平成22年11月7日
[流れ星]
第248回数学的な応募問題解答
<解答募集期間:10月17日〜11月7日
[無限級数の美しさ(2)]
先日、青土社出版「πとeの話」を読んでいたら、無限級数の美しさと不思議さを見
けました。皆さんに紹介します。2回目です。

NO1「uchinyan」 10/17 12時19分受信
「uchinyan」 10/19 17時47分受信
「uchinyan」 10/22 13時37分受信 更新11/7
第248回数学的な応募問題
[無限級数の美しさ(2)]
題意にあるように,今回も,以下では,
Σ[n=0,∞]{1/n!} = e
を認めて議論します。
また,この無限級数は,一様絶対収束することが知られているので,
級数の計算などは,有限項の演算の場合と同じようにできる前提で議論します。
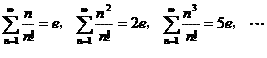
(1)
Σ[n=1,∞]{n^2/n!}
= Σ[n=1,∞]{n/(n-1)!}
= Σ[n=1,∞]{(n-1)/(n-1)! + 1/(n-1)!}
= Σ[n=2,∞]{1/(n-2)!} + Σ[n=1,∞]{1/(n-1)!}
= Σ[n=0,∞]{1/n!} + Σ[n=0,∞]{1/n!}
= e + e
= 2e
(2)
Σ[n=1,∞]{n^2/(n+1)!}
= Σ[n=1,∞]{(n^2 - 1)/(n+1)! + 1/(n+1)!}
= Σ[n=1,∞]{(n-1)(n+1)/(n+1)! + 1/(n+1)!}
= Σ[n=1,∞]{(n-1)/n! + 1/(n+1)!}
= Σ[n=2,∞]{(n-1)/n!} + Σ[n=2,∞]{1/n!}
= Σ[n=2,∞]{n/n! - 1/n!} + Σ[n=2,∞]{1/n!}
= Σ[n=2,∞]{1/(n-1)! - 1/n!} + Σ[n=2,∞]{1/n!}
= Σ[n=2,∞]{1/(n-1)!} - Σ[n=2,∞]{1/n!} + Σ[n=2,∞]{1/n!}
= Σ[n=1,∞]{1/n!} - (Σ[n=0,∞]{1/n!}
- 1 - 1) + (Σ[n=0,∞]{1/n!} - 1
- 1)
= Σ[n=0,∞]{1/n!} - 1 - (e - 2) + (e - 2)
= e - 1
(3)
Σ[n=1,∞]{n^2/(n-1)!}
= Σ[n=1,∞]{(n^2 - 1)/(n-1)! + 1/(n-1)!}
= Σ[n=1,∞]{(n-1)(n+1)/(n-1)! + 1/(n-1)!}
= Σ[n=1,∞]{(n-1)(n+1)/(n-1)!} + Σ[n=1,∞]{1/(n-1)!}
= Σ[n=2,∞]{(n+1)/(n-2)!} + Σ[n=0,∞]{1/n!}
= Σ[n=2,∞]{(n-2)/(n-2)! + 3/(n-2)!} + Σ[n=0,∞]{1/n!}
= Σ[n=3,∞]{1/(n-3)!} + 3 * Σ[n=2,∞]{1/(n-2)!} + Σ[n=0,∞]{1/n!}
= Σ[n=0,∞]{1/n!} + 3 * Σ[n=0,∞]{1/n!} + Σ[n=0,∞]{1/n!}
= e + 3e + e
= 5e
(考察1)
e^x のマクローリン展開,
Σ[n=0,∞]{x^n/n!} = e^x
が使えれば...
