平成21年4月12日
[流れ星]
第222回数学的な応募問題解答
<解答募集期間:3月22日〜4月12日
[多項式の余り]
先日、「大学への数学」(2009年3月号)を読んでいて、次のような問題を考えました。
問題1:3次関数f(x)=x3−3x2−6x+5について、
(1)f(x)を導関数f’(x)で割った余りを求めよ。
(2)f(x)には極値をとる点が2個あるが、この2点を通る直線の方程式を求めよ。
問題2:f(x)=−x4+4x3+6x2−4xについて
(1)f(x)を導関数f’(x)で割った余りを求めよ。
(2)f(x)には極値をとる点が3個あるが、この3点を通る放物線の方程式を求めよ。
問題3 上の問題1と問題2において、(1)と(2)の答えが同じである理由を考察せよ。
NO1「uchinyan」 3/22 14時30分受信
更新4/12
第222回数学的な応募問題
[多項式の余り]
いきなり問題3:からでもできますが,順番にやってみます。
問題1:
f(x) = x^3 - 3x^2 - 6x + 5
(1)
f'(x) = 3x^2 - 6x - 6
f(x) = (x/3 - 1/3)(3x^2 - 6x - 6) + (- 6x + 3)
なので,余りは - 6x + 3 です。
(2)
f'(x) = 3x^2 - 6x - 6 = 3(x^2 - 2x - 2) = 3(x - (1 - sqrt(3)))(x - (1 +
sqrt(3)))
なので,
x < 1 - sqrt(3) で,f'(x) > 0,f(x) は単調増加
x = 1 - sqrt(3) で,f'(x) = 0,f(x)
は極大値 - 3 + 6 * sqrt(3)
1 - sqrt(3) < x < 1 + sqrt(3) で,f'(x) < 0,f(x) は単調減少
x = 1 + sqrt(3) で,f'(x) = 0,f(x)
は極小値 - 3 - 6 * sqrt(3)
1 + sqrt(3) < x で,f'(x) > 0,f(x) は単調増加
なので,y = f(x) は,
(1 - sqrt(3), - 3 + 6 * sqrt(3)), (1 + sqrt(3), - 3 - 6 * sqrt(3))
で極値をとります。そこで,この2点を通る直線は,
y - (- 3 + 6 * sqrt(3))
= {(- 3 - 6 * sqrt(3)) - (- 3 + 6 * sqrt(3))}/{(1 +
sqrt(3)) - (1 - sqrt(3))} * (x - (1 - sqrt(3)))
y = (- 12 * sqrt(3))/(2 * sqrt(3)) * (x - (1 - sqrt(3))) + (- 3 + 6 * sqrt(3))
y = (- 6) * (x - (1 - sqrt(3))) + (- 3 + 6 * sqrt(3))
y = - 6x + (6 - 6 * sqrt(3))) + (- 3 + 6 * sqrt(3))
y = - 6x + 3
問題2:
f(x) = - x^4 + 4x^3 + 6x^2 - 4x
(1)
f'(x) = - 4x^3 + 12x^2 + 12x - 4
f(x) = (x/4 - 1/4)(- 4x^3 + 12x^2 + 12x - 4) + (6x^2 - 1)
なので,余りは 6x^2 - 1 です。
(2)
f'(x) = - 4x^3 + 12x^2 + 12x - 4 = - 4(x^3 - 3x^2 - 3x + 1)
= - 4(x + 1)(x^2 - 4x + 1)
= - 4(x + 1)(x - (2 - sqrt(3)))(x - (2 + sqrt(3)))
そこで,
x < - 1 で,f'(x) > 0,f(x) は単調増加
x = - 1 で,f'(x) = 0,f(x) は極大値 5
- 1 < x < 2 - sqrt(3) で,f'(x) < 0,f(x) は単調減少
x = 2 - sqrt(3) で,f'(x) = 0,f(x)
は極小値 41 - 24 * sqrt(3)
2 - sqrt(3) < x < 2 + sqrt(3) で,f'(x) > 0,f(x) は単調増加
x = 2 + sqrt(3) で,f'(x) = 0,f(x)
は極大値 41 + 24 * sqrt(3)
2 + sqrt(3) < x で,f'(x) < 0,f(x) は単調減少
なので,y = f(x) は,
(-1, 5), (2 - sqrt(3), 41 - 24 * sqrt(3)), (2 + sqrt(3), 41 + 24 * sqrt(3))
