平成22年11月28日

[流れ星]

     第249回数学的な応募問題解答

      <解答募集期間:117日〜1128

[無限級数の美しさ(3)

先日、青土社出版「πとeの話」を読んでいたら、無限級数の美しさと不思議さを見

けました。皆さんに紹介します。3回目です。

 

 

NO1uchinyan  11/07 1403分受信 更新11/28

  第249回数学的な応募問題

[無限級数の美しさ(3)

 

題意にあるように,今回も,以下では,

Σ[n=0,]{1/n!} = e

を認め,さらに,第247回,第248回の値を既知として議論します。

また,これらの無限級数は,一様絶対収束することが知られているので,

級数の計算などは,有限項の演算の場合と同じようにできる前提で議論します。

 

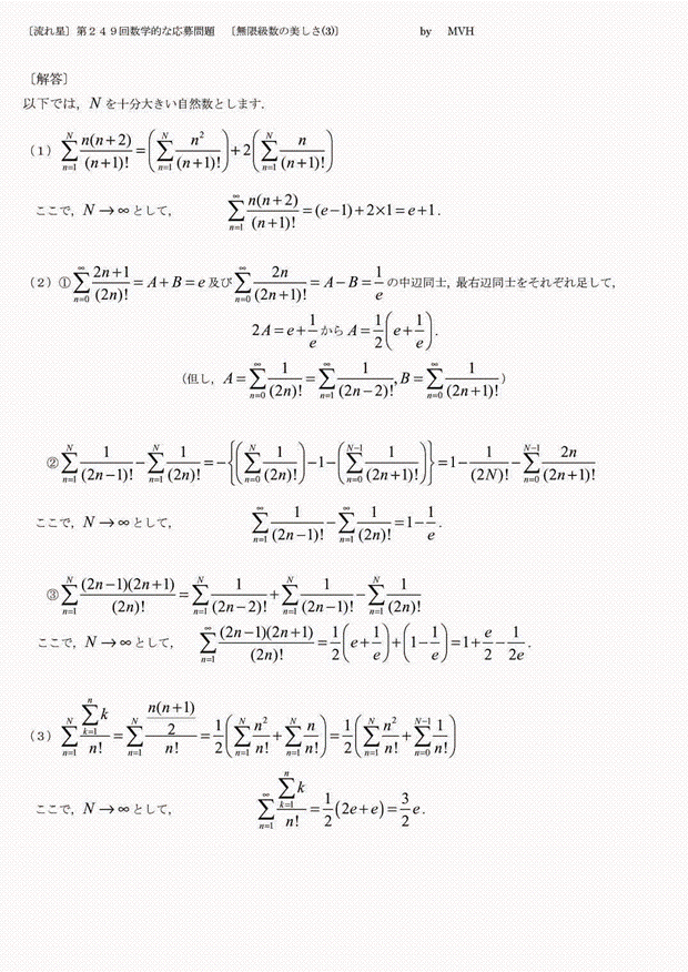
(1)

Σ[n=1,]{n(n+2)/(n+1)!}

= Σ[n=1,]{((n+1)^2 - 1)/(n+1)!}

= Σ[n=1,]{(n+1)^2/(n+1)!} - Σ[n=1,]{1/(n+1)!}

= Σ[n=1,]{(n+1)/n!} - Σ[n=1,]{1/(n+1)!}

= Σ[n=1,]{n/n!} + Σ[n=1,]{1/n!} - Σ[n=1,]{1/(n+1)!}

= Σ[n=1,]{1/(n-1)!} + Σ[n=1,]{1/n!} - Σ[n=1,]{1/(n+1)!}

= Σ[n=0,]{1/n!} + (Σ[n=0,]{1/n!} - 1) - (Σ[n=0,]{1/n!} - 1 - 1)

= e + (e - 1) - (e - 2)

= e + 1

 

(2)

(2-1)

