平成23年8月14日
[流れ星]
第261回数学的な応募問題解答
<解答募集期間:7月24日〜8月14日
[カテナリー]
職場の数学科の先生から(5)の問題を頂きました。過去問を見ていたら、秋田大学の入試問題(1996年)がありました。興味が持ちましたから、改題して出題します。

NO1「uchinyan」 07/24 14時20分受信 更新8/14
第261回数学的な応募問題
[カテナリー]
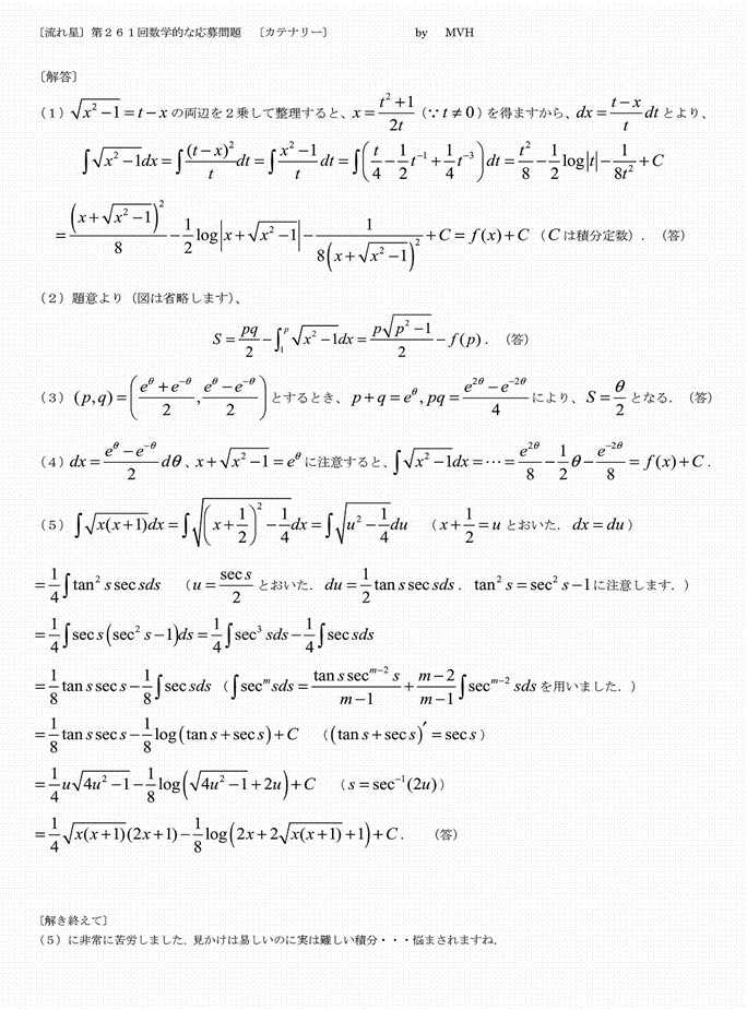
(1)
∫{√(x^2 - 1)}dx
= ∫{x' * √(x^2 - 1)}dx
= x
* √(x^2 -
1) - ∫{x * (√(x^2 - 1))'}dx
= x
* √(x^2 -
1) - ∫{x * x/√(x^2 - 1)}dx
= x
* √(x^2 -
1) - ∫{((x^2 - 1) + 1)/√(x^2 -
1))}dx
= x
* √(x^2 -
1) - ∫{√(x^2 - 1)}dx - ∫{1/√(x^2 - 1)}dx
2 *
∫{√(x^2 - 1)}dx = x * √(x^2 - 1) - ∫{1/√(x^2 - 1)}dx
∫{√(x^2 - 1)}dx = (x * √(x^2 - 1) - ∫{1/√(x^2
- 1)}dx)/2
ここで,
t =
x + √(x^2
- 1)
dt/dx
= 1 + x/√(x^2
- 1) = (√(x^2 - 1) + x)/√(x^2 -
1) = t/√(x^2 - 1)
dx/dt
= √(x^2 -
1)/t
なので,
∫{1/√(x^2 - 1)}dx
= ∫{1/√(x^2 - 1) * dx/dt}dt
= ∫{1/√(x^2 - 1) * √(x^2 - 1)/t}dt
= ∫{1/t}dt
=
log|t| + C
=
log|x + √(x^2
- 1)| + C
そこで,
∫{√(x^2 - 1)}dx = (x * √(x^2 - 1) - log|x + √(x^2 - 1)|)/2 - C/2
-
C/2 -> C と置き換えて,
∫{√(x^2 - 1)}dx = (x * √(x^2 - 1) - log|x + √(x^2 - 1)|)/2 + C
になります。
(2)
OP は y = q/p * x と書けるので,x^2 - y^2 = 1 との交点は,y = q/p * x を代入して,
x^2
- (q/p * x)^2 = 1,(p^2 - q^2) * x = p^2
