平成20年11月15日
球の体積と表面積にについて
1 はじめに
皆さん!どうして半径rの球の体積や表面積が(4÷3)πr3や4πr2になるのか不思議に思ったことはありませんか。ここで、一体誰がこのような結果にたどり着くような考え方をしたのかを、今から本を読んで知り得たことを書いていきます。
2 アルキメデスについて
アルキメデスは、B.C.287年にイタリア半島の先にあるシチリア島の都市国家シラクサで生まれ、アルキメデスの父親プェイディアスは天文学者であった。アルキメデスは幼少の頃より父親から初等教育を受け、数学、天文学、力学を習いつつ、さまざまな機械の製
作を行った。
その後、アルキメデスは学問の中心地であったアレクサンドリアに留学し、ユークリッドの弟子たちと共に「原論」の研究に従事し、幾何学者としての資質を身につけたのである。アルキメデスはアレクサンドリア留学後、生地シラクサに帰り、その後はシラクサで一生を過ごした。そして、シラクサでの研究の成果をアレクサンドリアで親交を結んだドシテオス(B.C.3世紀後半に活躍)やエラトステネス(B.C.276年頃―B.C.195年頃)に書き送ったのである。
アルキメデスにまつわる最も有名なエピソードといえば、「黄金の冠」の話である。シラクサのヒエロン王は、神殿に黄金の冠を奉納するために、ある工匠に必要な量の黄金を渡したという。出来上がった冠は見事なものであったが、この冠には、黄金が抜き取られ、その代わりに同重量の銀が混入されているとの噂が入ってきた。そこで、ヒエロン王はその真偽を確かめるとともに、冠を構成する金と銀との割合を見いだすよう、アルキメデスに依頼したのである
アルキメデスはこの問題に思いをめぐらしているとき、たまたま浴場に行き、そこで浴槽つかったとき、その中に沈んだ自分の身体の体積だけ水が浴槽から溢れ出ることに気づき、問題解決のヒントを得たという。彼は喜びのあまり「ヘウレーカ!ヘウレーカ!(「わ
かった!わかった!」)」と叫びながら、裸のままで街を走って帰ったと言われている。アルキメデスの活動期はアレクサンドリアを学術的中心とするヘレニズム時代の初期にあたっていると同時に、当時の世界戦争ともいえるローマ・カルタゴ間の戦争(ポエニ戦争)
の時期と重なっている。B.C.212年、ローマの将軍マルケルスがシチリア島のシラクサの港を包囲したが、ローマの兵士たちは街の城壁をよじの上って城門を開けた。ローマの軍勢が一斉に城門になだれ込むなかで、将軍は兵士たちに命じた。「アルキメデスに乱暴を働いてはならんぞ。この男は賓客として扱え。」
ところが、兵の一人が、砂の上に幾何学の図形を描いていたアルキメデスを中庭で見つけたとき、彼は命令に従わずに剣を抜いた。
「わしを殺す前に、おまえさん」とアルキメデスは嘆願した。「どうかこの円を描き終わらせてくれ。」兵士は待たなかった。アルキメデスは死ぬ間際にこう言った。「わしの体はくれてやる。だがわしの魂はわしのもんじゃ。」こうしてアルキメデスは、ローマ兵士によって殺された。75歳の時であった。
B.C.75年にシチリアの財務官が同地に赴いたとき、アクラディナの入り口で、イバラや雑木の茂みに覆われたアルキメデスの墓を見つけたと報告している。その墓碑には、図のような図形が刻まれていたという。この図形は、アルキメデスが『球と円柱について』において証明した「球の体積、表面積は、いずれもその外接円柱の2÷3である」ことを示すもので、このことに感動し、彼は、自分の墓石に円柱と球を描き、それらの体積の関係を言葉で書き記すように遺言にしたのである。<実際は円柱と球の図柄>
<注:参考文献1から引用>
3 球の体積(1)アルキメデスの方法
アルキメデスは当時、球を小さく切ってそれらの体積を調べ、再び全部を集めて体積を求めたと思われる。
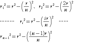
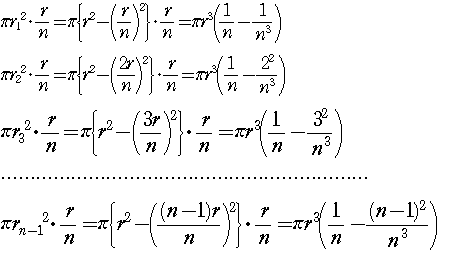
図1のように半径rの球を上下に2等分し、上半分を底面に平行にn等分する。n個に分けられた立体のそれぞれに、内接する「円柱」を考える。
nを大きくすればするほど(細かく切れば切るほど)これらの円柱を積み上げた立体は、球に近づいていくことに注意しよう。(注:ゆで卵をスライスした状態)
さて、実際に計算を始めることにしましょう。
円柱の半径を下から順に r1,r2,r3,・・・rn
とすると、三平方の定理より、