(1)
d(Σ[n=0,∞]{x^n/n!})/dx = Σ[n=1,∞]{n/n! * x^(n-1)}
x * d(Σ[n=0,∞]{x^n/n!})/dx = Σ[n=1,∞]{n/n! * x^n}
d(x * d(Σ[n=0,∞]{x^n/n!})/dx)/dx = Σ[n=1,∞]{n^2/n! * x^(n-1)}
より,
Σ[n=1,∞]{n^2/n!}
= [d(x * d(Σ[n=0,∞]{x^n/n!})/dx)/dx]x=1
= [d(x * d(e^x)/dx)/dx]x=1
= [d(x * e^x)/dx]x=1
= [e^x + x * e^x]x=1
= e^1 + 1 * e^1
= e + e
= 2e
(2)
(e^x - 1)/x = (Σ[n=0,∞]{x^n/n!} - 1)/x = Σ[n=1,∞]{x^(n-1)/n!}
= Σ[n=0,∞]{x^n/(n+1)!}
d(Σ[n=0,∞]{x^n/(n+1)!})/dx = Σ[n=1,∞]{n/(n+1)! * x^(n-1)}
x * d(Σ[n=0,∞]{x^n/(n+1)!})/dx = Σ[n=1,∞]{n/(n+1)! * x^n}
d(x * d(Σ[n=0,∞]{x^n/(n+1)!})/dx)/dx = Σ[n=1,∞]{n^2/(n+1)! * x^(n-1)}
より,
Σ[n=1,∞]{n^2/(n+1)!}
= [d(x * d(Σ[n=0,∞]{x^n/(n+1)!})/dx)/dx]x=1
= [d(x * d((e^x -
1)/x)/dx)/dx]x=1
= [d(x * (e^x * x - (e^x -
1) * 1)/x^2)/dx]x=1
= [d((e^x * x - e^x +
1))/x)/dx]x=1
= [((e^x * x + e^x - e^x +
0) * x - (e^x * x - e^x + 1) * 1)/x^2]x=1
= [(e^x * x^2 - e^x * x +
e^x - 1)/x^2]x=1
= e^1 * 1^2 - e^1 * 1 + e^1
- 1
= e - e + e - 1
= e - 1
(3)
x * e^x = x * Σ[n=0,∞]{x^n/n!} = x * Σ[n=1,∞]{x^(n-1)/(n-1)!}
= Σ[n=1,∞]{x^n/(n-1)!}
d(Σ[n=1,∞]{x^n/(n-1)!})/dx = Σ[n=1,∞]{n/(n-1)! * x^(n-1)}
x * d(Σ[n=1,∞]{x^n/(n-1)!})/dx = Σ[n=1,∞]{n/(n-1)! * x^n}
d(x * d(Σ[n=1,∞]{x^n/(n-1)!})/dx)/dx = Σ[n=1,∞]{n^2/(n-1)! * x^(n-1)}
より,
Σ[n=1,∞]{n^2/(n-1)!}
= [d(x * d(Σ[n=1,∞]{x^n/(n-1)!})/dx)/dx]x=1
= [d(x * d(x *
e^x)/dx)/dx]x=1
= [d(x * (e^x + x *
e^x)/dx]x=1
= [d((x + x^2) * e^x)/dx]x=1
= [(1 + 2x) * e^x + (x +
x^2) * e^x]x=1
= [(1 + 3x + x^2) * e^x]x=1
= (1 + 3 * 1 + 1^2) * e^1
= (1 + 3 + 1) * e
= 5e
確かに一致しています。
(水の流れさんからのメールによる発展問題)
...で、拡張を考えてください。
Σ(k=0…∞)(k+1)/k! = 2e
Σ(k=0…∞)(k+1)^2/k! = 5e
<ちょっと、k = 1 でなく、k = 0 からですが、同じ>
ここまでは問題でしたが、
次に、
Σ(k=0…∞)(k+1)^3/k! =
Σ(k=0…∞)(k+1)^4/k! =
Σ(k=0…∞)(k+1)^5/k! =
...
はどんな値になるでしょう。また、e の係数は一体どんな数列でしょう。
a(n) = Σ[k=0,∞]{(k+1)^n/k!} とおきます。ただし,n >= 0 とします。すると,
a(n) = Σ[k=0,∞]{(k+1)^n/k!}
= Σ[k=0,∞]{(k+1)^(n+1)/(k+1)!}
= Σ[k=1,∞]{k^(n+1)/k!}
= Σ[k=0,∞]{k^(n+1)/k!}
そこで,b(n) = Σ[k=0,∞]{k^n/k!} とおくと,
a(n) = Σ[k=0,∞]{k^(n+1)/k!} = b(n+1)
になります。これから,今回の問題の
(1) が,a(1) = b(2) = 2e
(3) が,b(3) = a(2) = 5e
になっていることが分かります。また,
b(0) = Σ[k=0,∞]{1/k!} = e
です。そして,
b(n+1) = a(n) = Σ[k=0,∞]{(k+1)^n/k!}
= Σ[k=0,∞]{Σ[m=0,n]{nCm * k^m}/k!}
= Σ[m=0,n]{nCm * Σ[k=0,∞]{k^m/k!}}
= Σ[m=0,n]{nCm * b(m)}
という漸化式が求まります。これより,
b(0) = e
a(0) = b(1) = 0C0 * b(0) = 1
* e = e
a(1) = B(2) = 1C0 * b(0) +
1C1 * b(1) = 1 * e + 1 * e = 2e
a(2) = b(3) = 2C0 * b(0) +
2C1 * b(1) + 2C2 * b(2) = 1 * e + 2 * e + 1 * 2e = 5e
a(3) = b(4) = 3C0 * b(0) +
3C1 * b(1) + 3C2 * b(2) + 3C3 * b(3)
= 1 * e + 3 * e + 3 * 2e + 1
* 5e = 15e
a(4) = b(5) = 4C0 * b(0) +
4C1 * b(1) + 4C2 * b(2) + 4C3 * b(3) + 4C4 * b(4)
= 1 * e + 4 * e + 6 * 2e + 4
* 5e + 1 * 15e = 52e
a(5) = b(6) = 5C0 * b(0) +
5C1 * b(1) + 5C2 * b(2) + 5C3 * b(3) + 5C4 * b(4) + 5C5 * b(5)
= 1 * e + 5 * e + 10 * 2e +
10 * 5e + 5 * 15e + 1 * 52e = 203e
...
b(n) の e の係数を並べると,
1, 1, 2, 5, 15, 52, 203, ...
