平成23年2月20日
[流れ星]
第253回数学的な応募問題解答
<解答募集期間:1月30日〜2月20日
[格子点の数]
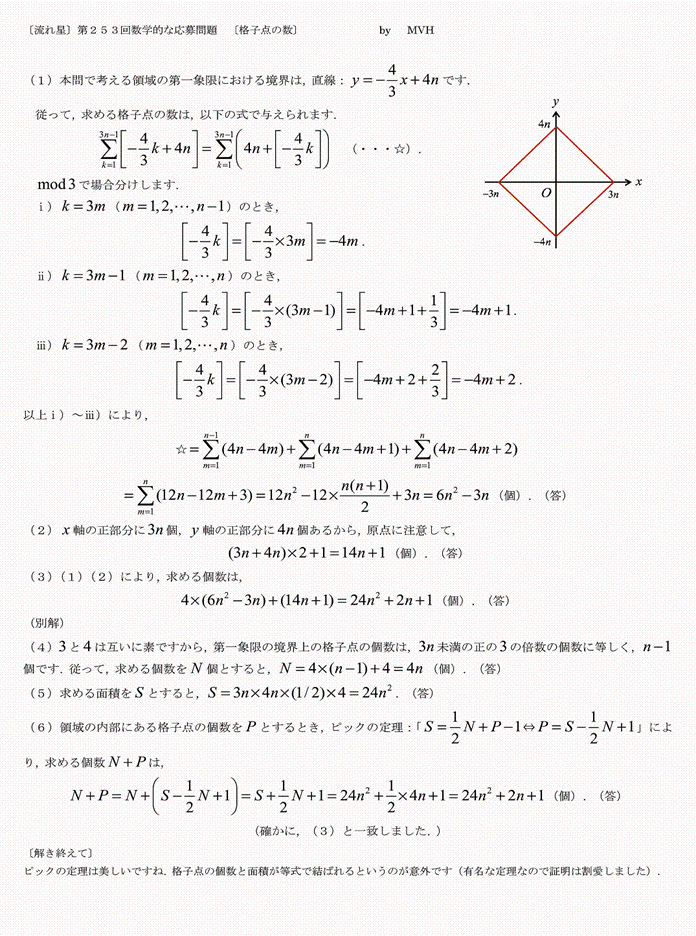
nを正の整数とする。座標平面上の点(x,y)が不等式4|x|+3|y|≦12nを満たす領域について、次の問に答えよ。なお、x,yがともに整数である点(x,y)を格子点という。また、|x|は絶対値xを表す記号です。
(1)最初に、x,yがともに自然数であるときの格子点の数をnで表せ。
(2)領域にあって、両座標軸上の格子点の数をnで表せ。
(3)領域にあるすべて格子点の数をnで表せ。
さらに、別な解法として
(4)境界線上の格子点の数をnで表せ。
(5)領域の面積を求めよ。
(6)(4),(5)を利用して、領域にあるすべて格子点の数をnで表せ。
NO1「uchinyan」 01/30 14時43分受信 更新2/20
4|x|
+ 3|y| <= 12n,n は自然数
(1)
x,y を自然数とします。すると,
0
< 4x + 3y <= 12n
0
< 1 <= y <= 4n - 4/3 * x
そこで,1 <= x <= 3n-1 で,k を自然数として,
x =
3k-2 のとき,y
= 1, 2, ..., 4n-4k+2
x =
3k-1 のとき,y
= 1, 2, ..., 4n-4k+1
x =
3k のとき,y
= 1, 2, ..., 4n-4k
これより,k = n のとき 4n-4k = 0 なので,格子点の数は,
Σ[k=1,n]{(4n-4k+2) + (4n-4k+1) + (4n-4k)}
= Σ[k=1,n]{12(n-k) + 3}
=
12 * n(n-1)/2 + 3n
=
3n(2n-1) 個
になります。
(2)
x 軸上は y = 0 なので,4|x| <= 12n,-3n <= x <= 3n で,6n+1 個。
y 軸上は x = 0 なので,3|y| <= 12n,-4n <= y <= 4n で,8n+1 個。
ここで,原点(0,0) を重複して数えているので,座標軸上の格子点の数は,
(6n+1)
+ (8n+1) - 1 = 14n+1 個
になります。
(3)
(1)で x,y が自然数ということは,座標平面上では座標軸を除いた第1象限ということです。
一方で,4|x| + 3|y| = 12n のグラフは x 軸,y 軸に対称なので,
領域内のすべての格子点の数は,
3n(2n-1)
* 4 + (14n+1) = 24n^2 + 2n + 1 個
になります。
(4)
境界線は 4|x| + 3|y| = 12n で x 軸,y 軸に対称です。
そこで,両端を調整すれば,0 <= x <= 3n-1 を考え,4 倍すればいいです。
0
<= x <= 3n-1 では,4x + 3y = 12n,y = 4n - 4/3 * x なので,
k を自然数として x = 3k の場合のみ格子点は存在し,
(0,4n),
(3,4(n-1)), ..., (3(n-1),4) の n 個。
そこで,すべての境界線上の格子点の数は,4n 個,になります。
(5)
4|x|
+ 3|y| = 12n のグラフは x 軸,y 軸に対称なので,
x 軸,y 軸,4x + 3y = 12n で囲まれる三角形の面積の 4 倍が領域の面積になります。
そこで,3n * 4n * 1/2 * 4 = 24n^2,になります。
(6)