前提より,

Σ[n=0,]{1/n!} = e

Σ[n=1,]{1/(2n-2)!} + Σ[n=1,]{1/(2n-1)!} = e

247回の(3)より,

Σ[n=0,]{2n/(2n+1)!} = 1/e

Σ[n=1,]{(2n-2)/(2n-1)!} = 1/e

Σ[n=1,]{((2n-1) - 1)/(2n-1)!} = 1/e

Σ[n=1,]{(2n-1)/(2n-1)! - Σ[n=1,]{1/(2n-1)!} = 1/e

Σ[n=1,]{1/(2n-2)!} - Σ[n=1,]{1/(2n-1)!} = 1/e

そこで,

Σ[n=1,]{1/(2n-2)!} = (e + 1/e)/2 = e/2 + 1/2e

ついでに (^^;

Σ[n=1,]{1/(2n-1)!} = (e - 1/e)/2 = e/2 - 1/2e

 

(2-2)

Σ[n=1,]{1/(2n-1)!} - Σ[n=1,]{1/(2n)!}

= Σ[n=1,]{1/(2n-1)!} - (Σ[n=0,]{1/(2n)!} - 1)

= Σ[n=1,]{1/(2n-1)!} - Σ[n=1,]{1/(2n-2)!} + 1

(2-1)の二番目の式より,

= 1 - 1/e

 

(2-3)

Σ[n=1,]{(2n-1)(2n+1)/(2n)!}

= Σ[n=1,]{((2n)^2 - 1)/(2n)!}

= Σ[n=1,]{(2n)^2/(2n)!} - Σ[n=1,]{1/(2n)!}

= Σ[n=1,]{2n/(2n-1)!} - Σ[n=1,]{1/(2n)!}

= Σ[n=1,]{((2n-1) + 1)/(2n-1)!} - Σ[n=1,]{1/(2n)!}

= Σ[n=1,]{(2n-1)/(2n-1)!} + Σ[n=1,]{1/(2n-1)!} - Σ[n=1,]{1/(2n)!}

= Σ[n=1,]{1/(2n-2)!} + Σ[n=1,]{1/(2n-1)!} - Σ[n=1,]{1/(2n)!}

= (e + 1/e)/2 + (1 - 1/e)

= (e - 1/e)/2 + 1

= e/2 + 1 - 1/2e

 

(3)

Σ[n=1,]{Σ[k=1,n]{k}/n!}

= Σ[n=1,]{(n(n+1)/2)/n!}

= (Σ[n=1,]{((n+1)/(n-1)!})/2

= (Σ[n=1,]{((n-1) + 2)/(n-1)!})/2

= (Σ[n=1,]{((n-1)/(n-1)!} + 2 * Σ[n=1,]{1/(n-1)!})/2

= (Σ[n=2,]{(1/(n-2)!} + 2 * Σ[n=1,]{1/(n-1)!})/2

= (Σ[n=0,]{(1/n!} + 2 * Σ[n=0,]{1/n!})/2

= 3/2 * Σ[n=0,]{1/n!}

= 3e/2

 

(考察)

e^x のマクローリン展開,

Σ[n=0,]{x^n/n!} = e^x

が使えれば...

 

(1)

1 + Σ[n=1,]{x^n/n!} = e^x

1 + Σ[n=0,]{x^(n+1)/(n+1)!} = e^x

Σ[n=0,]{x^(n+1)/(n+1)!} = e^x - 1

x * Σ[n=0,]{x^(n+1)/(n+1)!} = Σ[n=0,]{x^(n+2)/(n+1)!}

d(x * Σ[n=0,]{x^(n+1)/(n+1)!})/dx = Σ[n=0,]{(n+2)/(n+1)! * x^(n+1)}

(d(x * Σ[n=0,]{x^(n+1)/(n+1)!})/dx)/x = Σ[n=0,]{(n+2)/(n+1)! * x^n}

d((d(x * Σ[n=0,]{x^(n+1)/(n+1)!})/dx)/x)/dx = Σ[n=1,]{n(n+2)/(n+1)! * x^(n-1)}

より,

Σ[n=1,]{n(n+2)/(n+1)!}

= [d((d(x * Σ[n=0,]{x^(n+1)/(n+1)!})/dx)/x)/dx]x=1

= [d((d(x * (e^x - 1))/dx)/x)/dx]x=1

= [d(((x + 1) * e^x - 1)/x)/dx]x=1

= [((x + 2) * e^x * x - ((x + 1) * e^x - 1))/x^2]x=1

= ((1 + 2) * e^1 * 1 - ((1 + 1) * e^1 - 1))/1^2

= 3e - (2e - 1)