となります。
とはいったものの,この数列が何なのかは分からず,Web で調べてみたら,
どうやら,ベル数,というもので,
n 個の自然数の集合を分割,又はグループ化,する方法の総数
だそうです。
http://ja.wikipedia.org/wiki/%E3%83%99%E3%83%AB%E6%95%B0
に,載っていました。Web はすごい!
そう思ってふと,これは,言い換えると,
n 個の区別できるボールを n 個の区別できない箱に振り分ける場合の数
と同じだな,と思い至りました。
これを検証してみましょう。
まずは,地道な計算。
・n = 1 の場合 明らかに 1 通り
・n = 2 の場合 2 個とも一つの箱に入れてしまうか二つの箱に 1 個ずつ入れるかなので 2 通り
・n = 3 の場合
1 個の箱にすべて入れる 1 通り
2 個の箱に分けて入れる 2 個と 1 個になりますが,どのボールを 1 個にするかで 3 通り
3 個の箱に分けて入れる 1 個ずつしかないので 1 通り
合計 1 + 3 + 1 = 5 通り
・n = 4 の場合
1 個の箱にすべて入れる 1 通り
2 個の箱に分けて入れる 3 + 1 が 4C3 = 4 通り,2 + 2 が
4C2 * 2C2 * 1/2 = 3 通り,で 7 通り
3 個の箱に分けて入れる 2 + 1 + 1 なので 4C2 * 2C1 * 1C1 * 1/2 = 6 通り
4 個の箱に分けて入れる 1 + 1 + 1 +
1 なので 1 通り
合計 1 + 7 + 6 + 1 = 15 通り
・n = 5 の場合
1 個の箱にすべて入れる 1 通り
2 個の箱に分けて入れる
4 + 1 が 5C4 = 5 通り,3 + 2 が 5C3 * 3C2 = 10 通り,で 15 通り
3 個の箱に分けて入れる
3 + 1 + 1 が 5C3 * 2C1 * 1C1 *
1/2 = 10 通り,
2 + 2 + 1 が 5C2 * 3C2 * 1/2 *
1C1 = 15 通り,
なので,25 通り
4 個の箱に分けて入れる 2 + 1 + 1 +
1 なので 5C2 * 3C1 * 2C1 * 1C1 * 1/3! = 10 通り
5 個の箱に分けて入れる 1 + 1 + 1 +
1 + 1 なので 1 通り
合計 1 + 15 + 25 + 10 +
1 = 52 通り
・n = 6 の場合
1 個の箱にすべて入れる 1 通り
2 個の箱に分けて入れる
5 + 1 が 6C5 = 6 通り,
4 + 2 が 6C4 * 2C2 = 15 通り,
3 + 3 が 6C3 * 3C3 * 1/2 = 10
通り,
なので 31 通り
3 個の箱に分けて入れる
4 + 1 + 1 が 6C4 * 2C1 * 1C1 *
1/2 = 15 通り,
3 + 2 + 1 が 6C3 * 3C2 * 1C1 = 60
通り,
2 + 2 + 2 が 6C2 * 4C2 * 2C2 *
1/3! = 15 通り,
なので,90 通り
4 個の箱に分けて入れる
3 + 1 + 1 + 1 が 6C3 * 3C1 * 2C1 *
1C1 * 1/3! = 20 通り,
2 + 2 + 1 + 1 が 6C2 * 4C2 * 1/2 *
2C1 * 1C1 * 1/2 = 45 通り,
なので,65 通り
5 個の箱に分けて入れる,2 + 1 + 1 +
1 + 1 なので 6C2 * 4C1 * 3C1 * 2C1 * 1C1 * 1/4! = 15 通り
6 個の箱に分けて入れる,1 + 1 + 1 +
1 + 1 + 1 なので 1 通り
合計 1 + 31 + 90 + 65 +
15 + 1 = 203 通り
...
確かに一致しています。
しかしこれでは切りがないので,漸化式を考えてみましょう。
n 個の区別できるボールを n 個の区別できない箱に振り分ける場合の数を B(n) 通りとします。
明らかに B(1) = 1 です。また,後の便宜上,B(0) = 1 と定義しておきます。
さて,n+1 個のボールと n+1 個の箱があるとして,特定の 1 個のボールに注目します。
これを A としましょう。
すると,A をまず箱に入れると,これは,箱に区別がないので,どこに入れても同じです。
この状態に残りの n 個のボールを追加します。
・他のボールが A と同じ箱に入らない場合
残りの n 個のボールを n 個の箱に振り分けるので B(n) 通り。
・他のボール 1 個だけが A と同じ箱に入る場合
残りの n 個のボールから 1 個を選ぶのに nC1 通り,
これ以外の n-1 個のボールを n 個の箱に振り分けるのですが,必ず 1 個の箱は空になるので,
実際は n-1 個の区別のない箱に振り分けることになり,B(n-1) 通り,
合計で nC1 * B(n-1) 通り。
・他のボール 2 個だけが A と同じ箱に入る場合
残りの n 個のボールから 2 個を選ぶのに nC2 通り,
これ以外の n-2 個のボールを n 個の箱に振り分けるのですが,必ず 2 個の箱は空になるので,
実際は n-2 個の区別のない箱に振り分けることになり,B(n-2) 通り,
合計で nC2 * B(n-2) 通り。
以下同様に考えて,
...