面積から内部の格子点の数を求めるには,次のピックの定理を使うのがいいでしょう。
多角形の内部にある格子点の個数を I,辺上にある格子点の個数を B とすると
多角形の面積 S = I + B/2 - 1
証明はそれほど難しくはないですが面倒ですし,Webで探せば容易に見つかるので省略します。
例えば,Wikipediaの
http://ja.wikipedia.org/wiki/%E3%83%94%E3%83%83%E3%82%AF%E3%81%AE%E5%AE%9A%E7%90%86
など。
そこで,これを使うと,S = 24^2,B = 4n なので,
24n^2
= I + (4n)/2 - 1
I =
24n^2 - 2n + 1
ここで求める領域は,4|x| + 3|y| <= 12n で,境界を含むので,B を足して,
I +
B = 24n^2 + 2n + 1 個
になります。
当然ですが,(3)の結果と一致します。
(感想)
ピックの定理は興味深い定理であるだけでなく,使い勝手もいい定理ですね。
こういう問題では力を発揮します。
NO2「スモークマン」 02/04 05時41分受信
「スモークマン」 02/04 18時20分受信
「スモークマン」 02/05 18時39分受信 更新2/20
最初に、x,yがともに自然数であるときの格子点の数をnで表せ。
(1) y=-4x/3=3n だから...
長方形 4n x 3n で考えると…
対角線上には... [4n/3]-1 個の格子点
長方形内部には (4n-1)*(3n-1)=12n^2-7n+1 個の格子点
けっきょく…
{12n^2-7n+1-([4n/3]-1)}/2+([4n/3]-1)
=(12n^2-7n+[4n/3])/2
(2)領域にあって、両座標軸上の格子点の数をnで表せ。
2*(4n+3n)+1=14n+1
(3)領域にあるすべての格子点の数をnで表せ。


4*(12n^2-7n+[4n/3])/2+14n+1
=24n^2+2[4n/3]+1
さらに、別な解法として
(4)境界線上の格子点の数をnで表せ。
自然数の場合の数に両先端の2個を加えて...[4n/3]-1+2=[4n/3]+1
4隅が重複してるから...-4
4*([4n/3]+1)-4=4*[4n/3]
(5)領域の面積を求めよ。
8n*6n/2=24n^2
(6)(4),(5)を利用して、領域にあるすべて格子点の数をnで表せ。
ピックの定理を使う…^^
「多角形の内部にある格子点の個数を i、辺上にある格子点の個数を b とするとこ
の種の多角形の面積 S は以下の式で求められる。
S=i +b/2-1 」
24n^2=i+4*[4n/3]/2-1
i=24n^2-2[4n/3]+1
つまり…
領域内の格子点は…辺上の点を加えて...
i+b=24n^2-2[4n/3]+1+4*[4n/3]
=24n^2+2[4n/3]+1
で...一致する式が得られる...♪
NO3「MVH」 02/19 15時44分受信 更新2/20

<水の流れ:27年前に勤めていたとき、同僚からピックの公式を教えてもらいました。
当時は「なぜなの?」と思いつつ大変な驚きでした。証明はここをクリックください。
http://www2.ocn.ne.jp/~mizuryu/kadai/kadai9kaitou.html >
皆さん、答えがわかったら、一部でも構いませんから、解答とペンネームを添えて、
メールで送ってください。待っています。