で極値をとります。そこで,この3点を通る放物線は,y = ax^2 + bx + c とおくと
a(-1)^2 + b(-1) + c = 5
a(2 - sqrt(3))^2 + b(2 - sqrt(3)) + c = 41 - 24 * sqrt(3)
a(2 + sqrt(3))^2 + b(2 + sqrt(3)) + c = 41 + 24 * sqrt(3)
計算すると,
a - b + c = 5
(7 - 4 * sqrt(3))a + (2 - sqrt(3))b + c = 41 - 24 * sqrt(3)
(7 + 4 * sqrt(3))a + (2 + sqrt(3))b + c = 41 + 24 * sqrt(3)
->
a - b + c = 5
7a + 2b + c = 41
(4 * sqrt(3))a + (sqrt(3))b = 24 * sqrt(3)
->
2a + b = 12
(4 * sqrt(3))a + (sqrt(3))b = 24 * sqrt(3)
->
(2 * sqrt(3))a = 12 * sqrt(3)
->
a = 6, b = 0, c = - 1
つまり,
y = 6x^2 - 1
になります。
問題3
確かに,問題1と問題2において,それぞれ,(1)と(2)の答えが一致しています。
これは,一般に,次のようにしていえます。
今,f(x) を n 次の多項式とします。すると,f'(x) は n-1 次の多項式です。
そこで,g(x) を n-2 次の多項式として,
f(x) = (ax + b) * f'(x) + g(x)
と書けます。このとき,g(x) は,f(x) を f'(x) で割った余りになります。
さて,f(x) が n-1 個の異なる点 (pk,f(pk)), k = 1, 2, ..., n-1 で極値をとったとします。
この必要十分条件は,明らかに,f'(pk) = 0, k = 1, 2, ..., n-1 であって,pk が互いに異なることです。
すると,k = 1, 2, ..., n-1 に対して
f(pk) = (a * pk + b) * f'(pk) + g(pk) = g(pk)
これは,n-2 次の多項式関数 y = g(x) が,n-1 個の異なる点 (pk,f(pk)) を通ることを示しています。
つまり,余り g(x) は,n-1 個の異なる点 (pk,f(pk)), k = 1, 2, ..., n-1 を通る n-2 次の多項式関数になっています。
(考察)
ちょっとうるさいことをいうと,g(x) = [i=0,n-2]{ai
* x^i} において,
n-1 個の ai, i = 0, ..., n-2,に関する1次の連立方程式
g(pk) = f(pk), k = 1, 2, ..., n-1
が,ただ一つの解をもつことを証明する必要があります。
(解をもつことは余り g(x) の存在によって明らかですが,これ以外にあるかもしれません。)
これは大学レベルになってしまうので省略しましたが,1次の連立方程式の一般論から,n-2 = m とおいて
ai の係数の行列の行列式
|p1^m p1^(m-1) ... p1^2 p1 1|
|p2^m p2^(m-1) ... p2^2 p2 1|
|...........................|
|pm^m pm^(m-1) ... pm^2 pm 1|
が 0 でない限りただ一つの解をもつことがいえ,さらに,この行列式は,行列式の性質をうまく使うと,
Π[1<=i<j<=m](pi - pj) つまり,1 <= i < j <= m となるすべての (pi - pj) の積
に等しいことがいえ,pi not= pj だったので,0 にはなりません。
そこで,必ず,ai, i = 0, 1, ..., n-2 がただ一つ確定し,それが y = g(x) になることは保証されています。
(感想)
ある意味明らかな問題ですが,面白い問題だと思いました。
NO2「浜田明巳」 3/26 11時56分受信
更新4/12
問題1
(1) f(x)=x3−3x2−6x+5から,
f'(x)=3x2−6x−6=3(x2−2x−2)
f(x)÷f'(x)を計算すると,
1/3 −1/3
─―――――――――――――
3 −6 −6)1 −3 −6 5
1 −2 −2
―――――――――――――
−1 −4 5
−1 2 2
―――――――――
−6 3
∴f(x)=f'(x)(x/3−1/3)−6x+3
余りは−6x+3となる.