P(p,q)
は x^2 -
y^2 = 1 上の点なので p^2 - q^2 = 1 より,
x =
p^2,x =
p, -p
そこで,交点は,P(p,q) と (-p,-q) だけです。
また,対称性より,x > 0 の部分の面積を T とすると,S = 2T です。
そして,T は,x >= 1 で y
> 0 を考えればよく,x^2 - y^2 = 1,y
= √(x^2 - 1) より,
T =
△OAP - ∫[x=1,p]{√(x^2 - 1)}dx
=
pq/2 - [(x * √(x^2 - 1) - log|x + √(x^2 - 1)|)/2][x=1,p]
=
(p * √(p^2
- 1))/2 - ((p * √(p^2 - 1) - log|p + √(p^2 - 1)|)/2 - (0 - 0)/2)
=
log|p + √(p^2
- 1)|/2
そこで,
S =
2T = log|p + √(p^2 - 1)|
...と思ったのですが,どうも以下の設問の感じでは,
「2直線 OA,OP」というのは「二つの半直線 OA,OP」の意味のような気がします。
それならば,求める S は T のことで,
S =
log|p + √(p^2
- 1)|/2
(3)
S =
log|p + √(p^2
- 1)|/2 として考えます。
S =
θ/2 より,
log|p
+ √(p^2 -
1)|/2 = θ/2
log|p
+ √(p^2 -
1)| = θ
p +
√(p^2 -
1) = e^θ
√(p^2 - 1) = e^θ - p
p^2
- 1 = e^(2θ) - 2 * e^θ * p + p^2
2 *
e^θ * p =
e^(2θ) + 1
p =
(e^θ +
e^(-θ))/2
q =
√(p^2 -
1) = √(((e^θ + e^(-θ))/2)^2 - 1) = √((e^θ - e^(-θ))/2)^2)
q =
|e^θ -
e^(-θ)|/2
p
> 1,q
> 0 の場合は θ > 0 とすれば十分なので,この範囲では,
p =
(e^θ +
e^(-θ))/2
q =
(e^θ -
e^(-θ))/2
(4)
(2),(3)からして,p = (e^θ + e^(-θ))/2
として,
∫[x=1,p]{√(x^2 - 1)}dx = (p * √(p^2 - 1))/2 - log|p + √(p^2 - 1)|/2
のはずです。実際に計算してみると...