・他のボール m 個だけが A と同じ箱に入る場合
残りの n 個のボールから m 個を選ぶのに nCm 通り,
これ以外の n-m 個のボールを n-m 個の区別のない箱に振り分けるので,B(n-m) 通り,
合計で nCm * B(n-m) 通り。
...
・他のボールすべてが A と同じ箱に入る場合
残りの n 個のボールから n 個を選ぶのに nCn 通り,
これ以外の振り分けはないのですが,便宜上,B(n-n)
= B(0) = 1 通り,と考えて,
合計で nCn * B(0) 通り。
以上ですべてなので,nC0 = 1 に注意して,
B(n+1) = Σ[m=0.n]{nCm * B(n-m)}
= Σ[m=0.n]{nC(n-m) * B(n-m)} = Σ[m=0.n]{nCm * B(m)}
ただし,B(0) = B(1) = 1 です。
B(n) の漸化式と,b(n) の漸化式を比べると,確かに同じで,初期値の関係から,
a(n-1) = b(n) = B(n) * e
となっていることが分かります。
以上で,b(n) の,したがって a(n) の,正体が見えました。
しかし,漸化式とその意味は分かったものの,その解を簡単な式で書き下すのは難しそうです。
また,e に絡む無限級数が,ボールの振り分け問題と結びついているとは,不思議な話です。
(考察2)
発展問題を考えていて,ボールの箱への振り分け問題が出てきましたが,
これって似た問題を考えたことあるよな,と思っていたのですが,やっと思い出しました。
第195回数学的な応募問題,でした。少し本題とは離れますが,これとの関係を見ておきます。
まず,発展問題での
n 個の区別できるボールを n 個の区別できない箱に振り分ける場合の数
の地道な計算を振り返って見ましょう。これは,結局,
n 個の区別できるボールを m 個,m = 1 〜 n,の区別できない箱に
空き箱がないように振り分ける場合の数を m
= 1 〜 n で足し上げたもの
になっています。ここで,
n 個の区別できるボールを m 個の区別できない箱に空き箱がないように振り分ける場合の数
を S(n,m) 通りとします。すると,
B(n) = Σ[m=1,n]{S(n,m)}
と書けます。
なお,Webで調べたところ,これには名前があって,第2種のスターリング数というそうです。
さて,S(n,m) は,次のように考えれば漸化式が作れます。
ボールが n+1 個,箱が m+1 個の場合を考え,特定のボール A に注目します。すると,
・A 以外の n 個のボールを m 個の箱に空き箱がないように振り分け A を残りの箱に入れる場合
これは,S(n,m) * 1 =
S(n,m) 通りです。
・A 以外の n 個のボールを m+1 個の箱に空き箱がないように振り分け A をどこかの箱に入れる場合
これは,S(n,m+1) * (m+1)C1
= (m+1) * S(n,m+1) 通りです。
この二つの場合しかないので,
S(n+1,m+1) = S(n,m) + (m+1)
* S(n.m+1)
ただし,S(0,0) = 1,S(n,0) = 0 for n >= 1,S(n,m) = 0 for n
< m としておきます。
これを用いると,先ほどの地道な計算は,パスカルの数三角形風に,
S(1,1) = 1, B(1) = 1
S(2,1) = 1, S(2,2) = 1, B(2)
= 2
S(3,1) = 1, S(3,2) = 3,
S(3,3) = 1, B(3) = 5
S(4,1) = 1, S(4,2) = 7,
S(4,3) = 6, S(4,4) = 1, B(4) = 15
S(5,1) = 1, S(5,2) = 15,
S(5,3) = 25, S(5,4) = 10, S(5,5) = 1, B(5) = 52
S(6,1) = 1, S(6,2) = 31,
S(6,3) = 90, S(6,4) = 65, S(6,5) = 15, S(6,6) = 1, B(6) = 203
...
と,容易に計算できます。
さて,この S(n,m) と,第195回数学的な応募問題との関係を考えてみましょう。
第195回は,結局は,
n 個の区別できるボールを m 個の区別できる箱に空き箱がないように振り分ける場合の数
を求める問題です。ただし,第195回では,n
と m とが逆になっている点に注意。
S(n,m) と比べてみると,違いは,箱を区別する点だけです。
そこで,これを T(n,m) 通りとすると,各 S(n,m) に対して,箱の区別で m! 通りずつあるので,
T(n,m) = S(n,m) * m!
S(n,m) = T(n,m)/m!