(2) f'(x)=0 ⇔ x=1±√3
である.極値を与えるxの値をα,β(=1±√3)とすると,
f'(α)=f'(β)=0
∴f(α)=−6α+3,f(β)=−6β+3
故に極値の点(α,f(α)),(β,f(β))(α≠β)を結ぶ直線の方程式は,
y=−6x+3
問題2
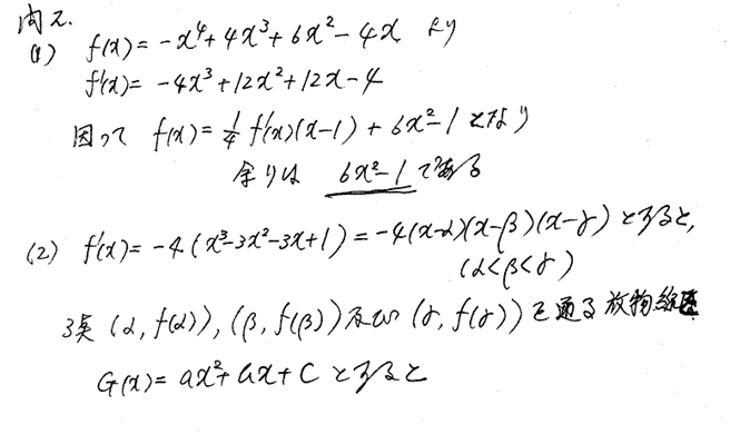
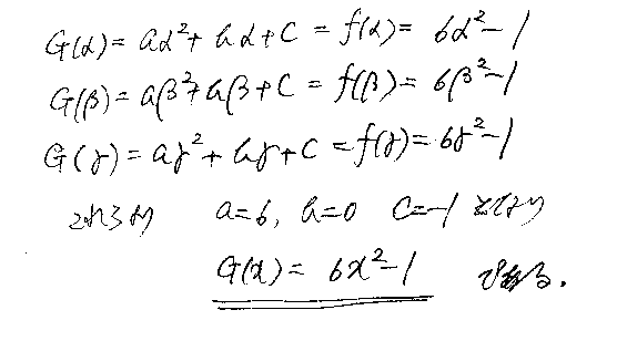
(1) f(x)=−x4+4x3+6x2−4xから,
f'(x)=−4x3+12x2+12x−4=−4(x3−3x2−3x+1)
=−4{(x3+1)−3x(x+1)}=−4(x+1){(x2−x+1)−3x}
=−4(x+1)(x2−4x+1)
f(x)÷f'(x)を計算すると,
1/4 −1/4
─―――――――――――――――――
−4 12 12 −4)−1 4 6 −4 0
−1 3 3 −1
―――――――――――――――――
1 3 −3 0
1 −3 −3 1
―――――――――――――
6 0 −1
∴f(x)=f'(x)(x/4−1/4)+6x2−1
余りは6x2−1となる.
(2) f'(x)=0 ⇔ x=−1,2±√3
である.極値を与えるxの値をα,β,γ(=−1,2±√3)とすると,
f'(α)=f'(β)=f'(γ)=0
∴f(α)=6α2−1,f(β)=6β2−1,f(γ)=6γ2−1
故に極値の点(α,f(α)),(β,f(β)),(γ,f(γ))(α≠β≠γ≠α)を結ぶ放物線の方程式は,
y=6x2−1
問題3
上記の解き方によって,(1),(2)の答が一致する理由は明らかであろう.
NO3「kashiwagi」
4/01 22時01分受信
「kashiwagi」 4/07 07時48分受信 更新4/12


NO4「新俳人澄朝」4/07 17時25分受信
更新4/12

皆さん、答えがわかったら、一部でも構いませんから、解答とペンネームを添えて、
メールで送ってください。待っています。
![]()