平成23年4月24日
[流れ星]
第256回数学的な応募問題解答
<解答募集期間:4月3日〜4月24日
[屋根型の体積]
1997年の青山学院高等部の問題を改題して出題します。
1辺が6cmの正四面体A−BCDがあり、辺AB,AC,DB,DCを1:2に内分する点をそれぞれE,F,P,Qとおく。面EFQPで切り取られる頂点Aを含む側の部分の体積を求めよ。ちなみに、EF,PQを通り、面EPQFと垂直な面がADと交わる点をそれぞれG,Rとします。

また、一般に正四面体A−BCDの体積をVとし、辺AB,AC,DB,DCを1:(x−1)に内分する点をそれぞれE,F,P,Qとおき、面EFQPで切り取られる頂点Aを含む側の部分の体積をTとしたとき、V:Tの比をxで表せ。
NO1「uchinyan」 04/03 13時53分受信
「uchinyan」 04/04 13時37分受信 更新4/24
第256回数学的な応募問題
[屋根型の体積]
どうせなので,一般的な場合から解いてしまいましょう。
正四面体の一辺の長さを a とします。また,x >= 1 とします。
まず,相似と △AEF,△DPQ は正三角形より,AE = AF = EF = DP = DQ = PQ =
a/x です。
また,AD//EP,AD//FQ なので AD//平面EPQF
で,平面EPQF⊥△GEF,平面EPQF⊥△RPQ より,
AD⊥△GEF,AD⊥△RPQ,AD⊥GF,AD⊥RQ になり,FQ⊥GF,FQ⊥RQ にもなります。
さらに,対称性より,GE = GF = RQ
= RP,AG = DR です。そこで,∠FAG = 60°も使って,
AG = AF/2 = a/2x = DR,GR = a(x - 1)/x,GE = GF = √3/2 * a/x = RQ = RP
ここで,A から EF に垂線を下ろしその足を H とすると,EH = FH = a/2x なので,
三平方の定理を使って,AH = √2/2 *
a/x になり,
△GEF = EF * AH * 1/2 =
a/x * √2/2 * a/x * 1/2 = √2/4 * (a/x)^2 = △RPQ
そこで,
T = 三角すいA-EFG + 三角柱EFQ-PQR + 三角すいD-PQR
= △GEF * AG * 1/3 + △GEF *
GR + △GEF * DR * 1/3
= △GEF * (AG + 3 * GR +
DR)/3 = △GEF * (AD + 2 * GR)/3
= √2/4 * (a/x)^2 * (a + 2 *
a(x - 1)/x)/3
= √2/12 * a^3 * (3x - 2)/x^3
一方で,V は,A から △BCD に下ろした垂線の足を
I とすると,三平方の定理などより,
△BCD = √3/4 * a^2,AI = √6/3 * a,V = △BCD * AI * 1/3 = √2/12 *
a^3
なので,
V:T = 1:(3x - 2)/x^3 = x^3:(3x - 2)
になります。また,最初の問題は,a = 6
cm,x = 3 なので,
T = √2/12 * 6^3 * (3 * 3 -
2)/3^3 = 14√2/3 cm^3
になります。
(別解)
まず最初に,一般に,
△ABC の頂点 A,B,C からそれぞれ垂線を立てて,AD = a,BE = b,CF = c
としたときの
三角柱を切断したような 立体ABC-DEF の体積を考えます。ただし,a <= b <= c とします。
D を通って △ABC に平行な平面を考え,BE,CF との交点を P,Q とし,
△DPQ の PQ を底辺としたときの高さを h,△ABC
の面積を S すると,
△DPQ = PQ * h * 1/2,△DPQ ≡ △ABC,△DPQ = △ABC = S に注意して,
立体ABC-DEF = 四角すいD-PQFE + 三角柱ABC-DPQ
= □PQFE * h * 1/3 + △ABC * a
= ((PE + QF) * PQ * 1/2) * h
* 1/3 + △ABC * a
= ((b - a) + (c - a))/3 *
△ABC + △ABC * a
= (a + b + c)/3 * S
になります。
さて,この問題に戻って,正四面体の一辺の長さを d とします。また,x >= 1 とします。
さらに,B,C を通り AD に垂直な平面を考え,AD,EP,FQ との交点を M,K,L とします。
対称性より AM = DM = d/2 で,AD//EP,AD//FQ より
AD//平面EPQF,△MKL⊥平面EPQF です。
そこで,立体MKL-AEF = 立体MKL-DPQ に先ほどの式が使えます。
相似,正四面体の面は正三角形,□EPQF は平行四辺形,EF//KL//PQ などより,
AE = AF = EF = DP = DQ = PQ
= KL = d/x,EP = FQ = d(x - 1)/x,MK = ML = √3/2 * d/x です。
また,M から KL に垂線を下ろしその足を N とすると,KN = LN = d/2x なので,
三平方の定理を使って,MN = √2/2 *
d/x になり,
△MKL = KL * MN * 1/2 =
d/x * √2/2 * d/x * 1/2 = √2/4 * (d/x)^2 = S
a = AM = DM = d/2,b = c = EP/2 = FQ/2 =
d(x - 1)/2x
T = 立体MKL-AEF + 立体MKL-DPQ = 立体MKL-AEF * 2 = (a + b + c)/3 * S
* 2
= (d/2 + d(x - 1)/2x * 2)/3
* √2/4 * (d/x)^2 * 2
= √2/12 * d^3 * (3x - 2)/x^3
後は,d -> a として,同じです。
(感想)
相似と三平方の定理だけでできたので,これって高校入試レベルかな?,と思ったら,
「高等部」と書いてありましたね (^^;
V:T = 1:(3x - 2)/x^3 = x^3:(3x - 2) は,
x -> 1 で V:T -> 1:1,x = 2 で V:T = 2:1,x -> ∞ で V:T
-> 1:0,
となって,直感とも一致します。
なお,(別解)の三角柱を切断したような立体は,あまり言葉はよくないのですが,
受験算数?では,断頭三角柱と言うそうで,公式としてよく使われているようです。
(底面積)×(高さの平均),と直感的にも分かりやすく,それなりに便利な公式で,
覚えておいても損はないと思います。
<水の流れ:よくご存知ですね。したがって、この問題にあてはめると、三角形EFGの面積をSとして、AD=a、FQ=b、EP=cとすると、求める体積VはS(a+b+c)÷3 で出てきます。この場合はS=√2、a=6、b=4、c=4ですから
S=√2(6+4+4)÷3=14√2/3 答 >
NO2「スモークマン」 04/18 02時43分受信 更新4/24
一般化した方を先に考えると...図から...
Aを含む方の体積は...
上の相似な三角錐の体積+三角柱の傾いた体積=(1/x)^3+(1/x)^2*{(x-1)/x}
=x/x^3
=1/x^2
つまり... V :T = x^2 :1
辺が6 cmの正四角錐の x=3 の場合を考えればいいので...
正四角錐の体積=(6*3√3/2)*(√{6^2-(2√3)^2})*(1/3)
=18√2
なので... 求める体積 T=(1/9)*18√2
=2√2 cm^3
<水の流れ:そううまくなっていないと思っています>
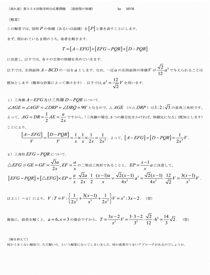
NO3「MVH」
04/22 00時03分受信 更新4/24