= e + 1

 

(2)

(2-1)

Σ[n=0,]{x^n/n!} = e^x

Σ[n=1,]{x^(2n-2)/(2n-2)!} + Σ[n=1,]{x^(2n-1)/(2n-1)!} = e^x

x -> -x として,

Σ[n=1,]{x^(2n-2)/(2n-2)!} - Σ[n=1,]{x^(2n-1)/(2n-1)!} = e^(-x)

そこで,

Σ[n=1,]{x^(2n-2)/(2n-2)!} = (e^x + e^(-x))/2 = cosh(x)

Σ[n=1,]{x^(2n-1)/(2n-1)!} = (e^x - e^(-x))/2 = sinh(x)

これより,

Σ[n=1,]{1/(2n-2)!} = [(e^x + e^(-x))/2]x=1 = (e + 1/e)/2 = e/2 + 1/2e

ついでに (^^;

Σ[n=1,]{1/(2n-1)!} = [(e^x - e^(-x))/2]x=1 = (e - 1/e)/2 = e/2 - 1/2e

 

(2-2)

Σ[n=1,]{1/(2n-1)!} - Σ[n=1,]{1/(2n)!}

= Σ[n=1,]{1/(2n-1)!} - (Σ[n=1,]{1/(2n-2)!} - 1)

= Σ[n=1,]{1/(2n-1)!} - Σ[n=1,]{1/(2n-2)!} + 1

= [(e^x - e^(-x))/2]x=1 - [(e^x + e^(-x))/2]x=1 + 1

= (e - 1/e)/2 - (e + 1/e)/2 + 1

= 1 - 1/e

 

(2-3)

Σ[n=1,]{x^(2n-2)/(2n-2)!} = (e^x + e^(-x))/2 = cosh(x)

Σ[n=0,]{x^(2n)/(2n)!} = cosh(x)

x * Σ[n=0,]{x^(2n)/(2n)!} = Σ[n=0,]{x^(2n+1)/(2n)!}

d(x * Σ[n=0,]{x^(2n)/(2n)!})/dx = Σ[n=0,]{(2n+1)/(2n)! * x^(2n)}

d(x * Σ[n=0,]{x^(2n)/(2n)!})/dx = Σ[n=1,]{(2n+1)/(2n)! * x^(2n)} + 1

d(x * Σ[n=0,]{x^(2n)/(2n)!})/dx - 1 = Σ[n=1,]{(2n+1)/(2n)! * x^(2n)}

(d(x * Σ[n=0,]{x^(2n)/(2n)!})/dx - 1)/x = Σ[n=1,]{(2n+1)/(2n)! * x^(2n-1)}

d((d(x * Σ[n=0,]{x^(2n)/(2n)!})/dx - 1)/x)/dx = Σ[n=1,]{(2n-1)(2n+1)/(2n)! * x^(2n-2)}

より,

Σ[n=1,]{(2n-1)(2n+1)/(2n)!}

= [d((d(x * Σ[n=0,]{x^(2n)/(2n)!})/dx - 1)/x)/dx]x=1

= [d((d(x * cosh(x))/dx - 1)/x)/dx]x=1

= [d(cosh(x) + x * sinh(x) - 1)/x)/dx]x=1

= [((2 * sinh(x) + x * cosh(x)) * x - (cosh(x) + x * sinh(x) - 1))/x^2]x=1

= ((2 * sinh(1) + 1 * cosh(1)) * 1 - (cosh(1) + 1 * sinh(1) - 1))/1^2

= sinh(1) + 1

= (e - 1/e)/2 + 1

= e/2 + 1 - 1/2e

 