になります。T(n,m) を求めるのは結構大変ですが,第195回の結果より,
T(n,m) = [i=0,m-1]{(-1)^i *
mCi * (m-i)^n}
そこで,
S(n,m) = [i=0,m-1]{(-1)^i *
mCi * (m-i)^n} * 1/m!
になります。ただ,あまり計算が楽な形ではないですが (^^; 一応確認すると,
S(1,1) = (1C0 * 1^1)/1! =
1/1 = 1
S(2,1) = (1C0 * 1^2)/1! =
1/1 = 1
S(2,2) = (2C0 * 2^2 - 2C1 *
1^2)/2! = (4 - 2)/2 = 2/2 = 1
S(3,1) = (1C0 * 1^3)/1! =
1/1 = 1
S(3,2) = (2C0 * 2^3 - 2C1 *
1^3)/2! = (8 - 2)/2 = 6/2 = 3
S(3,3) = (3C0 * 3^3 - 3C1 *
2^3 + 3C2 * 1^3)/3! = (27 - 24 + 3)/6 = 6/6 = 1
S(4,1) = (1C0 * 1^4)/1! =
1/1 = 1
S(4,2) = (2C0 * 2^4 - 2C1 *
1^4)/2! = (16 - 2)/2 = 14/2 = 7
S(4,3) = (3C0 * 3^4 - 3C1 *
2^4 + 3C2 * 1^4)/3! = (81 - 48 + 3)/6 = 36/6 = 6
S(4,4) = (4C0 * 4^4 - 4C1 *
3^4 + 4C2 * 2^4 - 4C3 * 1^4)/4!
= (256 - 324 + 96 - 4)/24 =
24/24 = 1
S(5,1) = (1C0 * 1^5)/1! =
1/1 = 1
S(5,2) = (2C0 * 2^5 - 2C1 *
1^5)/2! = (32 - 2)/2 = 30/2 = 15
S(5,3) = (3C0 * 3^5 - 3C1 *
2^5 + 3C2 * 1^5)/3! = (243 - 96 + 3)/6 = 150/6 = 25
S(5,4) = (4C0 * 4^5 - 4C1 *
3^5 + 4C2 * 2^5 - 4C3 * 1^5)/4!
= (1024 - 972 + 192 - 4)/24
= 240/24 = 10
S(5,5) = (5C0 * 5^5 - 5C1 *
4^5 + 5C2 * 3^5 - 5C3 * 2^5 + 5C4 * 1^5)/5!
= (3125 - 5120 + 2430 - 320
+ 5)/120 = 120/120 = 1
S(6,1) = (1C0 * 1^6)/1! =
1/1 = 1
S(6,2) = (2C0 * 2^6 - 2C1 *
1^4)/2! = (64 - 2)/2 = 32/2 = 31
S(6,3) = (3C0 * 3^6 - 3C1 *
2^6 + 3C2 * 1^6)/3! = (729 - 192 + 3)/6 = 540/6 = 90
S(6,4) = (4C0 * 4^6 - 4C1 *
3^6 + 4C2 * 2^6 - 4C3 * 1^6)/4!
= (4096 - 2916 + 384 - 4)/24
= 1560/24 = 65
S(6,5) = (5C0 * 5^6 - 5C1 *
4^6 + 5C2 * 3^6 - 5C3 * 2^6 + 5C4 * 1^6)/5!
= (15625 - 20480 + 7290 -
640 + 5)/120 = 1800/120 = 15
S(6,6) = (6C0 * 6^6 - 6C1 *
5^6 + 6C2 * 4^6 - 6C3 * 3^6 + 6C4 * 2^6 - 6C5 * 1^1)/6!
= (46656 - 93750 + 61440 -
14580 + 960 - 6)/720 = 720/720 = 1
...
確かに一致しています。
そこで,実用的かどうかは疑問ですが,一応,
B(n) = Σ[m=1,n]{S(n,m)} = Σ[m=1,n]{[i=0,m-1]{(-1)^i * mCi * (m-i)^n} *
1/m!}
になりますね。
(考察3)
a(n),b(n) の計算には,(考察1)で使った微分による計算も可能です。
(考察1)の(3)と同様に考えて,
b(n+1) = a(n) = Σ[k=0,∞]{(k+1)^n/k!} = [(d/dx * (x * ))^n * (e^x)]x=1
と書けます。ここで,(d/dx * (x *
))^n * ... は,
まず x をかけ,それを x で微分する,という操作を n 回行うことを意味する,とします。
(d/dx * (x * ))^(n+1) * ...