x =
(e^θ +
e^(-θ))/2,θ >= 0,e^θ >= 1 >= e^(-θ)
√(x^2 - 1) = √(((e^θ
+ e^(-θ))/2)^2 - 1) = √((e^θ - e^(-θ))/2)^2) = (e^θ - e^(-θ))/2
dx/dθ = (e^θ - e^(-θ))/2
より,
∫{√(x^2 - 1)}dx
= ∫{√(x^2 - 1) * dx/dθ}dθ
= ∫{(e^θ - e^(-θ))/2 * (e^θ
- e^(-θ))/2}dθ
= ∫{e^(2θ) + e^(-2θ) - 2)/4}dθ
=
((e^(2θ)
- e^(-2θ))/2 - 2θ)/4 + C
ここで,
x =
(e^θ +
e^(-θ))/2
2x
= e^θ +
e^(-θ)
(e^θ)^2 - 2x * e^θ + 1 = 0
e^θ = x + √(x^2 - 1),e^(-θ) = x
- √(x^2 - 1)
e^(2θ) - e^(-2θ) = 4 * x * √(x^2 - 1)
θ = log|x + √(x^2 - 1)|
なので,
∫{√(x^2 - 1)}dx = (4 * x * √(x^2 - 1))/2 - 2 * log|x + √(x^2 - 1)|)/4 +
C
∫{√(x^2 - 1)}dx = (x * √(x^2 - 1) - log|x + √(x^2 - 1)|)/2 + C
になります。もっとも,x >= 1 なので,絶対値をはずして,
∫{√(x^2 - 1)}dx = (x * √(x^2 - 1) - log(x + √(x^2 - 1)))/2 + C
でもいいですね。
(5)
I =
∫{√(x(x + 1))}dx = ∫{√((x
+ 1/2)^2 - 1/4)}dx
x +
1/2 = t/2 とおくと,
I =
∫{√(t^2/4 - 1/4) * 1/2}dt
= (∫{√(t^2 - 1)}dt)/4
=
((t * √(t^2
- 1) - log|t + √(t^2 - 1)|)/2 + C)/4
=
(t/2 * √(t^2/4
- 1/4) - 1/4 * log|t/2 + √(t^2/4 - 1/4)|)/2 + (C -
log(2))/4
=
((x + 1/2) * √(x(x + 1)) - 1/4 * log|(x + 1/2) + √(x(x +
1))|)/2 + (C - log(2))/4
(C
- log(2))/4 -> C と置き換えて,
∫{√(x(x + 1))}dx
=
((x + 1/2) * √(x(x + 1)) - 1/4 * log|(x + 1/2) + √(x(x + 1))|)/2
+ C
実際,
(((x
+ 1/2) * √(x(x + 1)) - 1/4 * log|(x + 1/2) + √(x(x +
1))|)/2 + C)'
= (√(x(x + 1)) + (x +
1/2) * (x + 1/2)/√(x(x + 1))
-
1/4 * (1 + (x + 1/2)/√(x(x + 1)))/((x + 1/2) + √(x(x + 1))))/2
= (√(x(x + 1)) + (x(x +
1) + 1/4)/√(x(x + 1))
-
1/4 * (√(x(x
+ 1)) + (x + 1/2))/(√(x(x + 1)) * ((x + 1/2) + √(x(x + 1)))))/2
= (√(x(x + 1)) + √x(x + 1) + 1/4 * 1/√(x(x + 1)) - 1/4 * 1/√(x(x + 1)))/2
=
(2 * √(x(x
+ 1)))/2
= √(x(x + 1))
になります。
(考察)
これとよく似た積分で,例えば,放物線の長さを計算するときに現れる積分,
∫{√(x^2 + a^2)}dx = (x * √(x^2 + a^2) + a^2 * log|x + √(x^2 + a^2)|)/2
+ C
があります。形式的ですが,この式で a = i (虚数単位) とおくと,今回の問題の積分になります。
この積分も,t = x + √(x^2 + a^2) とおく,x/a = (e^θ - e^(-θ))/2
とおく,
などの方法が知られており,それを知っていれば,今回の問題で,
t =
x + √(x^2
- 1) とおく,x = (e^θ + e^(-θ))/2 とおく,
という置き換えは,そんなに難しくないかもしれません。
ただ,知らないと,かなり難しいですね。
なお,今回の問題で,これら以外に,x = 1/cosθ とおく,x = (t^2 + 1)/(t^2 - 1) とおく,
などの方法もあります。しかし,いずれも計算はかなり面倒になります。
(感想)
個人的にはいい復習になりました。知らない人には,是非一度はトライして欲しい問題ですね。
なお,「カテナリー」とは,多分この場合は,カテナリー曲線又は懸垂曲線のことで,
鎖,ロープ,電線などの両端を持って垂らしたときにできる曲線のことでしょう。
適当に規格化すれば,y = (e^x + e^(-x))/2 になります。近似的には放物線です。
カテナリーの名はホイヘンスによるもので,ラテン語で鎖を意味する catena に由来するそうです。
昔,中学生の頃,「遠山 啓 著
岩波新書 数学入門〈下〉」にあったのを読んで,
興味を持ったことがあります。
もちろん,当時はまだ理解はできませんでしたが...