(3)

Σ[n=1,]{Σ[k=1,n]{k}/n!}

= Σ[n=1,]{(n(n+1)/2)/n!}

= (Σ[n=1,]{n(n+1)/n!})/2

としておいて,

x * e^x = x * Σ[n=0,]{x^n/n!} = Σ[n=0,]{x^(n+1)/n!}

d(Σ[n=0,]{x^(n+1)/n!})/dx = Σ[n=0,]{(n+1)/n! * x^n}

d(d(Σ[n=0,]{x^(n+1)/n!})/dx)/dx = Σ[n=1,]{n(n+1)/n! * x^(n-1)}

より,

Σ[n=1,]{Σ[k=1,n]{k}/n!}

= (Σ[n=1,]{n(n+1)/n!})/2

= ([d(d(Σ[n=0,]{x^(n+1)/n!})/dx)/dx]x=1)/2

= ([d(d(x * e^x)/dx)/dx]x=1)/2

= ([d((x + 1) * e^x)/dx]x=1)/2

= ([(x + 2) * e^x)]x=1)/2

= ((1 + 2) * e^1)/2

= 3e/2

 

確かに一致しています。

 

(感想)

今回も前々回,前回の続きでしたね。確かにいろいろと計算できるのは興味深いですが,

失礼ながら,三回続くと,さすがに飽きてきたかも (^^;

今回もいろいろな計算方法があると思いますが,取り敢えず,思い付いた方法でやってみました。

 

No2「スモークマン」1   11/12 0256分受信 更新11/28

 (1) {(n+1)-1}{(n+1)+1}/(n+1)!={(n+1)^2-1}/(n+1)!
                                               =(n+1)/n!-1/(n+1)!
                                               =1/(n-1)!+1/n!-1/(n+1)!
                                               =e+e-1-(e-2)
                                               =e+1
眠くなって来たのでチャオ...Orz...

 

 

 

「スモークマン」2   11/13 0030分受信 更新11/28 

 

(2)-1

 1-1+1/2!-1/3!+1/4!-1/5!+1/6!-...=1/e
1+1+1/2!+1/3!+1/4!+1/5!+1/6!+1/7!+1/8!+...=e

 1+1/2!+1/4!+1/6!+1/8!+...=(1/e+e)/2

(2)-2

(1/1!+1/3!+1/5!+...)-(1/2!+1/4!+1/6!+...)=(e-1/e)/2-{(1/e+e)/2-1}
                                                                     =1-1/e
 
(2)-3

(2n-1)(2n+1)/(2n)!
={(2n)^2-1}/(2n)!
=2n/(2n-1)!-1/(2n)!
=(2n-1+1)/(2n-1)!-1/(2n)!
=1/(2n-2)!+1/(2n-1)!-1/(2n)!
=(e+1/e)/2+(1-1/e)-{(e+1/e)/2-1}
=2-1/e

 

<水の流れコメント:(2)-2を使って -{(e+1/e)/2-1} ・・・これ余分でいらない
したがって、答えは・・・>
 


 (3) 1/1!+(1+2)/2!+(1+2+3)/3!+(1+2+3+4)/4!+...
  =Σ{n(n+1)/2*n!}
  =Σ{(1/2)*(n^2/n!+1/(n-1)!} ←前回247回の(1)Σn^2/n!=2e より ^^
(or...
   =
Σ(1/2)*{n/(n-1)!+1/(n-1)!}
   =
Σ(1/2)* {((n-1)+1)/(n-1)!+1/(n-1)!}
   =
Σ(1/2)*{1/(n-2)!+2/(n-1)!}       )...

   =(1/2)(2e+e)
    =3e/2

こんどはあってるかなぁ...^^;?...Orz~
(-1)!
とかは...存在しない(意味のない)ものと考えればいいってことになるのでしょうね...^^;?

 

No3MVH   11/27 2348分受信 更新11/28

 

 

 

皆さん、答えがわかったら、一部でも構いませんから、解答とペンネームを添えて、
メールで送ってください。待っています。