平成22年5月30日
[流れ星]
第241回数学的な応募問題解答
<解答募集期間:5月9日〜5月30日
[四角形の面積]
過去の大学入試問題を見ていたら、次のような問題を見つけましたから紹介します。
4辺の長さがa,b,c,dである凸四角形ABCDの面積の最大値を求めよ。

NO1「uchinyan」 05/09 13時37分受信 更新5/30
第241回数学的な応募問題
[四角形の面積]
AB = a,BC = b,CD = c,DA = d,∠ABC = x,∠CDA
= y,0 < x, y < π,とします。
すると,余弦定理より,
AD^2 = a^2 + b^2 - 2ab * cos(x) = c^2 + d^2 - 2cd * cos(y)
また,□ABCD の面積を S とすると,
S = ab/2 * sin(x) + cd/2 * sin(y) = (ab * sin(x) + cd * sin(y))/2
そこで,AD に関する条件式のもとで S を最大にすることになります。
(解法1)
AD に関する条件式は,a, b, c, d は定数,x, y
は変数,なので,x, y の関係を与える式です。
そこで,y を x の関数 y = y(x) と見ることができます。
すると,S は,見かけ上は x, y の関数ですが,実は x だけの関数 S = S(x) となります。
そこで,S を x で微分すると,
dS/dx = (ab * cos(x) + cd * cos(y)
* dy/dx)/2
一方,AD に関する条件式を x で微分すると,
2ab * sin(x) = 2cd * sin(y) * dy/dx
0 < y < π より,
dy/dx = ab/cd *
sin(x)/sin(y)
そこで,
dS/dx = (ab * cos(x) + cd * cos(y)
* (ab/cd * sin(x)/sin(y)))/2
dS/dx = ab/(2 * sin(y)) * (cos(x)sin(y) + sin(x)cos(y))
dS/dx = ab/(2 * sin(y)) *
sin(x + y)
これより,0 < x, y < π より,sin(y)
> 0,0 < x + y < 2π で,
0 < x + y < π のとき,dS/dx > 0,S は単調増加
x + y = π のとき,dS/dx = 0,S は極大かつ最大
π < x + y < 2π のとき,dS/dx < 0,S は単調減少
そこで,S の最大は,x + y = π のとき,つまり □ABCD が円に内接するとき,です。
S の最大値 Smax は,y = π - x より,
Smax = (ab + cd)/2 * sin(x)
一方,AD に関する条件式より,
a^2 + b^2 - 2ab * cos(x) = c^2 + d^2 + 2cd * cos(x)
cos(x) = (a^2 + b^2 - c^2 - d^2)/(2(ab + cd))
そこで,
(Smax)^2 = ((ab + cd)/2)^2 * (sin(x))^2 = ((ab + cd)/2)^2 * (1 - (cos(x))^2)
= ((ab + cd)/2)^2 * (1 -
((a^2 + b^2 - c^2 - d^2)/(2(ab + cd)))^2)
= ((2(ab + cd))^2 - ((a^2 +
b^2 - c^2 - d^2)^2)/2^4
= (2(ab + cd) + (a^2 + b^2
- c^2 - d^2))(2(ab + cd) -
(a^2 + b^2 - c^2 - d^2))/2^4
= ((a + b)^2 - (c - d)^2)(- (a - b)^2 + (c + d)^2)/2^4
= (a + b + c - d)(a + b - c + d)(a - b + c + d)(- a + b + c + d)/2^4
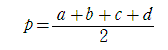
ここで,s = (a + b + c + d)/2 とおくと,
= (s - a)(s - b)(s - c)(s - d)
そこで,
Smax = sqrt((s - a)(s -
b)(s - c)(s - d))
になります。
(解法2)
微分を使わない解法です。
AD に関する条件式より,
a^2 + b^2 - 2ab * cos(x) = c^2 + d^2 - 2cd * cos(y)
a^2 + b^2 - c^2 - d^2 = 2(ab * cos(x)
- cd * cos(y))
(a^2 + b^2 - c^2 - d^2)^2 = (2(ab * cos(x) - cd * cos(y)))^2
(a^2 + b^2 - c^2 - d^2)^2 = 2^2 * ((ab * cos(x))^2 - 2abcd * cos(x)cos(y) + (cd * cos(y))^2)
一方,面積の式より,
2S = ab * sin(x) + cd *
sin(y)
(2S)^2 = (ab * sin(x) + cd
* sin(y))^2