NO2「浜田明巳」 07/28 15時28分受信
「浜田明巳」 07/28 17時15分受信
更新8/14
1.x+(x2−1)1/2=tから,log|t|=log|x+(x2−1)1/2|
両辺をxで微分すると,
dt/t={1+1/2・(x2−1)−1/2・2x}/{x+(x2−1)1/2}・dx
={1+x/(x2−1)1/2}/{x+(x2−1)1/2}・dx
=[{(x2−1)1/2+x}/(x2−・u梔:・・踉雌・・・1/2]/{x+(x2−1)1/2}・dx
=dx/(x& lt;sup>2−1)1/2
∴∫dx/(x2−1)1/2=∫dt/t=log|t|+C(Cは積分定数)
=log|x+(x2−1)1/2|+C
ここで,
∫(x2−1)1/2dx=∫x'(x2−1)1/2dx
=x(x2−1)1/2−∫x・x/(x2−1)1/2・dx
=x(x2−1)1/2−∫w)刋タ・ぢx2−1+1)/(x2−1)1/2・dx< br> =x(x2−1)1/2−∫{(x2−1)1/2+1/(x2−1)1/2}dx
=x(x2−1)1/2−∫(x2−1)1/2dx−∫dx/(x2−1)1/2
∴2∫(x2−1)1/2dx=x(x2−1)1/2−log|x+(x2−1)1/2|+2C(Cは積分定数)<br& gt; ∴∫(x2−1)1/2dx=1/2・x(x2−1)
2.H(p,0)とする.
求める面積Sは,△OPHの面積から,双曲線y=(x2−1)1/2,AHとPHとで囲まれた図形の面積を引いたものであるから,
S=1/2・pq−∫(1≦x≦p)(x2−1)1/2dx
=1/2・p(p2−1)1/2−[1/2・x(x2−1)1/2−1/2・log|x+(x2−1)1/2 $B!C](1≦x≦p)
=1/2・p(p2−1)1/2−{1/2・p(p2−1)1/2−1/2・log|p+(p2−1)1/2|}
=1/2・log|p+(p2−1)1/2|
ここで,p>1から,p+(p2−1)1/2>0
∴S=1/2・log{p+(p2−1)1/2}
3.S=θ/2=1/2・log{p+(p2−1)1/2}から,
θ=log{p+(p&l t;sup>2−1)1/2}
∴eθ=p+(p&l
t;sup>2−1)1/2
∴eθ−p=(p2−1)1/2………(1)
∴(eθ−p)2=p2−1
∴(eθ)2−2peθ+p2=p2−1
∴2peθ=(eθ)2+1
eθ≠0から,
p=(eθ+e−θ)/2< ;br> また,
q=(p2−1)1/2=[{(eθ+e− θ)/2}2−1]1/2={(e2θ+2+e−2θ)/4−1}1/2
={(e2θ−2+e−2θ)/4}1/2
=|eθ−e−θ|/2
S=θ/2>0であるから,θ>0
∴eθ>e−θ
∴q=(eθ−e−θ)/2
このとき,
eθ−p=eθ−(eθ< ;/sup>+e−θ)/2=(eθ−e−θ)/2=q=(p&l t;sup>2−1)1/2
となり,(1)を満たす.
