平成22年3月7日

[流れ星]

     第237数学的な応募問題解答

      <解答募集期間:2月14日〜37

[有名な無限級数]

受験生である生徒から、2010年同志社大学の入試問題を見ることができました。

1996年札幌医科大に出た問題とよく似ていますから、比較しながら解いてみてください。

まずは、札幌医科大の入試問題です。

 

次に同社大学の問題です。

 

NO1uchinyan  02/14 1332分受信更新3/7

 

第237回数学的な応募問題
[有名な無限級数]

以下では,対数の底は e とします。

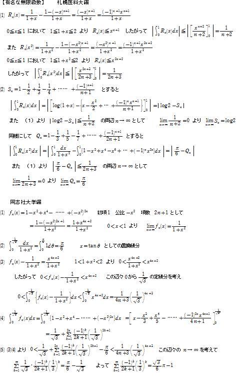
札幌医科大の問題

(1)
Rn(x) = 1/(1 + x) - {1 - x + x^2 - ... + (-1)^n * x^n}
{ }
の中身は,初項が 1,公比が -x の等比数列の n+1 項までの和なので,
1 - x + x^2 - ... + (-1)^n * x^n
= {1 - (-x)^(n+1)}/{1 - (-x)}
= {1 - (-1)^(n+1) * x^(n+1)}/(1 + x)
そこで,
Rn(x) = 1/(1 + x) - {1 - (-1)^(n+1) * x^(n+1)}/(1 + x) = (-1)^(n+1) * x^(n+1)/(1 + x)
0 <= x <= 1
では 1/2 <= 1/(1 + x) <= 1 なので,
- x^(n+1) <= Rn(x) <= x^(n+1)
-
[x=0,1]x^(n+1)dx <= [x=0,1]Rn(x)dx <= [x=0,1]x^(n+1)dx
- 1/(n+2) <=
[x=0,1]Rn(x)dx <= 1/(n+2)
|
[x=0,1]Rn(x)dx| <= 1/(n+2)
同様にして,
Rn(x^2) = (-1)^(n+1) * x^(2n+2)/(1 + x^2)
0 <= x <= 1
では 0 <= x^2 <= 11/2 <= 1/(1 + x^2) <= 1 なので,
- x^(2n+2) <= Rn(x^2) <= x^(2n+2)
-
[x=0,1]x^(2n+2)dx <= [x=0,1]Rn(x^2)dx <= [x=0,1]x^(2n+2)dx
- 1/(2n+3) <=
[x=0,1]Rn(x^2)dx <= 1/(2n+3)
|
[x=0,1]Rn(x^2)dx| <= 1/(2n+3)
(2)
(i)
[x=0,1]Rn(x)dx
=
[x=0,1]{1/(1 + x) - {1 - x + x^2 - x^3 + ... + (-1)^n * x^n}}dx
=
[x=0,1]{1/(1 + x)}dx - [x=0,1]{1 - x + x^2 - x^3 + ... + (-1)^n * x^n}dx
= [log(1 + x)][x=0,1] - [x - x^2/2 + x^3/3 - x^4/4 + ... + (-1)^n * x^(n+1)/(n+1)][x=0,1]
= log2 - (1 - 1/2 + 1/3 - 1/4 + ... + (-1)^n * 1/(n+1))
1 - 1/2 + 1/3 - 1/4 + ... + (-1)^n * 1/(n+1) = log2 -
[x=0,1]Rn(x)dx
ここで,(1)より,n -> ∞ で,
|
[x=0,1]Rn(x)dx| <= 1/(n+2) -> 0
[x=0,1]Rn(x)dx -> 0
なので,
1 - 1/2 + 1/3 - 1/4 + ... = log2
(ii)
[x=0,1]Rn(x^2)dx
=
[x=0,1]{1/(1 + x^2) - {1 - x^2 + x^4 - x^6 + ... + (-1)^n * x^(2n)}}dx
=
[x=0,1]{1/(1 + x^2)}dx - [x=0,1]{1 - x^2 + x^4 - x^6 + ... + (-1)^n * x^(2n)}dx
= [arctan(x)][x=0,1] - [x - x^3/3 + x^5/5 - x^7/7 + ... + (-1)^n * x^(2n+1)/(2n+1)][x=0,1]
=
π/4 - (1 - 1/3 + 1/5 - 1/7 + ... + (-1)^n * 1/(2n+1))
1 - 1/3 + 1/5 - 1/7 + ... + (-1)^n * 1/(2n+1) =
π/4 - [x=0,1]Rn(x^2)dx
ここで,(1)より,n -> ∞ で,
|
[x=0,1]Rn(x^2)dx| <= 1/(2n+3) -> 0
[x=0,1]Rn(x^2)dx -> 0
なので,
1 - 1/3 + 1/5 - 1/7 + ... =
π/4

同志社大学の問題

fn(x) = 1 +
Σ[k=1,2n]{(- x^2)^k}
2010/02/14 13:30
の時点では,問題は,
同社大学,(- x^2)^n となっていますが,
同志社大学,(- x^2)^k の単純な誤記と判断しました。

