|
@単調性について |
|||||||||||||||||||||||||||||||||
|
|||||||||||||||||||||||||||||||||
|
A有界性について |
|||||||||||||||||||||||||||||||||
|
|||||||||||||||||||||||||||||||||
|
B収束値の計算 |
|||||||||||||||||||||||||||||||||
|
皆さん、答えがわかったら、一部でも構いませんから、解答とペンネームを添えて、
メールで送ってください。待っています。
![]()