= (d/dx * (x * (d/dx * (x * ))^n * ... ))
がいえるので,b(n+1) の計算には b(n) の計算の途中の結果が使えます。
実際に計算してみると,
b(1) = a(0) = [(d/dx * (x *
))^0 * (e^x)]x=1 = [e^x]x=1 = e^1 = e
b(2) = a(1) = [(d/dx * (x *
))^1 * (e^x)]x=1
= [d(x * e^x)/dx]x=1
= [(e^x + x * e^x)]x=1 = [(1
+ x) * e^x]x=1
= (1 + 1) * e^1 = 2e
b(3) = a(2) = [(d/dx * (x *
))^2 * (e^x)]x=1
= [d(x * ((d/dx * (x * ))^1
* (e^x)))/dx]x=1
= [d(x * ((1 + x) *
e^x))/dx]x=1
= [d((x + x^2) * e^x)/dx]x=1
= [((1 + 2x) * e^x + (x + x^2)
* e^x)]x=1 = [(1 + 3x + x^2) * e^x]x=1
= (1 + 3 + 1) * e^1 = 5e
b(4) = a(3) = [(d/dx * (x *
))^3 * (e^x)]x=1
= [d(x * ((d/dx * (x * ))^2
* (e^x)))/dx]x=1
= [d(x * ((1 + 3x + x^2) *
e^x))/dx]x=1
= [d((x + 3x^2 + x^3) *
e^x)/dx]x=1
= [((1 + 6x + 3x^2) * e^x +
(x + 3x^2 + x^3) * e^x)]x=1
= [(1 + 7x + 6x^2 + x^3) *
e^x]x=1
= (1 + 7 + 6 + 1) * e^1 =
15e
b(5) = a(4) = [(d/dx * (x *
))^4 * (e^x)]x=1
= [d(x * ((d/dx * (x * ))^3
* (e^x)))/dx]x=1
= [d(x * ((1 + 7x + 6x^2 +
x^3) * e^x))/dx]x=1
= [d((x + 7x^2 + 6x^3 + x^4)
* e^x)/dx]x=1
= [((1 + 14x + 18x^2 + 4x^3)
* e^x + (x + 7x^2 + 6x^3 + x^4) * e^x)]x=1
= [(1 + 15x + 25x^2 + 10x^3
+ x^4) * e^x]x=1
= (1 + 15 + 25 + 10 + 1) *
e^1 = 52e
b(6) = a(5) = [(d/dx * (x *
))^5 * (e^x)]x=1
= [d(x * ((d/dx * (x * ))^4
* (e^x)))/dx]x=1
= [d(x * ((1 + 15x + 25x^2 +
10x^3 + x^4) * e^x))/dx]x=1
= [d((x + 15x^2 + 25x^3 +
10x^4 + x^5) * e^x)/dx]x=1
= [((1 + 30x + 75x^2 + 40x^3
+ 5x^4) * e^x + (x + 15x^2 + 25x^3 + 10x^4 + x^5) * e^x)]x=1
= [(1 + 31x + 90x^2 + 65x^3
+ 15x^4 + x^5) * e^x]x=1
= (1 + 31 + 90 + 65 + 15 +
1) * e^1 = 203e
...
確かに一致しています。
しかも,計算に現れる x の多項式の係数は,第2種のスターリング数,S(n,m) になっています。
これは,b(n) = a(n-1) で現れる x の多項式は,
n >= 1 で Σ[m=0,n-1]{s(n,m+1)
* x^m} とおけて,c(n,m) = 0 for n < m がいえていて,
b(0) = e より,s(0,0) = 1,です。
ここで,s(n,m+1) という設定が一見奇妙ですが,S(n,m) と比較する場合,
S(n,m) では m = 1 〜 n ですが,多項式の方は m = 0 〜 n-1 とずれているので,
対応をつけやすくするために,敢えて,こうおいています。
そこで,n ≠ 0 のときは s(n,0) = 0 としておきます。
さて,この多項式 * e^x に ((d/dx * (x * )) を行うと。
((d/dx * (x * ))((Σ[m=0,n-1]{s(n,m+1) *
x^m}) * e^x)
= (d/dx)((Σ[m=0,n]{s(n,m+1) *
x^(m+1)}) * e^x)
= (Σ[m=0,n-1]{s(n,m+1) *
(m+1) * x^m}) * e^x + (Σ[m=0,n-1]{s(n,m+1) * x^(m+1)})
* e^x
= (Σ[m=0,n-1]{s(n,m+1) *
(m+1) * x^m}) * e^x + (Σ[m=1,n]{s(n,m) * x^m}) * e^x
= (Σ[m=0,n]{(s(n,m) +
s(n,m+1) * (m+1)) * x^m}) * e^x