(1)
fn(x)
は,初項が 1,公比が - x^2 の等比数列の 2n+1 項までの和なので,
fn(x) = {1 - (-x^2)^(2n+1)}/{1 - (-x^2)} = {1 + x^(4n+2)}/(1 + x^2)
0 < x < 1
では,n -> ∞ で,x^(4n+2) -> 0 より,
lim[n ->
]fn(x) = 1/(1 + x^2)
(2)
[x=0,1/sqrt(3)]{1/(1 + x^2)}dx = [arctan(x)][x=0,1/sqrt(3)] = π/6
(3)
0 < x < 1
では,(1)より,
fn(x) = {1 + x^(4n+2)}/(1 + x^2)
なので,
fn(x) - 1/(1 + x^2) = x^(4n+2)/(1 + x^2)
さらに,0 <= x <= 1 では 0 <= x^2 <= 11/2 <= 1/(1 + x^2) <= 1 なので,
0 <= fn(x) - 1/(1 + x^2) = x^(4n+2)/(1 + x^2) <= x^(4n+2)
0 <= fn(x) - 1/(1 + x^2) <= x^(4n+2)
ここで,等号は x = 0 の場合だけで,それ以外は成立しません。そこで,
0 <
[x=0,1/sqrt(3)]{fn(x) - 1/(1 + x^2)}dx < [x=0,1/sqrt(3)]{x^(4n+2)}dx
0 <
[x=0,1/sqrt(3)]{fn(x) - 1/(1 + x^2)}dx < [x^(4n+3)/(4n+3)][x=0,1/sqrt(3)]
0 <
[x=0,1/sqrt(3)]{fn(x) - 1/(1 + x^2)}dx < 1/(4n+3) * (1/sqrt(3))^(4n+3)
(4)
[x=0,1/sqrt(3)]{fn(x)}dx
=
[x=0,1/sqrt(3)]{1 + Σ[k=1,2n]{(- x^2)^k}}dx
= [x +
Σ[k=1,2n]{(-1)^k * x^(2k+1)/(2k+1)}][x=0,1/sqrt(3)]
= 1/sqrt(3) +
Σ[k=1,2n]{(-1)^k/(2k+1) * (1/sqrt(3))^(2k+1)}
(5)
(4)
より,
Σ[k=1,2n]{(-1)^k/(2k+1) * (1/sqrt(3))^(2k+1)} = [x=0,1/sqrt(3)]{fn(x)}dx - 1/sqrt(3)
1/sqrt(3) *
Σ[k=1,2n]{(-1)^k/(2k+1) * (1/3)^k} = [x=0,1/sqrt(3)]{fn(x)}dx - 1/sqrt(3)
Σ[k=1,2n]{(-1)^k/(2k+1) * (1/3)^k} = sqrt(3) * [x=0,1/sqrt(3)]{fn(x)}dx - 1
Σ[k=1,2n]{(-1)^k/(2k+1) * (1/3)^k}
= sqrt(3) *
[x=0,1/sqrt(3)]{fn(x) - 1/(1 + x^2)}dx
+ sqrt(3) *
[x=0,1/sqrt(3)]{1/(1 + x^2)}dx - 1
(2)
より,
Σ[k=1,2n]{(-1)^k/(2k+1) * (1/3)^k}
= sqrt(3) *
[x=0,1/sqrt(3)]{fn(x) - 1/(1 + x^2)}dx + sqrt(3) * π/6 - 1
ここで,(3)0 < 1/sqrt(3) <= 1 より,n -> ∞ で,
0 <
[x=0,1/sqrt(3)]{fn(x) - 1/(1 + x^2)}dx < 1/(4n+3) * (1/sqrt(3))^(4n+3) -> 0
[x=0,1/sqrt(3)]{fn(x) - 1/(1 + x^2)}dx -> 0
なので,
Σ[k=1,]{(-1)^k/(2k+1) * (1/3)^k} = sqrt(3)/6 * π - 1

(
考察)
同志社大学の問題で,1/sqrt(3) の代わりに,一般に,0 < r <= 1 とすると,同様の計算で,
Σ[k=1,]{(-1)^k/(2k+1) * r^(2k)} = arctan(r)/r - 1
1 +
Σ[k=1,]{(-1)^k/(2k+1) * r^(2k)} = arctan(r)/r
Σ[k=0,]{(-1)^k/(2k+1) * r^(2k)} = arctan(r)/r
この式で r = 1 とすると,
Σ[k=0,]{(-1)^k/(2k+1)} = arctan(1)= π/4
1 - 1/3 + 1/5 - 1/7 + ... =
π/4
となり,札幌医科大の問題の(2)(ii)が再現できます。

(
感想)
いずれも有名な無限級数ですね。いい復習になりました。

 

NO2「再出発」   02/15 1414分受信 更新3/7

<コメント>少し時間があったものですから、とりあえず前半の問題だけ解いてみました。
詳しい計算は省略してあります。
なにしろ、数式エディターを使うときれいだし便利なんですが、慣れないうちは疲れます。

答案は添付ファイルをご覧いただけるとうれしいのですが、
(※)の部分で不等号が「≦」ではなく「<」になると思うのです。
設問が「≦」を使っていることは間違いではないにしても「=」が成り立つことはないような気がします。
最終的には@やAの形になりました。従って設問の不等式は成り立ちます。

寄せられた解答です。

 

 

               

 

 02/16 2351分受信 更新3/7

寄せられた解答です。

 

 

 

 

 

NO3「新俳人澄朝」02/16 1019分受信 更新3/7

<コメント>昨年3月以来の久しぶりの参加です。受験生になって解答してみました。(4)から(5)へ一部変形している意味がよく分かりませんでしたが、問題としては札幌医科大の方がスマートかなと感じました。

 

NO4kashiwagi 02/25 2030分受信 更新3/7

<コメント>お世話になります。今回の問題は解いていて楽しさを味わいました。

1

1)無限等比級数

の和はとなる。

因って、 である。

これより、

ここでxをx2平に変え、全く同様な計算を行うと、

2)(1)に於いてnを無限大にすれば、どちらも0に収束する。これより、どちらの式も積分すれば、

即ち、 である。

全く同様な計算から、行線の間隔を2H、針の長さを2Lとする。題意よりLHである。

即ち、 である。

 

 

  

皆さん、答えがわかったら、一部でも構いませんから、解答とペンネームを添えて、
メールで送ってください。待っています。