まとめると,
p=(eθ+e−θ)/2,q=(eθ−e−θ)/2
4.x=(eθ+e−θ)/2………(1)
から,
2x=eθ+1/eθ
∴(eθ)2−2xeθ+1=0
∴eθ=x±(x2−1)1/2………(2)< br> eθ>0であるから,相加平均と相乗平均の関係より,
x=( eθ+1/eθ)/2≧(eθ・1/eθ)1/2=1
x≧1とx2−1≧0から,
x+(x2−1)1/2≧1………(3)
f(x)={x−(x2−1)1/2}−1とすると,
f'(x)=1−x/(x2−1)1/2={(x2−1)1/2−x}/(x2−1)1/2
ここで,x>0とx2>x2−1から,
x=(x2)1/2</sup&g t;>(x2−1)1/2
∴f'(x)<0
故にf(x)は単調減少であり,x≧1から,
f(x)≦f(1)=0
∴x−(x2−1)1/2≦1………(4)
θ≧0から,eθ≧1………(5)
(2),(3),(4),(5)から,
eθ=x+(x2−1)1/2………(6)
∴θ=log{x+(x2−1)1/2}………(7)
ここで(1),(6)から,
(xw)刋タ・・齦隍苳・ぢ2−1)1/2=eθ−x=eθ−(e θ+e−θ)/2=(eθ−e−θ)/2………(8)
また(1)から,
dx=(eθ−e−θ)/2・dθ………(9)
(8),(9)から,
∫(x2−1)1/2dx=∫(eθ−e−θ)/2・(eθ−e−θ)/2・dθ
=1/4・∫(eθ−e−θ)2dθ=1/4・∫(e2θ−2+e−2θ ;)dθ
=1/4・(1/2・e2θ−2θ−1/2・e−2θ)+C(Cは積分定数)………(10)
ここで(6)から,
e2θ=(eθ)2={x+(x2−1)1/2}2=x2+2x(x2−1)1/2+(x2−1)
e−2θ=[1/{x+(x2−1)1/2}]2={x−(x2−1)1/2}2=x2−2x(x2−1щu梠ァ・・齦隍苳・ぢ1/2+(x2−1)
∴e2θ−e−2θ=4x(x ;2−1)1/2
(10)に代入すると,
∫(x2−1)1/2dx=1/4・[2x(x2−1)1/2−2log{x+(x2−1)1/2}]+C(∵(7))
=1/2・x(x2−1)1/2−1/2・log{x+(x2−1)1/2}+C(Cは積分定数)
5.∫{x(x+1)}1/2dx(x≧0)
ここで,
x(x+1)=x2+x=(xw)沾。院殖甥・・踉雌・・・2−1/4
x+1/2=1/2・yと置換すると,y≧1であり,
dx=1/2・dy
{x(x+1)}1/2={(x+1/2)2−1/4}1/2=1/2・(y2−1)1/2
∴与式=1/4・∫(y2−1)1/2dy
=1/4・[1/2・y(y2−1)1/2−1/2・log{y+(y2−1)1/2}]+C(Cは積分定数)
=1/8・(2x+1){(2x+1)2−1}1/2−1/8・log{(2x+1)+{(2x+1)2&l t;/sup>−1}1/2}+C
=1/8・(2x+1){4x(x+1)}1/2−1/8・log{2x+1+{4x(x+1)}1/2}+C
=1/4・(2x+1){x(x+1)}1/2−1/8・log{2x+1+2{x(x+1)}1/2}+C(Cは積分定数)
(参考)同様な計算で,
∫(x2+A)1/2dx=1/2・x(x2+A)1/2+A/2・log|x+(x2+A)1/2|+C(Cは積分定数)
であることを示すことができる.
<水の流れ:一部文字化けのところがありますが、お許しください。>
NO3「MVH」 08/07 13時03分受信 更新8/14

皆さん、答えがわかったら、一部でも構いませんから、解答とペンネームを添えて、
メールで送ってください。待っています。