これが,b(n+1) = a(n) に現れる多項式と等しいので,
= (Σ[m=0,n]{s(n+1,m+1) *
x^m}) * e^x
そこで,
s(n+1,m+1) = s(n,m) + (m+1)
* s(n,m+1)
これは,S(n,m) の漸化式
S(n+1,m+1) = S(n,m) + (m+1)
* S(n.m+1)
と一致します。初期値も一致しているので,確かに,s(n,m) = S(n,m) になります。
微分による計算に関しては,
d((e^x)^k)/dx = d(e^(kx))/dx
= k * e^(kx) = k * (e^x)^k
に注意すると,
a(n-1) = b(n) = Σ[k=0,∞]{k^n/k!}
= [Σ[k=0,∞]{(k^n * (e^x)^k)/k!}]x=0
= [(d/dx)^n * (Σ[k=0,∞]{(e^x)^k/k!})]x=0
= [(d/dx)^n * (e^(e^x))]x=0
とも書けます。ここで,f(x) =
e^(e^x) をマクローリン展開すると,
e^(e^x) = f(x) = Σ[k=0,∞]{f^{k}(0)/k! * x^k}
f^{k}(0) = [(d/dx)^k *
(e^(e^x))]x=0
と書けるので,a(n-1) = b(n) は,e^(e^x) を指数型母関数と見たときの係数になっています。
実際,
b(0) = [(d/dx)^0 *
(e^(e^x))]x=0 = [e^(e^x)]x=0 = e
a(0) = b(1) = [(d/dx)^1 *
(e^(e^x))]x=0
= [d(e^(e^x))/dx]x=0 =
[e^(e^x) * e^x]x=0 = e
a(1) = b(2) = [(d/dx)^2 *
(e^(e^x))]x=0
= [d(e^(e^x) * e^x)/dx]x=0
= [e^(e^x) * e^(2x) +
e^(e^x) * e^x]x=0
= [e^(e^x) * (e^x +
e^(2x))]x=0
= e * (1 + 1) = 2e
a(2) = b(3) = [(d/dx)^3 *
(e^(e^x))]x=0
= [d(e^(e^x) * (e^x + e^(2x)))/dx]x=0
= [e^(e^x) * e^x * (e^x +
e^(2x)) + e^(e^x) * (e^x + 2e^(2x))]x=0
= [e^(e^x) * (e^x + 3e^(2x)
+ e^(3x))]x=0
= e * (1 + 3 + 1) = 5e
a(3) = b(4) = [(d/dx)^4 *
(e^(e^x))]x=0
= [d(e^(e^x) * (e^x +
3e^(2x) + e^(3x)))/dx]x=0
= [e^(e^x) * e^x * (e^x +
3e^(2x) + e^(3x))
+ e^(e^x) * (e^x + 6e^(2x) +
3e^(3x))]x=0
= [e^(e^x) * (e^x + 7e^(2x)
+ 6e^(3x) + e^(4x))]x=0
= e * (1 + 7 + 6 + 1) = 15e
a(4) = b(5) = [(d/dx)^5 *
(e^(e^x))]x=0
= [d(e^(e^x) * (e^x +
7e^(2x) + 6e^(3x) + e^(4x)))/dx]x=0
= [e^(e^x) * e^x * (e^x +
7e^(2x) + 6e^(3x) + e^(4x))
+ e^(e^x) * (e^x + 14e^(2x)
+ 18e^(3x) + 4e^(4x))]x=0
= [e^(e^x) * (e^x + 15e^(2x)
+ 25e^(3x) + 10e^(4x) + e^(5x))]x=0
= e * (1 + 15 + 25 + 10 + 1)
= 52e
a(5) = b(6) = [(d/dx)^6 *
(e^(e^x))]x=0
= [d(e^(e^x) * (e^x +
15e^(2x) + 25e^(3x) + 10e^(4x) + e^(5x)))/dx]x=0
= [e^(e^x) * e^x * (e^x +
15e^(2x) + 25e^(3x) + 10e^(4x) + e^(5x))
+ e^(e^x) * (e^x + 30e^(2x)
+ 75e^(3x) + 40e^(4x) + 5e^(5x))]x=0
= [e^(e^x) * (e^x + 31e^(2x)
+ 90e^(3x) + 65e^(4x) + 15e^(5x) + e^(6x))]x=0
= e * (1 + 31 + 90 + 65 + 15
+ 1) = 203e
...
確かに一致しています。
しかも,計算に第2種のスターリング数,S(n,m),が現れますが,
(e^(kx))' = k * e^(kx) と ((d/dx * (x * ) * とが,計算としてはほとんど同じなので,
これは,明らかでしょう。
なお,B(n) = b(n)/e なので,このことから,
e^(e^x - 1) がベル数の指数型母関数になっていることも分かります。
(考察4)
今までの議論で,今回の問題の(1)と(3)は大分様子がつかめましたが,(2)はどうでしょうか?