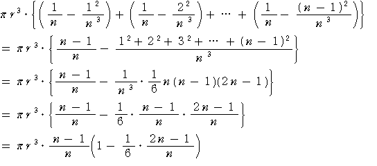
各円柱の高さはr÷nであるから、円柱の体積=π(半径)2×(高さ)より体積を下から順に計算していくと、
となる。
したがって、これらを積み上げた立体の体積の和は

![]()

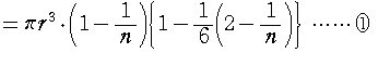
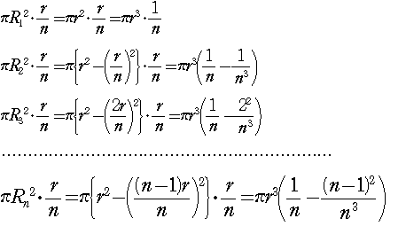
同様にして今度は図3のように、底辺から球を含むように円柱を作ってその体積を考える。この場合も、nが大きくすればするほどこれらの円柱を積み上げた立体の体積は、球に近づくことに注意しましょう。
次に、実際に計算を始めることにしましょう。
円柱の半径を下から順にR1,R2,R3,・・Rnとすると、三平方の定理より



各円柱の高さはr÷nであるから、円柱の体積を下から順に計算していくと、

これらを加えると
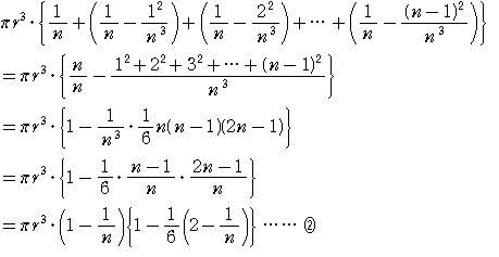
nがどんな値のときでも図1の立体は半球に含まれ、図3の立体は半球を含むことから、半球の体積は@より大きくAより小さい。つまり、@<半球の体積<A ところで、nを限りなく大きくしたら、@、Aの値はどのようになるでしょう。

と分母をどんどん大きくすると、分数の値はどんどん0に近づくことから、


<注:参考文献2から>
4 球の体積(2)カヴァリエリの方法
次に、「2つの立体を1つの平面に平行な平面で切ったとき、切り口の面積が常に等しいならば、2つの立体の体積が等しい。」という「カヴァリエリ(1598-1647)の原理」を用いて球の体積を求めてみます。これは、図のように、平面で切った切り口の面積が等しいならば、2つの立体、三角錐と円錐の体積が等しいということです。

一辺の長さrの正方形OABCの頂点Oを中心にして、半径rの円弧ACをかく。次に頂点AとCを結ぶ。この図形をOAを軸に回転すると、内側から円錐、半球、円柱ができる。
まず、円錐を逆にしておき、次に円柱、半球、円錐を図のように並べておく。これらの3つをすべて同じ高さ(ここでは底面からの高さをxとしておく)で切って切り口の面積を調べてみる。

![]()
これより、S1=S2+S3 が成り立つことに気がつく。
同じ高さで切った切り口の面積が常に等しいから、カヴァリエリの原理を用いて、円柱の体積は半球と円錐の体積の和に等しいことを示している。
したがって、半球の体積は円柱の体積πr3から円錐の体積(1÷3)πr3を引いて(2÷3)πr3となる。これより、半径rの体積は(4÷3)πr3と導かれる。
<注:参考文献3から>
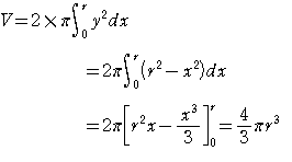
5 球の体積(3)積分の利用
さて、半径rの球の体積を、積分を用いて求めてみる。
図の第1象限の部分をx軸の周りに1回転すると、半径rの半球になるから、体積をVとすると、