2^2 * S^2 = (ab * sin(x))^2 + 2abcd * sin(x)sin(y) +
(cd * sin(y))^2
2^4 * S^2 = 2^2 * ((ab * sin(x))^2 + 2abcd *
sin(x)sin(y) + (cd * sin(y))^2)
そこで,先ほどの式と両辺を足し合わせて,
2^4 * S^2 + (a^2 + b^2 - c^2 - d^2)^2
= 2^2 * ((ab)^2 - 2abcd * (cos(x)cos(y) - sin(x)sin(y)) + (cd)^2)
2^4 * S^2 + (a^2 + b^2 - c^2 - d^2)^2 = 2^2 * ((ab)^2
+ (cd)^2 - 2abcd * cos(x +
y))
2^4 * S^2 = 2^2 * ((ab)^2 + (cd)^2
- 2abcd * cos(x + y)) - (a^2 + b^2 - c^2 - d^2)^2
ここで,0 < x, y < π より 0
< x + y < 2π で,
x + y = π のとき,つまり □ABCD が円に内接するとき,cos(x + y) は最小 -1,S は最大
となります。このとき,S の最大値 Smax は,
2^4 * (Smax)^2
= 2^2 * ((ab)^2 + (cd)^2 +
2abcd) - (a^2 + b^2 - c^2 - d^2)^2
= (2(ab + cd))^2 - (a^2 +
b^2 - c^2 - d^2)^2
= (2(ab + cd) + (a^2 + b^2
- c^2 - d^2))(2(ab + cd) -
(a^2 + b^2 - c^2 - d^2))
= ((a + b)^2 - (c - d)^2)(- (a - b)^2 + (c + d)^2)
= (a + b + c - d)(a + b - c + d)(a - b + c + d)(- a + b + c + d)
ここで,s = (a + b + c + d)/2 とおくと,
= 2^4 * (s - a)(s - b)(s - c)(s - d)
そこで,
Smax = sqrt((s - a)(s -
b)(s - c)(s - d))
になります。
(考察)
(解法2)の計算よりほとんど明らかですが,円に内接しない一般の場合には,
S = sqrt((s - a)(s - b)(s - c)(s - d) - abcd * (1 + cos(x + y))/2)
倍角の公式
cos(x + y) = 2 * (cos((x +
y)/2))^2 - 1
を使えば,
S = sqrt((s - a)(s - b)(s - c)(s - d) - abcd * (cos((x + y)/2))^2)
とも書けますね。
なお,Smax の式,円に内接する四角形の面積,は,ブラーマグプタの公式,と言うそうです。
このとき,d = 0 とすれば,A と D は一致して □ABCD は
△ABC になり,
S = sqrt(s(s - a)(s - b)(s - c)
となって,ヘロンの公式になります。
△ABC には必ず外接円が存在するので,この結果は妥当と考えられます。
(感想)
実はこの問題は以前に解いたことがありました。
それを思い出しながら解きました。
NO2「再出発」 05/17 21時59分受信
更新5/30
|
凸四辺形の最大面積(答) |
|
|
|
4辺の長さがそれぞれ a, b, c, d である凸四辺形の面積の最大値を求めて下さい。 |
|
解答(大まかな流れ) |
|
∠A=θ、∠C=φ、□ABCDの面積の2倍を S とします。 <辺長が与えられた四辺形を円に内接させることができることの大雑把な説明> <dS/dθ= ad * { cosθ + (sinθ/tanφ) } の値が θ = π - φ の前後で正から負に変化する事の簡単な説明> |
NO3「MVH」 05/28 12時40分受信
更新5/30
〔流れ星〕第241回数学的な応募問題 〔四角形の面積〕
by MVH
〔解答〕
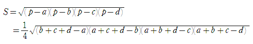
一般に, AB=a, BC=b, CD=c,DA=dの四角形ABCDの面積Sは,

(但し,
)(・・☆)
で与えられる.
今,a,b,c,d,pは一定だから, この四角形ABCDが最大となるのは,
のとき, すなわち, 円に内接するとき, である.
このとき,

・・・・・(答え)
(円に内接する四角形は凸四角形だから, これは本問の答えとして十分)
〔☆について〕
これは, 「ブレートシュナイダー(Bretschneider)の公式」と呼ばれる公式です(有名なので証明は省略します).
〔解き終えて〕
当初は、何を訊かれているのか、判然としませんでした。題意を理解してからは、かなり大変そうだと尻込みしましたが、記憶のどこかにヘロンの公式の四角形版があったため、手がつけられました。それにしても、美しい結果です・・・。
皆さん、答えがわかったら、一部でも構いませんから、解答とペンネームを添えて、
メールで送ってください。待っています。