そこで,c(n) = Σ[k=1,∞]{k^n/(k+1)!} として少し調べてみましょう。
c(0) = Σ[k=1,∞]{1/(k+1)!} = Σ[k=2,∞]{1/k!} = Σ[k=0,∞]{1/k!}
- 1 - 1 = e - 2
n >= 1 のときは,
c(n) = Σ[k=1,∞]{k^n/(k+1)!}
= Σ[k=0,∞]{k^n/(k+1)!}
= Σ[k=1,∞]{(k-1)^n/k!}
= Σ[k=1,∞]{Σ[j=0,n]{(-1)^j * nCj * k^(n-j)}/k!}
= Σ[j=0,n]{(-1)^j * nCj
* Σ[k=1,∞]{k^(n-j)/k!}}
= Σ[j=0,n-1]{(-1)^j *
nCj * Σ[k=1,∞]{k^(n-j)/k!}} +
(-1)^n * Σ[k=1,∞]{1/k!}
= Σ[j=0,n-1]{(-1)^j *
nCj * Σ[k=0,∞]{k^(n-j)/k!}} +
(-1)^n * (Σ[k=0,∞]{1/k!} - 1)
= Σ[j=0,n]{(-1)^j * nCj
* Σ[k=0,∞]{k^(n-j)/k!}} +
(-1)^(n+1)
= Σ[j=0,n]{(-1)^j * nCj
* b(n-j)} + (-1)^(n+1)
となって,c(n) は b(n) で書くことができます。計算してみると,
c(1) = 1C0 * b(1) - 1C1 *
b(0) + 1 = 1 * e - 1 * e + 1 = 1
c(2) = 2C0 * b(2) - 2C1 * b(1)
+ 2C2 * b(0) - 1
= 1 * 2e - 2 * e + 1 * e - 1
= e - 1
c(3) = 3C0 * b(3) - 3C1 *
b(2) + 3C2 * b(1) - 3C3 * b(0) + 1
= 1 * 5e - 3 * 2e + 3 * e -
1 * e + 1 = e + 1
c(4) = 4C0 * b(4) - 4C1 *
b(3) + 4C2 * b(2) - 4C3 * b(1) + 4C4 * b(0) - 1
= 1 * 15e - 4 * 5e + 6 * 2e
- 4 * e + 1 * e - 1 = 4e - 1
c(5) = 5C0 * b(5) - 5C1 *
b(4) + 5C2 * b(3) - 5C3 * b(2) + 5C4 * b(1) - 5C5 * b(0) + 1
= 1 * 52e - 5 * 15e + 10 *
5e - 10 * 2e + 5 * e - 1 * e + 1 = 11e + 1
c(6) = 6C0 * b(6) - 6C1 *
b(5) + 6C2 * b(4) - 6C3 * b(3) + 6C4 * b(2) - 6C5 * b(1) + 6C6 * b(0) - 1
= 1 * 203e - 6 * 52e + 15 *
15e - 20 * 5e + 15 * 2e - 6 * e + 1 * e - 1 = 41e - 1
...
となります。ただ,残念ながら,これに何か意味があるのかは分かっていません。
なお,今までの議論で,
b(j+1) = B(j+1) * e = Σ[m=0.j]{jCm * B(m)} *
e = Σ[m=0.j]{jCm * b(m)}
b(j) = B(j) * e = Σ[m=1,j]{[i=0,m-1]{(-1)^i * mCi * (m-i)^j} * 1/m!} * e
と書けるので,これらを使うと何かいえるかも知れませんが,分かっていません。
(感想)
今回の最初の問題自体は,前回よりも易しかったように思います。
いろいろな計算方法があると思いますが,取り敢えず,思い付いた方法でやってみました。
なお,(1)と(3)に関係する水の流れさんのメールによる発展問題も追加しました。
残念ながら,簡単な式で書き下すことはできませんでしたが,値の興味深い意味付けを発見できました。
奥深く,また,不思議ですね...
一方,(2)の方は,(1)と関係があることは分かりましたが,その正体はよく分かっていません。
何かあるのかなぁ...
NO2「スモークマン」1 10/18 18時15分受信
更新11/7
今回はなんとかできた気がする...^^...?
(2) n^2/(n+1)!={(n^2-1)+1}/(n+1)!
=(n-1)/n!+1/(n+1)!
=1/(n-1)!+1/(n+1)!-1/n!
1/1+1/2!-1/1!
1/1!+1/3!-1/2!
1/2!+1/4!-1/3!
...
1/1!+1/2!+1/3!+...=e-1
でいいのかな...^^v?
「スモークマン」2 10/20 16時44分受信
更新11/7
(1) n^2/n!=n/(n-1)!
=1/(n-2)!+1/(n-1)!
n≧2...与式の第1項は...e
第2項はn≧1のとき...e
つまり...2e
ってことかな...?
(3) n^2/(n-1)!={(n^2-1)+1}/(n-1)!
=(n+1)/(n-2)!+1/(n-1)!
=(n-2+3)/(n-2)!+1/(n-1)!
=1/(n-3)!+3/(n-2)!+1/(n-1)!...上と同様に考えれば...全
ての項は...eになるので...
=e+3e+e
=5e
でいいのかな...^^v?
NO3「ぐーてん」 11/04 15時44分受信
更新11/7
(1)

(2)

(3)

ちなみに、(3)よりただちに、

つまり、

この先は式の計算が大変になるのでエクセルで計算したところ、eの係数は、
{1,2,5,15,52,203,877,4,140,21,147,115,975
…} となりました。
一般項を類推してみようと思いましたが分かりませんでした。カタラン数とも違うようですし。
<水の流れ:残念ですが、カタラン数ではありません。結構有名な数列で、人の名前がついていますよ。>
NO4「MVH」 11/06 15時42分受信 更新11/7

<全体のコメント:この問題(3)の拡張が応募問題第46回にあります。 解答を参考にしてください。>
皆さん、答えがわかったら、一部でも構いませんから、解答とペンネームを添えて、
メールで送ってください。待っています。