<注:参考文献3から>
6 球の体積(4)天秤での実験
アルキメデスは球の体積が円錐の体積の4倍であることを天秤の釣り合いを利用する機械学的な方法で発見していた。その方法を
紹介する。
アルキメデスは図1のように、円柱とその中の大円錐ABCを想定し、円柱の上下面に接する球とその中の小円錐ADEを考える。
ここで、BCはDEの2倍になっています。図2のように、任意の断面MNを考えると、そこには、円柱の断面積、球の断面積、大円錐ABCの断面積の3つができる。
この3つの断面積を図3のように天秤に吊
るすと、どこ
かで釣り合うのです。天秤はAHをAの方向に延長して作
ったもので、その長さは球の直径の2倍になっている。
このような釣り合いは任意の断面において成り立つから、円柱や球、円錐がそれぞれ無数の断面円によって構成されると考えると、図4のように釣り合うことになる。
したがって、
[(球)+(円錐ABC) ]:[(円柱)]=1:2となり、内項の積と外項の積が等しいことから、
2(球)+2(円錐ABC)=(円柱) となる。
そして、円柱は円錐ABCの3倍だから2(球)+2(円錐ABC)=3(円錐ABC)
∴ 2(球)=(円錐ABC)
また、円錐ABCと円錐ADEを比較すると、高さも底面の半径もそれぞれ円錐ABCの方が2倍になっているから、体積は8倍になる。
したがって、2(球)=8(円錐ADE)となり、球の体積は円錐ADEの4倍となる。
今、球の体積をrとすると、円錐ADEの体積は (1÷3)πr3ですから、(4÷3)πr3という球の体積公式を得ることができる。
<注:参考文献4から>
7 球の体積(5)水での実験
ここで、1つ実験をしてみる。底面の半径がrcmの円柱状の容器に、半径がrcmの球を入れ、2rcmの高さまで水を入れる。容器から球を取り出すと、水面の高さは2r÷3cmになる。
よって、円柱状の容積の2/3が球の体積となる。
したがって、πr2×(2r)×2/3=(4/3)πr3
<注:参考文献3から>
8 球の表面積(1)四角錐の利用
次に、半径rの球を図のように底面がこの球の表面にあり、頂点が球の中心である小さな角錐体に細分して、体積の値V=(4÷3)πr3から表面積Sを求めてみる。
このとき、1つ1つの角錐体の底面は球面になっているが、ほぼ平面とみなせるくらい十分に細分すれば、これは高さがrの角錐と見ることができる。このような角錐の1つの底面積をS1とすると、その角錐の体積は
(1÷3)S1rに等しい。
そこで、このような立体をすべて集めて、その体積を合計すると、球の体積(4÷3)πr3となる。
よって、
(4/3)πr3
=(1/3)S1r+(1/3)S1r+・・・+(1/3)Snr
=(1/3)(S1+S2+・・・+Sn)r
=(1/3)Sr
したがって、求める表面積はS=4πr2となる。
<注:参考文献3から>
9 球の表面積(2)円柱台の利用
下の図を見てください。半径がrの半球の表面をタマネギの皮をむくように1枚1枚剥がしていき、それを平面に伸ばして上に重ねる。すると、図のような円錐台ができる。そこで、半球の表面積をSとすると、円錐台の底面積がSとなり、半球の体積と円錐台の体積が等しいことを利用して、S=2πr2を得る。
したがって、球の表面積は4πr2となる。

<注:参考文献5から>
10 球の表面積(3)積分の利用
次に、回転体の表面積を求める公式を利用して求めてみる。



<注:参考文献6から>
11 球の表面積(4)ひもでの実験
次に、半径がrcmの半球の部分にひもを巻き付ける。ここで、そのひもの長さの半分の長さのひもを、平面上で渦巻き状に巻いて円板を作る。このとき、円板の半径は、半球の半径と一致して、rcmになる。(実験する必要がある)したがって、円の面積がπr2だから、半球の表面積が2倍の2πr2となり、さらに、球面の面積は2倍の4πr2となる。
<注:参考文献3から>
12 参考文献
1 「アルキメデスを読む」 上垣渉 著 日本評論社
2 「秋山仁と算数・数学不思議探検隊」秋山仁 監修
都数研・不思議調査班 編 森北出版
3 教科書「数学T」「数学U」「数学V」 数研出版
4 はじめて読む「数学の歴史」上垣渉 著 ベレ出版
5 「マンガ微積分入門」 岡部恒治 著 講談社
6 数研通信NO54 数研出版